厭氧-缺氧-好氧(anaerobic-anoxic-oxic,AAO)工藝作為傳統活性污泥法的典型工藝,因其工藝成熟、流程簡單、運行靈活、水力停留時間短、建造和運行成本低等優點廣泛應用于我國城鎮污水處理體系中。然而,我國北方地區溫度差異大,寒冷季節長,生化處理過程受影響較大,小規模污水處理難以穩定達標。低溫使硝化和反硝化菌屬活性降低,導致系統脫氮效能惡化,為系統穩定運行帶來極大挑戰。因此,提高AAO系統的脫氮性能,以保證冬季低溫條件下污水處理系統的穩定運行效果,是目前研究重點與難點。
已有研究結果表明,溫度對AAO系統的脫氮效能有很大影響。RANDALL等發現,當溫度由20℃降至10℃時,相應的污泥齡需要從2.7d延長至5d才可保證AAO系統的硝化效果。梁嘉斌等利用Sumo軟件對冬季某污水廠運行情況進行動態模擬和優化,結果表明:硝化液回流比從50%提升到400%時,系統脫氮效果有所增加而COD去除率變化不大,將硝化液回流比優化為300%、DO為1.95g·m−3(每立方米污水中的氧氣質量)后TN明顯降低;雒海潮等對分流式測流-AAO系統在12~15℃下污染物去除性能進行研究,發現改良AAO系統對COD、(NH4+-N)和TN的去除率分別為88.56%、83.12%和71.60%,且可實現良好的污泥減量效果;WANG等發現將AAO與曝氣生物濾池(biologicalaeratedfilter,BAF)耦合可有效增強系統低溫條件下的脫氮除磷效果;金羽對AAO系統的研究表明,在11℃下,系統出水TP、COD仍能滿足一級A標準,而14℃時AAO系統就對NH4+-N和TN的去除效果明顯下降,難以達到排放標準。
在不增設工藝單元的低溫條件下,常規AAO系統難以滿足排放要求,因此應探究低溫條件下AAO系統微生物特性,并通過工況調整等非工程措施來提高脫氮性能,尤其是提升NH4+-N和TN的去除效果。為保證低溫條件下系統的穩定運行,多采用對構筑物保溫、降低污泥負荷、延長水力停留時間(HRT)或結合物化方法等措施來提高脫氮效能。但上述方法不僅難以實現穩定的出水效果,還極大地增加污水處理設施的基建和維護運行費用,因此,對AAO工藝的改良應在充分發揮AAO工藝本身功能的基礎上有針對性地進行。硝化液回流比和污泥回流比是AAO工藝最典型的2個內部參數。相較于增加工藝單元或采用保溫措施、降低污泥負荷等工程措施,內部參數的調整不會大幅增加基建和運行費用,但會直接影響系統硝化性能和污泥濃度,進而影響各指標處理效果。
基于此,本研究以小試規模的AAO污水處理系統為研究對象,通過調整硝化液回流比、污泥回流比和碳源等條件,獲取低溫條件下AAO系統最佳運行工況,并結合胞外聚合物(EPS)和微生物群落結構,探究低溫條件下AAO系統的脫氮機理、微生物群落與脫氮除碳之間的關系,以期為低溫狀況下污水處理效能的提升提供參考。
1、材料與方法
1.1 實驗水質及接種污泥
接種污泥取自西安市第四污水處理廠回流污泥,取樣日期為2月6日。取樣時水廠水溫13.5℃,1、2月份水廠水溫波動小,均低于14℃。實驗采用人工配水模擬農村生活污水,所用試劑包括:葡萄糖,乙酸鈉,氯化銨,磷酸二氫鉀及微量元素溶液,微量元素添加量為1mL·L−1,其成分如表1所示。運行期間水質參數如下:COD為226~289mg·L−1,平均值為249mg·L−1;NH4+-N為18~24mg·L−1,平均值為21mg·L−1;TN為24~30mg·L−1,平均值為27mg·L−1;TP平均值為2.47mg·L−1;pH為6.9~7.6,平均值7.2。
1.2 分析方法
