污泥是生活污水經過沉降脫水產生的固體廢物,污泥中含有寄生蟲卵、病原微生物等致病物質,銅、鋅、鉻等重金屬,這些污染物相互連接又被細菌包裹形成胞外聚合物,導致污泥鎖住水分,此外,污泥還含有多氯聯苯、二噁英等難降解有毒有害物質,如果不妥善處理,容易造成二次污染。隨著城鎮化進程加快,到2025年前后,我國大中型城市污泥處置率將達到95%以上。污泥最顯著的特征是含水率高,即使經過濃縮與消化后,污泥的含水率仍然在95%以上,機械脫水后含水率降低至85%左右。污泥中大部分水分僅靠外力擠壓很難被脫除,胞外聚合物的存在阻礙著這部分水分的釋放。污泥焚燒是污泥減容、減量、無害化處理的重要手段,但在此之前,仍需要依靠熱能將污泥含水率干燥至65%以下才可實現自持燃燒。
污泥具有含水率高、粘性大、待處理量大等特點,超聲波特別適合預處理這類物質,尤其是在熱對流溫度較低時,超聲波可以在不顯著加熱污泥的情況下利用聲流、海綿效應和空化效應,使其固液分離并減少傳質的內部阻力,提高干燥速率。SUN等發現適宜的超聲波可明顯改善污泥的脫水性,趙芳等分析討論了超聲聲能密度、超聲熱效應等因素對污泥干燥過程的影響,證明超聲作用可以加速污泥干燥速率,且超聲強化效果隨著聲能密度的增加逐漸增強。在目前超聲波處理污泥的研究多集中于以下方面,其一是污泥沉降方面,考察超聲波對污泥沉降速率以及對厭氧消化過程的酶活性、脫氮速率、胞外聚合物產生影響,其二是超聲波直接與熱載體進行聯合干燥,分析對比薄層污泥厚度以及超聲波功率對干燥過程的影響,但對經過超聲波預處理污泥的干燥過程鮮有研究。
本研究的目的是通過熱對流干燥實驗,通過控制超聲波頻率和預處理時間,分析超聲波預處理對污泥含水量以及干燥速率的影響。考慮到實際生產的目標水分與最佳摻燒含水率,本研究以全干化(含水率小于5%)為干燥目標。同時,使用Origin軟件建立了超聲波預處理后的污泥熱濕耦合模型,通過干燥動力學研究污泥干燥過程中水分比與各個因素之間的關系,從宏觀和微觀2個層面間接描述傳熱傳質的變化規律。
1、材料與方法
1.1 實驗原料
污泥樣品來自沈陽市鐵西區污水處理廠經過機械脫水后的污泥,污泥呈黑色泥膏狀,氣味強烈,靜置48h后下層污泥滲出污水,上層表面出現白色霉菌,惡臭氣味更加強烈,樣品初始含水率為84.96%。
1.2 實驗裝置
污泥熱對流干燥器裝置如圖1所示,裝置包括密封干燥箱體、無極調溫風機、數據采集器組成。其中包括:分析天平(JE2003,上海尚普儀器設備有限公司);工業熱風機(DL5318,得力工具有限公司);風速儀(DL333212,得力工具有限公司);超聲波發生器(THD-T1,深圳太和達科技有限公司);超聲波換能器(THD-T1,深圳太和達科技有限公司)。

1.3 實驗方法
試驗開始前先將污泥置于超聲波振板上預處理至預設時間,再放入污泥熱對流干燥裝置中。試驗所用的調溫風機60~590℃連續可調,通過風口調節器調節風速。托盤中將污泥鋪成10cm×10cm厚度6mm方形薄片。試驗開始前,先將風速儀從干燥箱體預留的小孔伸入,調節風速為2m·s−1,再將K形熱電偶伸入,調節溫度到達指定溫度進行預熱,最后將污泥置于天平托盤,關閉熱風箱體門進行熱對流干燥試驗。數據采集器記錄分析天平的實時數據,通過連接電腦實現數據的保存、顯示和實時計算。
其超聲波預處理系統設置功率為30W,超聲波頻率選取25與40kHz2個頻率等級,分別處理2和4h。干燥箱內設置70、90、110、130℃的4個干燥溫度。若連續3次干燥速率小于5.0×10−4s−1則認為干燥過程結束,并記錄電能表示數。每組試驗進行3次以確保再現。
1.4 干燥模型
薄層干燥模型常用于描述污泥水分的質量損失,表1列出了7種常用的薄層干燥模型。利用決定系數R2、卡方系數χ2、平均根誤差RMSE可以衡量模型擬合效果,討論最佳模型。R2值越高、χ2與RMSE值越低代表擬合效果越好,干燥模型就越合適。

