在我國水資源短缺和水環境惡化的嚴峻情勢下,河湖供水水質退化,導致對水庫水源的依賴;特別是我國東南沿海省市,水庫型水源地日益成為經濟社會可持續發展的重要保障.然而近十幾年來我國水庫水質呈顯著下降趨勢,1/3重要供水水庫已呈富營養化,藻類水華事件頻發,不同程度破壞水庫生態系統,影響水源水質,降低生態系統服務功能,危及飲水安全.
湯浦水庫位于浙江省紹興市與上虞市交界處,屬曹娥江支流小舜江流域,功能以供水為主,兼顧防洪;水庫控制流域集雨面積460 km2,水面面積14 km2,總庫容2.35億m3,多年平均供水27 820萬m3,是虞紹平原區域性專用水源地,解決近400萬人口的生活和生產用水. 2001年建成以來,因受上游污染源的脅迫,水庫呈富營養化趨勢,多次出現浮游植物大量增殖現象,影響供水水質.
浮游植物的時空分布特征往往具一定規律性和周期性,溫帶湖泊的長期研究表明,特定的優勢種組合常在固定時段重復出現,這一過程通常又受水體物理、化學、水文和生物等因子調控.本研究對湯浦水庫浮游植物和水文水環境因子進行周年的月度監測,利用偏冗余分析(partial redundancy analysis,Partial RDA)分解浮游植物群落時間和空間維度的方差,定量描述其時空相對重要性,進一步利用冗余分析(redundancy analysis,RDA)探索浮游植物季節演替規律及其與水文和水環境因子的關系,以期為水庫生態系統的維護和水質管理提供科學依據.
1 材料與方法
1.1 采樣點設置
本研究在湯浦水庫設置6個采樣點(圖 1),從上游庫灣到下游壩前分別是S1(雙江溪)、S2(王化溪)、S3(托潭)、S4(庫中)、S5(宅陽)和S6(取水口). 2011年每月中旬進行1次月度采樣.

圖 1 湯浦水庫采樣點示意
1.2 樣品采集與檢測方法
浮游植物樣品:定性樣品用25號浮游生物網在水體表層呈“∞”字形來回拖動約3~5 min撈取,4%福爾馬林固定,實驗室用10×40倍顯微鏡觀察,進行種屬鑒定;定量樣品在水體表層0.5 m處采集2 L,用魯哥試劑(Lugol's)固定,帶回實驗室沉淀濃縮至30 mL,在顯微鏡下利用浮游生物計數框行格法進行分類計數,對于密度高不適合行格法計數的樣品采用視野計數法,對30~50個視野計數,使細胞數不少于300個.
水質理化樣品與浮游植物樣品同步采集,水溫(WT)、pH、溶解氧(DO)和電導率(EC)用便攜式水質分析儀現場測定,透明度(SD)用塞式透明度盤現場測定,高錳酸鹽指數、總有機碳(TOC)、葉綠素a (Chla)、總氮(TN)、總磷(TP)、鐵(Fe)、錳(Mn)、氯化物(Cl-)、硫酸鹽(SO42-)、氨氮(NH4+-N)、硝酸鹽(NO3--N)、亞硝酸鹽氮(NO2--N)和磷酸鹽(PO43--P)的測定均參考文獻,水體全硅(SiO2)按照《GB/T 12149-2007工業循環冷卻水和鍋爐用水中硅的測定》中適用于天然水的氫氟酸轉化分光光度法測定.水體氮磷比(N:P)為摩爾比,月均水力滯留時間(HRT)等于水庫庫容量與出流量的比值,月降雨量(Precip)及以上水文和水環境因子數據由紹興市湯浦水庫有限公司提供.
1.3 數據處理與統計分析
環境因子的Pearson相關系數用SPSS 21.0進行計算.浮游植物群落與環境因子間的關系用CANOCO 4.5分析;物種數據采用浮游植物密度數據,并經平方根轉換,環境因子除pH外進行lg (x+1)轉換[8];對浮游植物物種數據進行DCA (detrended correspondence analysis)分析,排序軸最大梯度長度為3.265,可選用基于線性模型的RDA分析.