常規指標(NH4+-N)、、、TN和COD分別采用納氏試劑分光光度法、N-(1-萘基)-乙二胺光度法、紫外分光光度法、過硫酸鉀氧化法、和快速消解法測定。pH和溶解氧采用便攜式溶氧儀(HachHQ40d)測定;溫度采用溫度計測定。
EPS采用熱離心方式進行提取,分別采用苯酚-濃硫酸法和Lowry法對多糖和蛋白進行測定。采用16SrRNAAmplicon高通量測序技術對低溫條件下AAO系統中微生物進行群落結構分析。采用MiSeqPE300測序模式,選擇細菌16SrRNAV3~V4區引物338F和806R(引物序列5'-ACTCCTACGGGAGGCAGCAG-3'和5'-GGACTACHVGGGTWTCTAAT-3')對樣品進行測試,再研究所得樣本的群落結構,通過上海美吉生物醫藥技術公司(上海)的美吉生物技術云平臺對樣本中優質DNA序列進行了篩查,并對檢測數據進行了解析。
1.3 實驗裝置及運行方式
本研究所采用裝置為日處理量30L·d−1的AAO系統(圖1)。反應器AAO主反應區總有效容積20L,其中厭氧池2L,缺氧池2.5L,好氧池15.5L。系統總HRT約為16h。在啟動期后,主反應區內MLVSS、MLSS分別維持在(1500±50)mg·L−1和(2230±50)mg·L−1,好氧區DO控制在1.5~2mg·L−1。二沉池設計為豎流式沉淀池,有效容積為4L。厭氧池、缺氧池和好氧池設有電動攪拌機。好氧池底部設置曝氣頭連續曝氣,反應器進水、內回流及污泥回流均采用蠕動泵控制。實驗通過制冷機(低溫恒溫槽DC-2010)循環冷卻水的方式控溫。制冷機內冷卻水接入反應器外部循環冷卻水槽,保證反應器內水溫穩定在(12±0.5)℃。

本實驗系統接種污泥后在(12±0.5)℃條件下進行培養和馴化,連續運行168d。系統啟動成功后分為3個階段進行(表2),每個階段分別改變系統的硝化液回流比、碳源、污泥回流比,探究其對生活污水處理效果的影響。每階段所得最優控制條件作為下階段初始固定參數,不斷優化得到低溫條件下AAO系統最優控制策略。

2、結果與討論
2.1 低溫條件下AAO系統啟動期運行效果
通過人工配置連續進水的方式啟動系統,啟動期內確定硝化液回流比為200%、污泥回流比為50%。由圖2可見,隨反應區內污泥濃度升高,系統對COD和NH4+-N去除效果緩慢上升。25d后主反應區內MLVSS上升至1500mg·L−1,出水TN和COD分別小于20mg·L−1和50mg·L−1,表明反應器啟動完成,之后開始逐步探究不同工況優化對AAO系統穩定運行的影響。

2.2 低溫條件下AAO系統工況優化
1)不同硝化液回流比對污染物去除性能影響。
有研究表明,生物脫氮系統硝化液回流比一般控制在100%~300%。本研究控制AAO反應器在污泥回流比為50%的條件下,以葡萄糖為碳源對系統中活性污泥進行培養,探究硝化液回流比對低溫運行的AAO反應器脫氮除磷效能影響。每個工況條件下運行24d,污染物去除效果如圖3所示。

當進水平均(NH4+-N)為21.80mg·L−1時,AAO系統在內回流比為100%、200%和300%的工況下出水平均(NH4+-N)分別為8.84、9.46和8.85mg·L−1,平均去除率分別為60.73%、57.28%和56.51%。結果表明:3種硝化液回流比工況下出水(NH4+-N)在《城鎮污水處理廠污染物排放標準》(GB18918-2002)的一級B標準之上。當用葡萄糖作為碳源時,以常規AAO系統作為單一處理單元凈化污水時,改變硝化液回流比對NH4+-N去除效果影響不大。