1.5 動力學參數
水分比(MR)與干燥速率(DR)的公式分別為式(1)、(2)和式(3)。

式中:M0是樣品未干燥狀態的干基含水率;Mt是樣品干燥到任意時刻的干基含水率;Me是樣品干燥到平衡狀態的干基含水率。
由于污泥樣品干燥到平衡狀態時Me遠小于M0、Mt,所以式(1)可以簡化為(2)。
有效濕分擴散系數表明了液態水或氣態水利用樣品裂縫、空隙和微通道的擴散效率。有效濕分擴散系數受污泥樣品特性、水分含量、熱對流溫度和速度以及超聲功率和頻率等因素影響,是衡量干燥過程的關鍵指標。在超聲波強化熱對流干燥的過程中干燥時間足夠長,為了方便計算需要對干燥過程進行如下假設:水分遷移是通過自由擴散且不考慮徑向擴散,具有恒定的有效濕分擴散系數與干燥溫度,水分由薄層底面擴散至蒸發面。則薄層污泥樣品可用Fick第二定律的對數形式表示,如式(4)所示。

式中:MR是水分比,Deff是有效濕分擴散系數,m2·s−1;L是薄層污泥厚度,m;t是干燥所用的時間,s。
式(4)成立的是以Deff是個定值為前提條件,但大量實驗證明有效濕分擴散系數的值隨著水分含量的減少而增加。傅里葉數的物理意義為非穩態傳質傳熱過程,將傅里葉數公式F0=Defft/L2帶入式(4)計算得到式(5)。

那么有效濕分擴散系數計算式可整理為式(6)。

在此lnMR與Deff呈函數關系,此函數關系表示為F(lnMR),Deff的估計值受到實驗和分析處理誤差的制約,估算每個干燥溫度下的某段有效濕分擴散系數的平均值則應用式(7)進行積分。

擴散過程的表觀活化能由式(8)Arrhenius方程的對數形式來確定,lnDeff與試驗熱對流溫度T呈函數關系,Ea可通過直線斜率求得。

式中:D0是擴散因子,m2·s−1;Ea是表觀活化能,kJ/mol;T是試驗熱風溫度,K;R通用氣體常數,8.314J·(mol·K)−1。
2、結果與討論
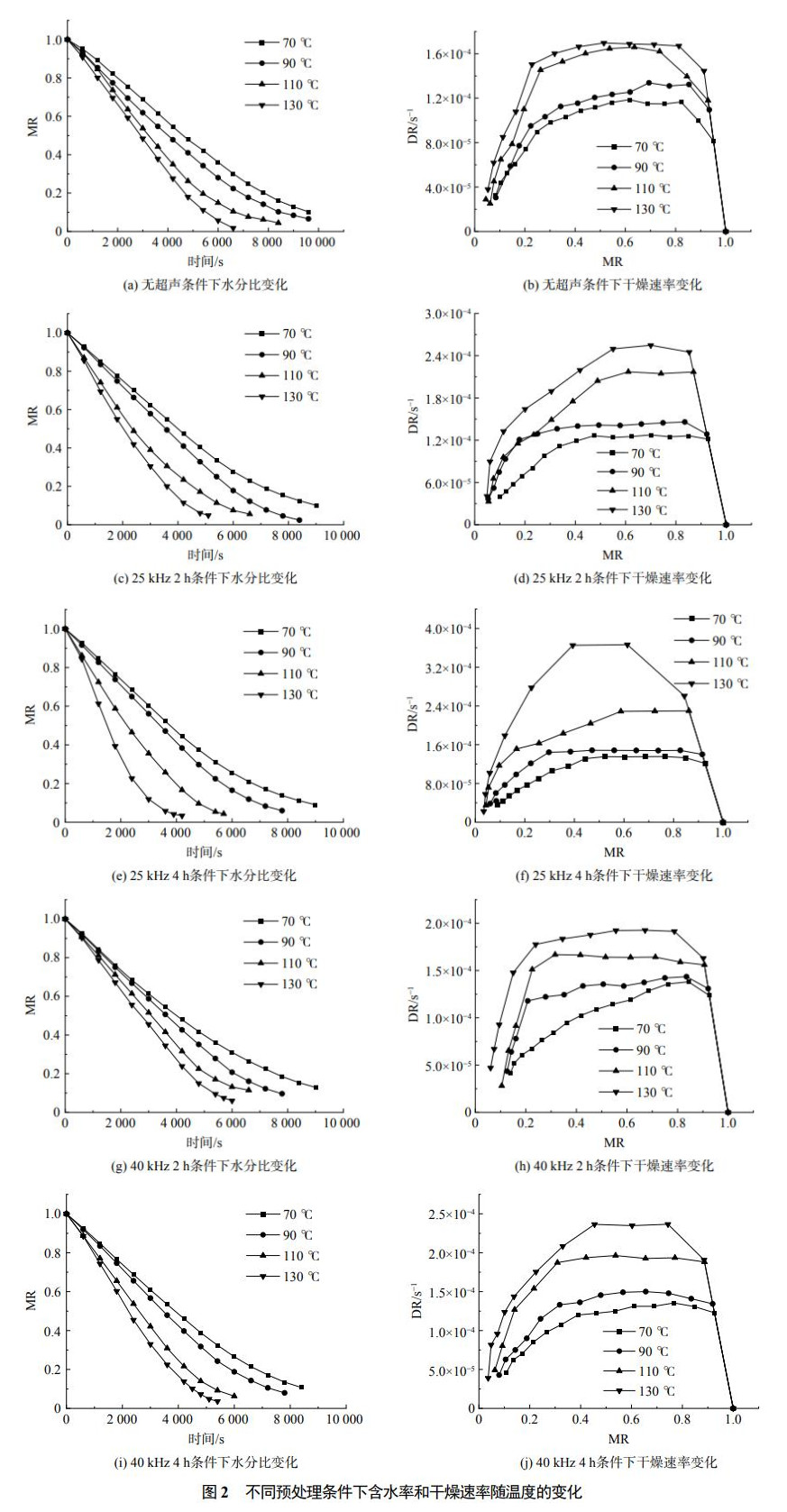
2.1 水分比和干燥速率曲線