通過RDA和Partial RDA分析可將物種數據矩陣的總方差分解成不同組分:基于采樣月份建立表征時間變化的虛擬變量T,基于采樣點建立表征空間變化的虛擬變量S;通過時間和空間共同約束下的RDA分析(S和T同為解釋變量),剔除空間影響后時間約束下的Partial RDA分析(T為解釋變量以及S為協變量),以及剔除時間影響后空間約束下的Partial RDA分析(S為解釋變量以及T為協變量),可以將浮游植物物種數據的方差分解為時間變量獨立作用部分,空間變量獨立作用部分,時間和空間變量交互作用部分,以及未能解釋的部分.
進行浮游植物和環境因子的RDA分析時,為避免環境因子間多元共線性的影響,需對環境因子進行篩選.首先試探性將所有環境因子作為解釋變量納入RDA分析,查看其方差膨脹因子(variance inflation factor,VIF)大小,一般認為VIF>10時,因子間共線性明顯,需對環境因子縮減;本研究環境因子縮減原則為Pearson相關系數大于0.75(P < 0.01)的一對環境因子只保留其中1個,優先保留過去研究表明對浮游植物群落有影響或直接影響的因子;縮減后的環境因子集重新納入RDA分析,用Forward selection程序中的人工選擇(Manual selection)篩選通過Monte Carlo檢驗(P < 0.01,n=999)的參數進行分析和作圖.本研究最后入選RDA分的環境因子為HRT、EC、SiO2、WT、SO42-、DO、NO2--N、Precip、N:P和Mn,除WT的VIF為10.60外其余皆小于10.為了簡化排序圖,只有超過15%方差能被排序軸解釋的物種入選作圖.為了便于排序圖解譯和分析,之前因存在共線性去除的(TN、TP、Chla、pH、TOC、高錳酸鹽指數和Cl-)以及未通過Monte Carlo檢驗的(SD、Fe、NO3--N、NH4+-N和PO43--P)共計12個環境因子作為被動變量(passive variables)放入排序圖中.
2 結果與分析
2.1 水文與水環境特征
湯浦水庫水文和水環境變量2011年均值和變化范圍見表 1.各變量Pearson相關系數矩陣見表 2(其中僅列舉至少有1個與其他變量的相關系數≥0.750的變量).其中,WT與除Fe外的其他因子顯著相關,與高錳酸鹽指數相關性最高,二者峰值出現在8月(最高)和2月(最低);pH與高錳酸鹽指數、TOC和Chla顯著正相關,三者最高值集中出現在5月、7月和8月,pH還與SiO2顯著負相關;除了WT和pH外,高錳酸鹽指數還與TOC和Chla呈顯著正相關;Cl-與電導率和SO42-顯著正相關,三者在上半年明顯高于下半年;TN與NO3--N顯著強相關;TP與Fe顯著正相關,與N:P顯著負相關.
表 1 湯浦水庫水文和水環境變量特征
1)*表示P < 0.05(雙尾檢驗);**表示P < 水平0.01(雙尾檢驗);相關系數≥0.750的值用黑體字顯示
表 2 湯浦水庫水文與水環境變量Pearson相關系數矩陣1)(n=72)
2.2 浮游植物群落特征
2.2.1 種類組成
2011年12次調查,在湯浦水庫共檢出浮游植物7門62屬115種,其中,綠藻門的種類最多,48種,占總種數的41.7%;其次是硅藻門34種,占29.6%;藍藻門17種,占14.8%;甲藻門和裸藻門各5種,各占4.3%;隱藻門和金藻門各3種,各占2.6%.