進水平均TN為26.90mg·L−1時,AAO系統在內回流比為100%、200%、和300%的工況下出水平均TN分別為16.64、16.34和14.29mg·L−1,平均去除率分別為36.08%、41.35%和46.53%。3種工況結果表明:硝化液回流比為100%、200%時,出水TN可滿足一級B標準;盡管300%的硝化液回流比工況對TN的去除效果優于前2種,但不能穩定達到一級A標準。增高的硝化液回流比為缺氧區提供充足的硝酸鹽底物進行反硝化作用,本系統中300%硝化液回流比時出水TN最低;而過高的硝化液回流比導致缺氧區水力停留時間變短,且破壞缺氧環境,不利于穩定的反硝化過程進行。
當進水平均COD為249.7mg·L−1時,AAO系統在內回流比為100%、200%、和300%的工況下,出水平均COD分別為24.69、12.42和17.71mg·L−1,平均去除率分別為90.22%、95.11%和92.75%。結果表明:低溫條件下以葡萄糖作為碳源COD易被AAO系統去除,凈化后3種工況COD均可滿足(GB18918-2002)一級A標準,但硝化液回流比由100%提高到200%時,出水COD更低,去除效果更穩定。
2)碳源種類對污染物去除性能影響。
實驗結果表明,低溫條件下以葡萄糖作為單一碳源導致系統脫氮性能不佳。污水生物脫氮過程中,有機碳源是十分重要的因素,且在實際應用中,生活污水成分復雜,并非由一種碳源組成,脂肪酸、碳水化合物的質量分數分別占約10%、25%~50%。胡小宇等發現,復合碳源(葡萄糖∶乙酸鈉=1.5∶1)更利于系統脫氮效能提升。因此,確定在污泥回流比為50%、硝化液回流比為100%的工況下,進一步探究碳源在低溫條件下對AAO系統脫氮效能的影響,其結果如圖4所示。

在更換復合碳源后,出水(NH4+-N)、TN下降趨勢明顯。出水平均(NH4+-N)由8.84mg·L−1降至4.35mg·L−1,去除率由60.73%升至79.85%,且系統穩定后基本實現對NH4+-N的完全去除。出水平均TN由16.16mg·L−1降至12.60mg·L−1,去除率由35.98%升至51.32%,可穩定達到一級A排放標準。相對于單一碳源,復合碳源對AAO系統脫氮效能顯著提升。
從電子供體角度分析,雖然碳源不同其代謝途徑會存在差異,但最后都歸集于三羧酸循環。葡萄糖作為碳源提供電子時,需先經過糖酵解途徑轉化為丙酮酸,再轉化為乙酰輔酶A進入三羧酸循環而乙酸鈉作為碳源則可直接被微生物利用。從微生物種群的角度來看,脫氮功能菌種類的不同導致其所能利用的有機碳源也存在差異,AAO系統中所接種污泥為混培物,可能含有多種與反硝化有關的細菌。分析認為,由單一碳源優化為復合碳源后脫氮效果的顯著提升是由于碳源種類的豐富及其代謝過程中的各種中間代謝產物可被不同的脫氮功能菌利用,從而提高脫氮的效率。在碳源優化后,AAO系統出水由不達標到基本滿足一級A排放標準,這表明碳源的種類和代謝途徑對生活污水中氮素的去除有較大影響。
3)不同污泥回流比對污染物去除性能影響。
有研究表明,污泥回流比一般控制在50%~100%比較適宜以復合碳源(葡萄糖∶乙酸鈉=1.5∶1)對AAO反應器中活性污泥進行培養,系統穩定后探究50%、75%和100%這3種污泥回流比對污染物去除效率的影響,污染物去除效果如圖5所示。

進水平均(NH4+-N)為21.00mg·L−1時,AAO系統在污泥回流比為50%、75%和100%的工況下出水平均(NH4+-N)分別為4.31、0.03和1.56mg·L−1,平均去除率分別為79.92%、99.87%和92.59%。結果表明:系統在3種工況下均有較高的NH4+-N去除負荷。75%污泥回流比系統運行期間對NH4+-N去除效果穩定,NH4+-N幾乎全部被降解。