圖2給出不同超聲波頻率、預處理時間、熱對流溫度下的污泥水分比曲線和干燥速率曲線,可以看出污泥的干燥結束時間隨著熱對流溫度的提高而逐漸縮短。以無預處理的污泥為例,干燥用時分別為:70℃用時9471s、90℃用時8181s、110℃用時7004s、130℃用時6712s。比較圖2還可以看出超聲波預處理對各個溫度環境下的污泥樣品的干燥效果均有強化作用,隨著預處理時間增加,這種強化作用也更加明顯,詳細干燥用時縮短的百分比數據已總結在表2。

可見超聲波預處理對污泥的干燥具有促進作用,這是由于污泥中自由水占66%~86%,污泥中含有大量有機分子、無機顆粒和細菌真菌膠質體,水的極性分子與細菌真菌膠質體的極性分子形成氫鍵,產生較強的吸附力,導致污泥集團吸附自由水。由于超聲波在膠質體中作用效果良好,超聲波的強剪切力破碎分離了污泥集團,釋放了被聚合物基團鎖住的自由水,故而產生了這種強化作用。與此同時,基團碎片體積縮小并相互聚合,在污泥內部形成微通道,有利于污泥內部水分向表面擴散。實驗發現經過25kHz的超聲波預處理的污泥干燥時間更短,這可能由于不同頻率的超聲波在污泥中的特性阻抗不同,更低的超聲波頻率衰減系數更小,因此在相同預處理時間下,經過25kHz的超聲波頻率預處理的污泥干燥時間更短。
通過干燥速率曲線得知,熱對流薄層污泥干燥過程可分為:預熱階段、恒速干燥階段、第一降速干燥階段、第二降速干燥階段。超聲波預處理明顯提高恒速干燥階段(含水率75%~40%)的干燥速率,且熱對流溫度越高干燥速率提升就越明顯,詳細干燥速率數據總結在表2。
由表2可以看出經過超聲波預處理的污泥在110和130℃熱對流溫度下的恒速干燥速率明顯提升,這是由于較高的熱對流溫度使污泥內部水分沸騰,提高了內部水汽壓力,從而將自由水推動到污泥表面,而超聲波的強剪切力形成的局部拉應力足以克服液體分子的結合力造成聚合物基團內部產生負壓空洞,形成空穴,在壓力與空穴的雙重影響下不連續的氣相和液相推動水分擴散,促使水分通過自然通道遷移排出,所以在較高的熱對流溫度下干燥速率提升明顯。值得一提的是恒速干燥階段結束時污泥的含水率可以滿足絕大部分的工業干燥的水分目標,這意味著超聲波預處理技術可以得到廣泛的利用。
隨著干燥的繼續,含水率降低到40%以下時進入第一降速階段,此階段裂紋不再發展延伸,薄層污泥收縮成2~4個部分,污泥出現了表面結殼但內部還是濕污泥的現象,這增大了傳質阻力,阻礙內部的水分往外界擴散。當水分比下降至0.1左右時,干燥速率曲線的繼續斜率增大,干燥過程進入第二降速干燥階段,這一階段大部分自由水和部分毛細結合水已經脫除,剩余少量的毛細結合水和微量的表面吸附水,這部分水與污泥結合更加緊密,需要更多能量才能除去。
2.2 薄層污泥干燥模型分析
在7種干燥模型中,Midilli模型R2的平均值為0.9993,Modified模型R2的平均值為0.9987,Midilli模型與Modified模型均有較好的R2值,同時Midilli模型χ2均值(1.224×10−4)與RMSE均值(8.635×10−3)均低于其他模型,因此Midilli模型能更好的表達干燥過程中污泥含水率與時間的關系,Midilli模型擬合結果詳見表3。