2.2.2 優勢種
設定月平均相對豐度大于10%的浮游植物為優勢種,調查期間,湯浦水庫共有優勢種13種,其中硅藻門優勢種有5種,顆粒直鏈藻最窄變種(Melosira granulatavar. angustissima)在1月和2月形成優勢,模糊直鏈藻(Melosira ambigua)在10~12月和1月形成優勢,小環藻(Cyclotella sp.)在4月和6月形成優勢,尖針桿藻(Synedra acus)在6月和7月形成優勢,鏈狀彎殼藻(Achnanthidium catenatum)則在1~6月形成優勢;藍藻門優勢種為小席藻(Phormidium tenue)、小顫藻(Oscillatoria tenuis)、細小隱球藻(Aphanocapsa elachista)和鞘絲藻(Lyngbyasp.),在4~8月和10月形成優勢;綠藻門優勢種為單生卵囊藻(Oocystis solitaria), 湖生卵囊藻(Oocystis lacustris)和彎曲柵藻(Scenedesmus arcuatus),在8月和9月形成優勢;隱藻門優勢種為尖尾藍隱藻(Chroomonas acuta),在9~12月、1和2月形成優勢.從表 3可見,13種優勢種百分比豐度合計占所有種類的56%以上,最高達94%,浮游植物群落類型按時間順序依次為硅-隱藻型(1和2月),硅藻型(3月),硅-藍藻型(4~6月),藍-硅藻型(7月),藍-綠藻型(8月),綠-隱藻型(9月),藍-隱-硅藻型(10月)和硅-隱藻型(11和12月).
1)月度平均百分比豐度大于10%的值以黑體字顯示
表 3 浮游植物優勢種月度平均百分比豐度1)/%
2.2.3 細胞密度和相對豐度
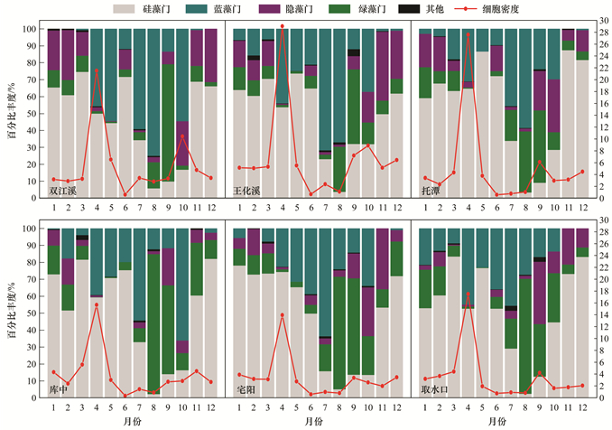
湯浦水庫浮游植物月均密度為0.59×106~20.88×106 cells·L-1,各采樣點表現出相似的時間變化(圖 2): 4月最高并顯著高于其他月份(皆超過10×106 cells·L-1),6月最低,在9~11月間略有回升.
圖 2 浮游植物細胞密度和相對豐度的時空變化
從浮游植物相對豐度(圖 2)來看,湯浦水庫占主導地位的是硅藻門、藍藻門、綠藻門和隱藻門,其他3門(裸藻門、金藻門和甲藻門)合計所占比例均 < 5%.與浮游植物密度類似,各采樣點的浮游植物門類組成具有較相似的時間變化:硅藻門在1~6月、11和12月占較高比例,相對豐度為44.4%~87.4%,僅處于水庫上游的雙江溪5月和王化溪11月低于50%;藍藻門在4~10月占較高比例,平均相對豐度為13.6%~58.9%;綠藻門在8月和9月占較高比例,平均相對豐度分別為51.8%和50.7%;隱藻門在1~2月和9~12月平均相對豐度為11.4%~25.3%.
2.3 浮游植物時空方差分解
時間變量和空間變量對浮游植物群落數據總方差解釋的貢獻有明顯的差別(圖 3):時間和空間變量共同作用的貢獻達74.8%,約為總方差的3/4,其中時間變量獨立作用的貢獻T占絕大部分達72.3%,空間變量獨立作用的貢獻S僅為2.5%,時間和空間變量交互作用部分的貢獻T∩S為0;時間和空間變量未能解釋的方差U占25.2%,約為總方差的1/4.