進水平均TN為26.70mg·L−1時,AAO系統在污泥回流比為50%、75%和100%的工況下出水平均TN分別為12.60、7.93和10.85mg·L−1,平均去除率分別為51.32%、69.97%和60.62%。結果表明:在添加復合碳源條件下,AAO系統75%污泥回流比的工況可實現對TN穩定、高效的去除,凈化后穩定滿足一級A標準;當污泥回流比為50%、100%時,出水TN波動較大,效果不穩定。
隨污泥回流比的增大,出水(NH4+-N)、TN呈現先降低再增高的趨勢,75%污泥回流比工況下脫氮效果最好。污泥回流比的提高使二沉池回流污泥量增加,一方面提高了系統內污泥質量濃度;另一方面延長了系統污泥齡,有利于硝化細菌等世代時間較長的微生物的繁殖,有利于強化硝化作用、提高對NH4+-N的降解效果。
進水平均COD為247.82mg·L−1時,AAO系統在污泥回流比為50%、75%和100%的工況下出水平均COD分別為27.47、30.98和42.32mg·L−1,平均去除率分別為89.07%、87.26%和82.75%。3種污泥回流比工況出水COD均可滿足一級B標準。當污泥回流比為75%時,AAO系統對COD有穩定的去除效果,可穩定滿足一級A標準。50%工況出水COD較另2種有更大波動,100%污泥回流比工況出水COD穩定,12次檢測中僅2次出水COD略高于一級A標準。
綜合各指標處理效果,對比考察3種不同污泥回流比工況下AAO系統污水處理效果,結果表明低溫條件下75%污泥回流比工況的AAO系統對NH4+-N、TN和COD凈化效果良好,且能保持系統穩定運行。金羽研究發現,低溫狀況下AAO系統最優的污泥回流比為75%,與本研究一致。
2.3 低溫條件下脫氮效能分析
低溫會使微生物活性和底物利用率下降,從而導致污水處理性能下降。本研究中低溫條件下AAO污水處理系統經工況優化調整后達到穩定、高效的脫氮效能,且表現出獨特的脫氮特點。為深入探究本研究中低溫條件下的脫氮規律和效果,現對AAO系統中3個運行階段的氮素轉移狀況進行探討。圖6為本系統中低溫條件下氮素轉移情況。

硝化液回流比的調整(階段Ⅰ)對系統脫氮未產生顯著影響,3種硝化液回流比出水亞硝氮小于0.5mg·L−1,未出現亞硝態氮積累的現象;出水硝氮質量濃度隨污泥回流比的減小呈先升高后下降的趨勢,200%硝化液回流比工況下平均出水硝氮質量濃度最高,為3.09mg·L−1。對碳源進行優化后(階段Ⅱ),系統脫氮性能快速上升,出水(NH4+-N)逐漸降至0,出水亞硝氮質量濃度開始增高,階段Ⅱ后期出水亞硝氮質量濃度達到1.90mg·L−1,亞硝氮積累率達到51%,開始出現亞硝氮積累的現象。階段Ⅲ對污泥回流比進行調整后,系統仍維持了極高的NH4+-N去除率,尤其在75%污泥回流比條件下,亞硝氮質量濃度最高達到2.21mg·L−1,亞硝氮積累率升高到64.1%。
階段Ⅱ后,NH4+-N降解速率顯著提高,亞硝氮濃度和亞硝氮積累率逐漸升高,而COD去除效果下降。分析認為,碳源優化后系統內部短程硝化反硝化作用逐步增強,短程硝化反硝化與傳統硝化反硝化相比,亞硝酸鹽作為電子受氫體直接參與反硝化作用,可節省反硝化碳源約40%,從而導致系統出水COD升高。眾多研究表明,在低溫條件下短程硝化進程會遭到破壞,但本研究中AAO系統在12℃時連續運行168d,氨氧化細菌仍表現出較高活性,可在高效降解NH4+-N同時積累亞硝酸鹽。JONES認為,若將30℃環境中的氨氧化細菌直接轉移到5℃下,會導致其失活,但若逐步降低溫度使其逐步適應,氨氧化細菌可根據溫度變化,逐漸將細胞膜中的長鏈飽和脂肪酸部分調整為短鏈不飽和脂肪酸。雖然這樣需要一定時間來進行培養馴化,但可使其在低溫下不易“凍結”。本研究結果與文獻的結論相吻合,長時間的馴化使得12℃條件下也可進行一定程度的短程硝化反硝化。
