申請日2013.08.28
公開(公告)日2014.03.26
IPC分類號C02F9/14
摘要
本實用新型公開了一種臭氧廢水處理系統,包括UASB處理模塊和臭氧處理模塊,所述UASB處理模塊包括UASB,UASB一端與調節池一端相連,調節池另一端與污水池相連,UASB另一端與二沉池一端相連,UASB的污泥排出口與污泥排入池相連;所述臭氧處理模塊包括臭氧處理池,臭氧處理池一端與調節池一端相連,調節池另一端與污水池相連,臭氧處理池臭氧進氣口連接有臭氧發生裝置,臭氧處理池另一端與二沉池相連,臭氧處理池尾氣排放口與尾氣處理裝置相連。本實用新型具有顯著優點:將臭氧氧化處理廢水與UASB處理廢水相結合,能夠使各種污染物降解為二氧化碳和水,凈水效果卓越;將臭氧氧化后的廢水與UASB處理后的低濃度廢水混合,達到廢水回收、利用的目的。
權利要求書
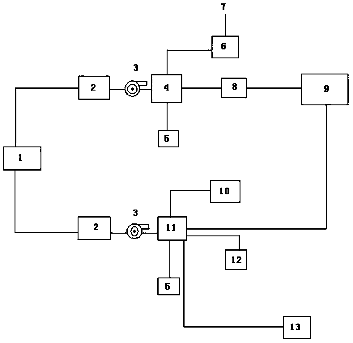
1.一種臭氧廢水處理系統,其特征在于,包括UASB處理模塊和臭氧處理模塊,UASB處理模塊和臭氧處理模塊的終端通過連接管道相連;所述UASB處理模塊包括UASB,UASB一端通過連接管道與污水提升泵一端連接,污水提升泵另一端通過連接管道與調節池一端相連,調節池另一端通過連接管道與污水池相連,UASB另一端通過連接管道與二沉池一端相連,UASB的污泥排出口通過管道與污泥排入池相連,UASB通過連接管連接有水封一端,水封另一端連接有進水管;所述臭氧處理模塊包括臭氧處理池,臭氧處理池一端通過連接管道與污水提升泵一端連接,污水提升泵另一端通過連接管道與調節池一端相連,調節池另一端通過連接管道與污水池相連,臭氧處理池臭氧進氣口通過管道連接有臭氧發生裝置,臭氧處理池另一端通過管道與二沉池相連,臭氧處理池尾氣排放口通過管道與尾氣處理裝置相連,臭氧處理池凈化水排放口通過管道與凈化水池相連。
說明書
一種臭氧廢水處理系統
技術領域
本實用新型涉及一種廢水處理系統,特別是一種利用臭氧的廢水處理系統。
背景技術
現今,工業、生活廢水的處理方法主要有生物凈化法、物理過濾法等,目的是為了凈化廢水,使其能夠重復利用,達到環保節能的目標。臭氧具有強氧化性,并廣泛用于滅菌、漂白、催化等,臭氧亦可運用于廢水處理領域,因其具有強氧化性,臭氧能夠將廢水中的污染物降解為二氧化碳和水,達到凈水的目的,而臭氧高級氧化技術是基于臭氧氧化與其他水處理的結合。
有專利公開了臭氧氧化與活性炭結合來處理廢水,但該技術在應用于大規模的廢水處理方面還存在一定缺陷,且凈化效果也有待進一步提升。如何將大規模產生臭氧并將臭氧處理與其他廢水處理有機的結合,并達到廢水凈化的顯著效果,是有待解決的問題。
實用新型內容
為解決現有技術的不足,本實用新型的目的在于提供一種臭氧廢水處理系統,該系統將臭氧與升流式厭氧污泥床UASB結合進行廢水處理,凈化效果好,效率高。
為了實現上述目標,本實用新型采用如下的技術方案:
一種臭氧廢水處理系統,其特征在于,包括UASB處理模塊和臭氧處理模塊,UASB處理模塊和臭氧處理模塊的終端通過連接管道相連。
一種臭氧廢水處理系統,其特征在于,所述UASB處理模塊包括UASB,UASB一端通過連接管道與污水提升泵一端連接,污水提升泵另一端通過連接管道與調節池一端相連,調節池另一端通過連接管道與污水池相連,UASB另一端通過連接管道與二沉池一端相連,UASB的污泥排出口通過管道與污泥排入池相連,UASB通過連接管連接有水封一端,水封另一端連接有進水管。
一種臭氧廢水處理系統,其特征在于,所述臭氧處理模塊包括臭氧處理池,臭氧處理池一端通過連接管道與污水提升泵一端連接,污水提升泵另一端通過連接管道與調節池一端相連,調節池另一端通過連接管道與污水池相連,臭氧處理池臭氧進氣口通過管道連接有臭氧發生裝置,臭氧處理池另一端通過管道與二沉池相連,臭氧處理池尾氣排放口通過管道與尾氣處理裝置相連,臭氧處理池凈化水排放口通過管道與凈化水池相連。
一種臭氧廢水處理系統,其特征在于,所述UASB與二沉池之間還設有滴水床和集水井,UASB通過管道與滴水床一端相連,滴水床另一端通過管道與集水井一端相連,集水井另一端通過管道與二沉池相連。
一種臭氧廢水處理系統,其特征在于,所述臭氧發生裝置外殼為不銹鋼。
一種臭氧廢水處理系統,其特征在于,所述臭氧發生裝置的放電單元設有獨立的保險裝置。
一種臭氧廢水處理系統,其特征在于,所述臭氧尾氣濃度為0.015ppm以下。
本實用新型的有益之處在于:1.將臭氧氧化處理廢水與UASB處理廢水相結合,能夠形成氧化力極強的羥基自由基,使各種污染物降解為二氧化碳和水,凈水效果卓越;2.將臭氧氧化后的廢水與UASB處理后的低濃度廢水混合后再采用接觸氧化工藝處理,有效的利用物理、化學、生物的方法進行廢水處理,減少污染,達到廢水回收、利用的目的。