圖 3 時間變量和空間變量對浮游植物方差分解的貢獻
2.4 浮游植物月度RDA分析
以采樣月份作為虛擬變量對浮游植物進行RDA分析,結果表明,第一典范軸和所有典范的Monte Carlo檢驗均呈極顯著水平(P < 0.01),其中,第1和第2排序軸分別解釋了浮游植物方差的22.1%和20.4%,所有典范軸累計貢獻達72.3%.采樣月份在排序圖中以點表示,其坐標為相同月份所有樣點得分在排序空間的質心(Centroid),月份間的距離指示其群落結構的相似程度,距離越近的月份其浮游植物群落越相似;圖 4可見時間變量在排序空間得到很好的分化,12個月較均勻地分散在4個象限,其中4、5和6月在第一象限,7、8和9月在第二象限,10、11、12和1月在第三象限,2和3月則在第四象限.物種在排序圖中以箭頭表示,箭頭指向該物種豐度變異最大的方向,箭頭越長的物種對群落數據的變異貢獻越大;為避免過多物種箭頭的堆積影響排序解譯,只有前兩軸解釋超過15%方差的28種浮游植物(包括綠藻10種、硅藻8種、藍藻6種、甲藻2種,裸藻和隱藻各1種)入選作圖;物種箭頭最長的10種藻依次是鏈狀彎殼藻、模糊直鏈藻、鞘絲藻、細小隱球藻、尖尾藍隱藻、小席藻、黏球藻(Gloeocapsa sp.)、極毛頂棘藻(Chodatella cilliata)、單生卵囊藻和柵藻(Scenedesmus sp.);所有藍藻(6種)和大部分綠藻(7種)分布于軸1的上半區域,尤其在第2象限形成比其他區域密集的聚群指向7月和8月,此外該區域還包含甲藻2種以及硅藻和裸藻各1種;硅藻除尖針桿藻外皆分布于軸1下半區域,此外該區域還包含綠藻3種以及隱藻1種,與軸1上半區相比,物種箭頭分布更為均勻.

箭頭代表物種,其中綠色箭頭為綠藻,藍色箭頭為藍藻,褐色箭頭為硅藻,黃色箭頭為甲藻,紫色箭頭為隱藻,橙色箭頭為裸藻;紅色實心三角形代表月份變量;物種按箭頭長度依次如下: AchnCate:鏈狀彎殼藻;MeloAmbi:模糊直鏈藻;LyngSp.:鞘絲藻;AphaElac:細小隱球藻;ChroAcut:尖尾藍隱藻;PhorTenu:小席藻;GloeSp.:黏球藻;ChodCill:極毛頂棘藻;OocySoli:單生卵囊藻;ScenSp.:柵藻;PhorSp.:席藻;MicrPusi:微芒藻;AnkiAngu:狹形纖維藻;QuadChod:并聯藻;ChroSp.:色球藻;GlenSp.:薄甲藻;CyclSp.:小環藻;MeloGrAn:顆粒直鏈藻最窄變種;TetrMini:微小四角藻;StauSp.:角星鼓藻;CyclMene:梅尼小環藻;PeriSp.:擬多甲藻;MeloGASp:顆粒直鏈藻最窄變種螺旋變形;CrucApic:十字藻;AsteForm:美麗星桿藻;SyneAcus:尖針桿藻;TracVolv:旋轉囊裸藻;ChloVulg:小球藻;Jan: 1月;Feb: 2月;Mar: 3月;Apr: 4月;May: 5月;Jun: 6月;Jul: 7月;Aug: 8月;Sep: 9月;Otc: 10月;Nov: 11月;Dec: 12月
圖 4 浮游植物與月份作為虛擬變量的RDA排序
2.5 浮游植物與環境因子的RDA分析
浮游植物與環境因子RDA分析結果表明(圖 5),所篩選的10個環境因子共解釋59.4%的物種變化,第1和第2排序軸分別貢獻了22.1%和18.8%.紅色箭頭表示經Monte Carlo置換檢驗對浮游植物群落結構變化影響顯著的環境因子,箭頭長度從大到小依次為HRT、SiO2、EC、WT、SO42-、DO、NO2--N、Precip、N:P和Mn,也相應代表了對浮游植物群落影響的重要程度;與軸1明顯正相關的有EC、SO42-和DO,明顯負相關的為HRT和NO2--N,其中HRT和EC箭頭明顯長于其他環境因子,主導著軸1方向物種的變化;與軸2明顯正相關的有WT和Precip,明顯負相關的有SiO2、N:P和Mn,其中SiO2和WT箭頭明顯長于其他環境因子,主導著軸2方向物種的變化.藍色箭頭代表了被篩選掉的被動變量,它們不影響排序結果僅在排序完成后重新放到排序空間中,這些變量要不箭頭很短,要不方向和有顯著影響的變量很一致;排序圖中除了TOC、pH、高錳酸鹽指數、Cl-、Chla和NO3--N的箭頭較長外,其余被動變量箭頭皆較短;其中高錳酸鹽指數和Chla與WT的方向相近,TOC、pH和TP與Precip的方向相近,NH4+-N和PO43--P方向一致位于DO與Precip之間,Fe和DO方向一致,Cl-與EC的方向相近,SD和Mn的方向相近.