2.4 不同工況條件對EPS影響
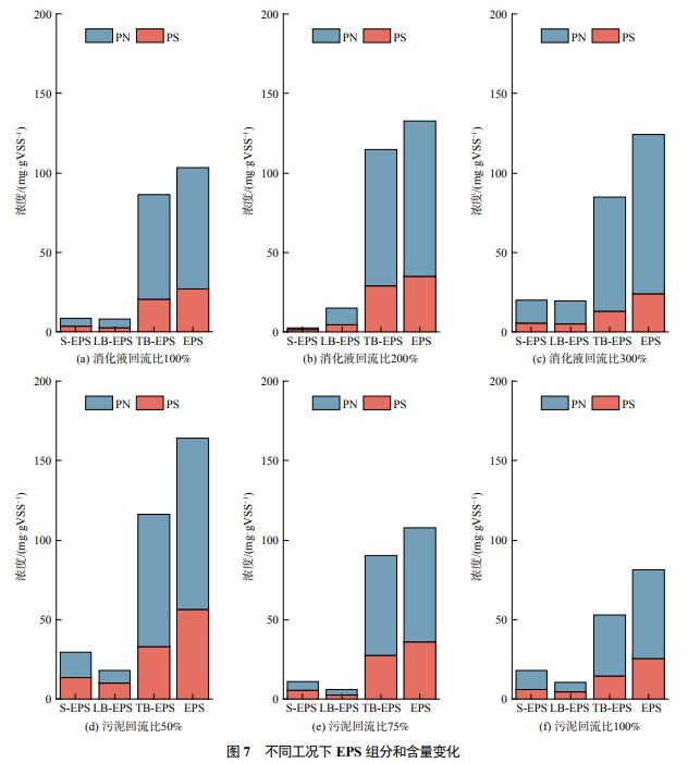
EPS是一種存在于微生物聚集體細胞外的復雜高分子混合物,其成分涵蓋蛋白質(PN)、多糖(PS)、腐殖質、核酸、脂質及糖醛酸多種有機大分子。這些成分間的比例主要取決于提取方法及污泥來源。其中,PN和PS最多,兩者占EPS總量的70%~80%。本研究分析了低溫AAO系統不同工況下EPS、SEPS、LB-EPS和TB-EPS中PS和PN質量分數的變化規律,結果如圖7所示。

3種硝化液回流比工況下EPS總量保持穩定,TB層均為EPS的主要構成,LB-EPS隨硝化液回流比的增加呈上升趨勢。同時,PN是EPS組成中貢獻最大的成分,細胞表面TB層豐富的PN可減輕微生物所受低溫等不利條件的影響。當硝化液回流比為200%時,EPS總量達到最高,為132.7mg·g−1。EPS對污泥回流比調控的響應相較于硝化液回流比更明顯,EPS總量及PS、PN質量分數與污泥回流比呈顯著的負相關。隨污泥回流比的增大,EPS總量顯著減少,總EPS由164.0mg·g−1降至81.7mg·g−1,PS由56.7mg·g−1降至25.8mg·g−1,PN由164.0mg·g−1降至81.7mg·g−1。PS質量分數同樣隨污泥回流比增大而減小,3種污泥回流比工況下PS/PN分別為34.6%、33.3%和31.5%。導致這種現象的原因主要有以下幾點。一方面,二沉池中的剩余污泥缺乏營養物質補充,微生物為滿足生命活動而將表面的EPS作為碳源和能源而分解,導致二沉池中的微生物EPS總量降低。污泥回流比的增大使二沉池中更多的貧EPS微生物聚集體重新進入AAO系統主反應區,從而拉低系統中微生物的EPS量。另一方面,游離亞硝酸會導致TB-EPS中PS和PN質量分數呈現一定程度的降低,隨著系統中亞硝氮質量濃度的升高,可能會破壞EPS中有機化合物的結構,刺激EPS中PS和PN的降解,從而導致EPS總量的減少。另外,污泥回流比的增大導致系統內部水利條件改變,高回流比帶來的較高的水利剪切可能是EPS總量減少的另一原因。
EPS表面含有較多羧基、磷酸基等帶負電荷的官能團,因而整體帶負電性。有研究表明,EPS質量分數過高時,微生物聚集體表面負電荷增加從而導致細胞間靜電斥力增加,最終導致微生物沉降性能惡化。EPS中多糖與蛋白的比值(PS/PN)能夠維持微生物群落的穩定,并影響污泥表面的親疏水性。PS/PN越低,表示污泥的相對疏水性越高,污泥表面的吉布斯自由能下降,污泥之間的親和力增加。污泥回流比增加后所引起的EPS質量分數和PS/PN的降低,有利于改善低溫條件下污泥的沉降和脫水性能,進而保障系統內較高的污泥質量濃度。從傳質的角度來看,EPS作為微生物的外部屏障圍繞在細胞周圍,必然會影響營養物質進入細胞和微生物代謝產物的排出。有研究表明,EPS質量分數高的微生物聚集體滲透性較差,75%污泥回流比條件下的EPS總量可能在EPS的吸附效果和傳質特性間達到平衡,使得系統獲得更穩定的脫氮效果。
2.5 低溫條件下微生物種群結構特征