從表3中可以觀察出,超聲波頻率、預處理時間和熱對流溫度的變化對擬合系數k的影響較大,對模型系數n的影響較小,模型系數a和b則不受超聲波頻率、預處理時間和熱對流溫度變化的影響,屬于模型的修正系數。為了驗證Midilli模型在不同環境下干燥的描述的準確性,將試驗過程中各個實驗條件的水分比與模擬值進行對比,如圖3所示,明顯可以看出所有的實驗數據與模擬值形成一條斜率為1的直線,實驗值與擬合值的決定系數R2為0.9997,再次顯示了Midilli模型在不同實驗條件下描述干燥動力學的適用性。

2.3 干燥動力學
干燥動力學的參數可以更好的描述污泥樣品的干燥行為,圖4給出式6中F(lnMR)與t的關系圖象,其斜率變化反映了效濕分擴散系數Deff的變化。從圖4中觀察到函數斜率并非恒定不變,Deff的值明顯隨著水分含量的減少而增加,當達到干燥過程的最后階段時,Deff的值幾乎以指數趨勢增長。

由圖5可見,污泥的干燥可劃分為2個階段:蒸發控制階段和擴散控制階段。蒸發控制階段:支配水分運輸的物理過程是蒸發,在干燥初期,樣品表面有大量水分存在,在污泥的結構之間孔隙中的游離水從樣品中心轉移到表面,而蒸發在樣品表面附近發生;擴散控制階段:當大部分游離水從表面中脫除,熱量逐漸傳遞至污泥內部,水分慢慢從內部擴散至表面產生濃度梯度,這個過程中支配水分傳輸的物理過程是擴散,在這期間樣品表層結構中的孔隙由于其內部水蒸氣壓力的增加而變寬,直至干燥末期。通過式(7)可以得到不同條件下2階段的Deff的值,其結果詳見表4。可見在一定的超聲功率下,污泥在2個階段的有效濕分擴散系數隨著干燥溫度的升高和預處理時間增加而增大,其中在頻率25kHz預處理4h的條件下Deff值增幅最大,由1.23×10−9m2·s−1增加到3.99×10−9m2·s−1。

根據表4數據可對lnDeff與T−1進行擬合并通過式(8)求得表觀活化能,圖6給出的是在超聲波頻率25kHz預處理4h條件下的不同階段lnDeff與T−1擬合情況。表觀活化能的值可以表示從樣品中除去水分所需的最小能量值,用來衡量干燥過程的難易程度,表觀活化能Ea的值越小干燥就越容易。由表5中數據可以計算出,經過預處理的污泥蒸發控制階段和擴散控制階段Ea的平均值分別為21.45kJ·mol−1和22.02kJ·mol−1,蒸發控制階段的Ea略低于擴散控制階段的Ea。與未預處理的樣品相比,預處理過的2個段干燥過程的Ea都有降低,以經過超聲波25kHz預處理2h的污泥為例,2個階段Ea分別為20.86kJ·mol−1和20.95kJ·mol−1,減少了19.34%和22.21%。另外,表5還表明更長時間的預處理并沒有降低Ea的值,但大幅增加了擴散因子D0值,還是以25kHz超聲波為例,污泥的預處理時長由2h增加至4h,蒸發控制階段的D0從1.33×10−6m2·s−1增加至3.42×10−6m2·s−1,擴散控制階段的D0從2.22×10−6m2·s−1增加至6.55×10−6m2·s−1。這也證明了超聲波預處理對水分擴散有積極作用,而且預處理時間越長這種作用就越明顯。