紅色箭頭代表通Monte Carlo置換檢驗有顯著影響的環境因子,藍色箭頭代表被篩選掉的被動變量,黑色箭頭代表物種,物種縮寫與圖 4相同
圖 5 浮游植物與環境因子的RDA排序
3 討論
3.1 浮游植物群落特征與季節演替
湯浦水庫于2010年5月和2011年4月均暴發以鏈狀彎殼藻和絲狀藍藻為主的藻類水華,其中2010年的絲狀藍藻為湖泊假魚腥藻(Pseudanabaena limnetica),2011年為小席藻;浮游植物細胞密度在4月達到極大值后迅速下降,6月達到全年的極小值,這與該月較高的降雨量有關,3次強降雨合計536mm,占全年的35%,盡管降雨帶來較高濃度的TN、TP、NO3--N和SiO2,但同時也帶入過多懸浮物導致水體SD降低,進而影響浮游植物生長和增殖.
從細胞密度和門類的相對豐度來看,浮游植物有明顯的時間差異,而空間上6個采樣點間的差異卻相對不明顯.浮游植物時空變量的Partial RDA進一步指出湯浦水庫浮游植物群落的樣點間變異僅占總變異2.5%,遠小于月份間的變異(占72.3%).這些結果一致表明浮游植物時間異質性大,空間異質性小,浮游植物在水庫表層的分布較為均質,沿水流方向縱向梯度變化并不明顯,對水質參數進行聚類分析發現S1和S2為一類,S3、S4、S5和S6為一類,兩類間距離也不大,這些現象往往與水庫吞吐流特征和水動力過程有關,湯浦水庫作為支流蓄水水庫(tributary reservoir)月均水力滯留時間超過120d,河流區和過渡區較小或不明顯,水庫各方面屬性與湖泊更為相似.對于這類型水庫,時間尺度上增加采樣頻率比空間尺度上增加采樣點數更有利于探索浮游植物的演替規律;對湯浦水庫而言,后續研究則可減少部分水庫縱向采樣點,或根據實際情況合并某些采樣點.
浮游植物優勢種劃分和月度RDA結果一致地提取了主導周年演替的重要物種: 13個優勢種在月度RDA排序圖中出現了10個,而排序圖中對群落變異貢獻最大的10種浮游植物有7種是優勢種,造成二者差異的僅僅是出現頻率和百分比豐度較低的優勢種(小顫藻、湖生卵囊藻和彎曲柵藻),以及RDA中重要性靠后的種類(黏球藻、極毛頂棘藻和柵藻).比較而言,月度RDA能更直觀呈現浮游植物物種與月度變量的關系,優勢種月均豐度分析則有助于排序圖的解譯.二者結果表明,鏈狀彎殼藻、模糊直鏈藻和尖針桿藻等硅藻分別在全年除8、9月的其他10個月內占較高比例,鞘絲藻、細小隱球藻和小席藻等藍藻分別在4~8月和10月的6個月內占較高比例,尖尾藍隱藻在1、2月和9~12月的6個月內占較高比例,卵囊藻(Oocystissp.)和柵藻僅在8、9月占較高比例.在排序空間中,時間上相鄰的月份往往距離更相近,如果將水溫最低的1、2和3月視為冬季,水溫最高的7、8和9月視為夏季,排序圖從第一到第四象限沿逆時針方向呈現出春-夏-秋-冬明顯的季節演替,其中春季由硅藻和藍藻占優勢,夏季由藍藻和綠藻占優勢,秋季和冬季則由硅藻和隱藻占優勢.