12℃條件下AAO污水處理系統門水平和屬水平上的微生物種群及其相對豐度如圖8所示。同大多數污水處理過程相同,Proteobacteria(變形菌門)占據主要地位,平均相對豐度75.69%;Bacteroideta(擬桿菌門)也占有相對較高的豐度,平均豐度16.84%,二者總豐度超過90%。Proteobacteria是進行脫氮除磷和降解有機物的最主要菌門,其大量存在可以保證活性污泥法系統的正常運行,在污水處理處理中占有主要地位。可見,低溫條件對AAO系統優勢菌門相對豐度影響較大,Proteobacteria在微生物群落結構中的優勢程度被進一步放大。污水處理過程其他常見優勢菌門,如Actinobacteria(放線菌門,4.29%),Firmicutes(厚壁菌門,1.45%)Nitrospirae(硝化螺旋菌門,0.61%)Chloroflexi(綠彎菌門,0.32%),Acidobacteria(酸桿菌門,0.28%)也在系統中檢出,但相對豐度較其他常溫下活性污泥法明顯偏低。

缺氧區、厭氧區和好氧區之間在屬水平上微生物種群和豐度差異性不大,異養硝化好氧反硝化菌屬Pseudomonas(假單胞菌屬,23.35%)和反硝化菌屬Flavobacterium(黃桿菌屬,15.63%)為主要優勢菌屬。Pseudomonas可通過好氧反硝化作用和解磷作用去除氮磷等污染物,低溫條件可能促進Pseudomonas的富集,徐鳳英發現SBBR系統中溫度由24℃降低至10℃時,Pseudomonas的豐度由0.07%升至1.05%,馬切切的研究也表明Pseudomonas與溫度的Spearman相關性系數呈顯著負相關。分析認為,相對于一般的硝化細菌,本研究中相對豐度最高的優勢菌屬Pseudomonas異養硝化的特性使其能對碳源改變做出更大的響應,對系統脫氮做出更大的貢獻。異養硝化好氧反硝化能夠在好氧池一個處理單元中實現氮素的去除,這可能是本研究中系統在優化運行后能對氮素達到穩定去除效果的一個原因。Zoogloea(動膠菌屬)是活性污泥法中一種常見的兼性菌,能對污水中的有機污染物有效的去除,平均豐度為2.4%。其他脫氮功能屬有反硝化聚磷功能菌屬Dechloromonas(脫氯單胞菌,3.59%),Acidovorax(食酸菌屬,1.29%),硝化菌屬Nitrospira(硝化螺菌屬,0.61%),反硝化菌屬Rhodocyclaceae(0.89%)、Comamonadaceae(從毛單胞菌,0.64%)。Acidovorax具有氫自養反硝化脫氮功能,也可降解污水中難降解的有機物。值得注意的是,Nitrospira作為典型的亞硝酸鹽氧化菌(NOB),在本系統中僅占0.61%,遠低于生活污水處理過程中的平均豐度,說明該系統中NOB功能菌群被抑制,脫氮過程以短程硝化為主,與2.3節中亞硝氮積累現象相吻合。
3、結論
1)在12℃條件下,通過運行工況優化,在采用復合碳源、200%的硝化液回流比、75%的污泥回流比時,系統出水COD、NH4+-N、TN的平均值分別為30.98、0.03、7.93mg·L−1,去除率分別為87.26%、99.87%、69.97%。該條件下系統處理效果最佳,且出水遠優于一級A標準。
2)在低溫條件下,采用復合碳源時,NH4+-N去除效率與NO2−-N積累率顯著增高,表明系統中短程硝化過程成為占據主導地位。
3)系統中活性污泥的EPS受硝化液回流比的影響不大;而與污泥回流比呈負相關趨勢,PS/PN逐漸減小。
4)系統中Pseudomonas(假單胞菌屬)和Flavobacterium(黃桿菌屬)總相對豐度可達40%,異養硝化-好氧反硝化成為主要脫氮過程,低溫抑制NOB作用,使得短程硝化耦合異養硝化-好氧反硝過程出現,有效提升系統的脫氮性能。(來源:西安建筑科技大學環境與市政工程學院,西北水資源與環境生態教育部重點實驗室,西安建筑科技大學)