根據表5還可知,相同預處理時間下,不同頻率超聲波進行預處理的污泥表觀活化能Ea差異較小,差異在0.91%~7.96%之間,但使用25kHz超聲波進行預處理會使干燥過程具有更高的擴散因子D0,經過25kHz超聲波預處理的污泥2個階段的D0平均值分別為2.37×10−6m2·s−1和3.08×10−6m2·s−1,而經過40kHz超聲波的污泥2個階段D0平均值分別為1.98×10−6m2·s−1和2.36×10−6m2·s−1。由此可以看出使用25kHz超聲波預處理對污泥水分擴散作用更加明顯。
2.4 孔隙率與復吸
為探究超聲波預處理對污泥孔隙率的影響,本研究對不同預處理條件下干燥完成的干污泥進行孔隙率檢測。檢測干燥終點原始污泥的平均孔隙率為37.21%,在不同的干燥條件下,污泥的平均孔隙率如下:經過25kHz2h預處理污泥平均孔隙率43.36%、經過25kHz4h預處理污泥平均孔隙率49.27%、經過40kHz2h預處理污泥平均孔隙率41.15%、經過40kHz4h預處理污泥平均孔隙率47.57%。超聲波預處理使污泥的孔隙率增加,并且預處理時間和超聲波頻率對孔隙率都有影響。其中,經過25kHz4h預處理的污泥,孔隙率提升幅度最高,為13.06%。由于污泥是非牛頓假塑性流體,更低的振動頻率意味著更高的單次剪切強度,可以改變污泥的觸變性與粘彈性,另外相關研究也指出更低的超聲波的頻率更能影響樣品孔隙形變的分布趨勢和形變大小。

水分復吸特性是指預處理后的污泥放置一段時間后,污泥的干燥速率逐漸趨近于未處理的狀態,圖7展示了污泥的復吸狀況。從圖7中可以看出,預處理污泥靜置12h后,各組的復吸程度差別不大,都在26%~31%之間。然而靜置24h后,經過4h預處理的污泥的復吸水平明顯高于其他2組。為探究復吸的原因,對4種預處理滲出液的COD濃度進行了分析。結果顯示,經過25kHz2h預處理污泥的COD濃度為67.54mg·L−1,經過25kHz4h預處理污泥的COD濃度為73.64mg·L−1,經過40kHz2h預處理污泥的COD濃度為65.95mg·L−1,經過40kHz4h預處理污泥的COD濃度為71.33mg·L−1。這表明在預處理4h的情況下,污泥的細胞結構被破壞得更多,導致污泥中存在更多的有機質,這些有機質使微生物在污泥中生長,將已經釋放的水分再次包裹進去,從而影響了干燥的時長。

3、結論
1)超聲波預處理顯著加快了污泥干燥速度,尤其是在熱對流溫度越高的情況下,這種強化效果尤為明顯。超聲波的強剪切力可以破碎污泥集團釋自由水,其中25kHz超聲波具有較高的干燥速率提升。Midilli模型能更好的表達各個預處理條件污泥干燥時含水率與時間的關系。
2)通過計算表明有效濕分擴散系數隨著水分比的減小緩慢增加,干燥后期接近于指數增長。污泥的干燥過程可以分為蒸發控制階段和擴散控制階段,預處理可以顯著增加這2個階段的有Deff值,使用25kHz超聲波進行預處理使干燥過程Deff的值更高,并且增加預處理時間也可大幅增加Deff值。
3)蒸發控制階段的表觀活化能略低于擴散控制階段的表觀活化能,而更長的預處理時間并沒有使表觀活化能減小,超聲波頻率變化對表觀活化能的影響較小,但25kHz超聲波預處理的污泥的擴散因子更高。
4)干燥結束后,預處理的污泥孔隙率高于原污泥,25kHz超聲波預處理4h可以使孔隙率提高13.06%。過長的預處理時間會導致污泥內部有機質增加,導致微生物的繁殖使干燥時間延長。在本文試驗條件中,使用25kHz超聲波進行2h的預處理組合是較為合理的選擇。(來源:沈陽化工大學機械與動力工程學院)