3.2 浮游植物演替的影響因子分析
不作任何篩選而利用所有環境因子進行RDA排序,前兩軸能解釋42.0%的物種變異,這僅僅比本研究采用的排序高1.1%,這進一步說明本研究采用的篩選合理有效,所篩選的環境因子集在RDA中既有效地去除因子間的共線性又能較大程度提取物種變異信息.
浮游植物和環境因子的RDA結果表明HRT是對湯浦水庫浮游植物影響最大的環境因子,HRT平均為195 d,從春季的5月(123 d)到秋季的10月(226 d)有一個逐漸上升的過程.在排序圖中,HRT和NO2--N幾乎重疊與軸1呈正相關,并與SO42-、DO、EC、Cl-、TN、NO3--N、Fe、NH4+-N和PO43--P負相關,這與環境因子間相關分析的結果一致,在數值上EC、Cl-和SO42-從春季到秋季則表現出明顯的下降過程.電導率EC常用于間接推測水體離子成分的總濃度[5],從量濃度和因子間相關性可知,本研究中SO42-、Cl-和NO3-對其貢獻大,NH4+、PO43-和NO2-的貢獻較小;幾乎所有離子(僅NO2-除外)連同EC隨HRT減少而增大,也即加大水體交換率可提高水體離子濃度. HRT的增加往往有利于強化水庫的反硝化作用,尤其在水體攪動減少導致DO下降的情況下,可增加氮的去除,使水體NO3--N和TN濃度下降,NO2--N作為反硝化過程中間產物在一定條件下可能導致積累而與HRT呈正相關.從排序中可見(圖 5),與HRT正相關的重要種類為尖尾藍隱藻和模糊直鏈藻,二者適應靜止或流動緩慢的水體;而與HRT負相關的重要種類為鏈狀彎殼藻和小席藻,二者共同在春季占優勢,并在4月形成密度較高的水華,不同地區鏈狀彎殼藻水華案例研究表明該種適應較高強度的水體擾動,水體動力學過程是水華發生和持續的重要影響因素.已有眾多研究表明水力滯留時間是水庫最關鍵的水文水動力學參數之一,其長短與水庫的水動力學、化學與生物過程直接關聯,對浮游植物生物量、生產力和群落組成有重大影響.尤其與溫帶地區浮游植物演替多受溫度和光照影響相比,低緯度的熱帶及亞熱帶地區更易受徑流的季節或年際變化及其帶來的營養鹽供應變化以及季節性短期的水體穩定性的影響.總而言之,湯浦水庫浮游植物群落沿軸1方向上的變化由HRT及其驅動的水庫離子濃度變化和反硝化過程共同主導,并主要體現了浮游植物春季和秋季的變化.
重要性緊隨HRT之后的環境因子是水體總硅SiO2和WT.其中SiO2連同N:P、Mn與軸2呈負相關,代表水體營養元素與微量元素對浮游植物的影響;WT則連同降雨Precip與軸2呈正相關,代表氣象條件對浮游植物的影響.和浙江省很多水庫相似,湯浦水庫氮含量較高磷含量較低,TN (平均為1.92 mg·L-1)指標接近劣Ⅴ類水,TP (平均為0.02 mg·L-1)指標為Ⅰ類水,N:P均值為254,最低為76,為顯著的磷限制水體,磷的輸入或添加往往能促進該類水體浮游植物生物量的增長,相關分析也表明湯浦水庫浮游植物生物量Chla與PO43--P (r=0.595,P < 0.01)和TP (r=0.586,P < 0.01)呈顯著正相關. RDA結果則表明單獨的某種氮或磷營養成分對浮游植物群落演替貢獻不大,SiO2和N:P才是重要的控制因子;排序圖中硅藻與藍藻、綠藻有明顯區別,硅藻基本對應高SiO2、高N:P和低WT,而大部分藍藻和綠藻則恰恰相反.長期的種類特異性分析表明硅藻和藍藻對環境因子的生長響應有巨大差別;藍藻成為優勢通常與氮的耗竭尤其形成低N:P緊密相關;硅藻生長則因需要攝取大量硅用于細胞壁合成,導致硅在特定時空的耗竭和補充成為硅藻水華生消和種類演替的重要因素,而且大多數硅藻的最適生長溫度往往低于藍藻;從冬季到夏季,湯浦水庫水體N:P和SiO2有明顯的下降過程,WT則顯著上升,浮游植物群落類型依次經歷了硅藻-隱藻型、硅藻-藍藻型和藍藻-綠藻型的轉變.總而言之,湯浦水庫浮游植物群落沿軸2方向上硅藻、隱藻和藍藻、綠藻間的演替主要由SiO2、WT和N:P驅動,并主要體現了浮游植物冬季和夏季的變化.
浮游植物的演替是多種環境因子在時空上綜合作用的結果,總體來說,HRT、SiO2、WT和N:P是湯浦水庫浮游植物演替關鍵影響因子.寧波橫山水庫浮游植物優勢種及其季節變化和湯浦水庫有很高的一致性,楊亮杰等的研究表明,WT是該水庫硅藻和藍藻間演替的主因.朱廣偉等對太湖流域以硅藻生物量占優的中營養飲用水源水庫長達5年的研究表明,硅藻優勢屬為針桿藻、曲殼藻、小環藻和直鏈藻,與本研究基本一致,其中針桿藻常能形成水華造成危害,而本研究的水華硅藻則為彎殼藻;該研究進一步指出硅藻生物量受氣溫、降雨、水位和營養鹽供給的影響.降雨帶來的地表徑流通常含大量營養物質,湯浦水庫6月的大量降雨明顯導致表層水體SiO2陡然上升,但全年來看二者卻呈顯著負相關,尤其在低降雨量月份SiO2仍保持較高濃度,因此可推測外源硅元素的輸入可對水體SiO2產生影響,但內源硅元素釋放起更重要作用.湯浦水庫在春末夏初到秋末冬初期間存在明顯季節分層,其余時段水體混合較為均勻,與本研究中SiO2較高濃度月份重合,這進一步說明水體混合有助于底層硅元素帶到水體表層.全湖實驗表明,選擇性底層取水可影響水體分層,使硅藻超過藍藻成為優勢的時間得到延長.因此水庫季節性分層對浮游植物演替有重要的影響,湯浦水庫后續研究工作已設置分層采樣來進一步探討這個問題.具體參見污水寶商城資料或http://m.dongaorq.cn更多相關技術文檔。
4 結論
(1) 調查期間共檢出浮游植物7門62屬115種,種類組成以綠藻為主,硅藻其次;浮游植物細胞密度4月最高,為20.88×106 cells·L-1,并形成以鏈狀彎殼藻和小席藻為優勢的水華,6月最低,為0.59×106 cells·L-1,強降雨則是該月浮游植物密度顯著下降的原因.
(2) Partial RDA表明浮游植物群落月份間變異占總變異72.3%,遠大于僅占2.5%的樣點間變異;結合浮游植物細胞密度和相對豐度的時空變化可知,湯浦水庫浮游植物的時間異質性大,空間異質性小,符合支流蓄水水庫特征.
(3) 優勢種分析和浮游植物月度RDA表明,硅藻全年優勢最明顯,其次是藍藻和隱藻,再次是綠藻,其中春季由硅藻和藍藻占優勢,夏季由藍藻和綠藻占優勢,秋季和冬季則由硅藻和隱藻占優勢.
(4) 浮游植物和環境因子的RDA表明,HRT及其驅動的水庫離子濃度變化和反硝化過程是主導春季和秋季水體擾動耐受和敏感種類間演變,以及春季水華形成的關鍵因子;SiO2、WT和N:P則是主導冬季和夏季,硅藻、隱藻和藍藻、綠藻間演變的關鍵因子.






