1 引言
近年來,世界各大流域水污染事件頻發,引發了全世界的關注,特別是在中國、印度等發展中國家.我國學者對突發水污染事件應急決策管理進行了大量的研究,主要集中在應急預警、風險決策管理兩個方面.其中,完善、科學的應急預案在污染事故響應階段能發揮巨大的作用.在當前的突發水污染應急機制下,應急預案編制和研究主要在應急管理領域,各級政府已經發布了各類應急管理行政預案,而具體指導應急處置工程實施操作的技術預案則十分匱乏.
與行政預案相對穩定不同,不同的污染情景所需要采用的應急處置技術及相應的應急材料物資裝備等都會有巨大差異.在技術預案編制過程中只可能依據典型污染情景提出應急處置操作路線,不可能窮盡所有可能情景.有必要建立一個技術預案和技術方案的動態生成系統,來解決此問題.如何選擇最適宜的應急處置技術及應急處置材料,集合專家知識經驗確定工程實施操作和運行參數,都是在技術預案和技術方案制定過程中需要考慮的關鍵問題,將為污染事件的快速處置提供科學的決策支持.
當前,應急處置技術篩選的問題開始得到關注,近兩年出現了少量的文獻報道.如Shi等于2014年將基于層次分析法的群決策技術用于山西長治濁漳河苯胺污染事件的應急處置技術篩選中,取得了一定的效果.Liu等提出了模糊灰度相關分析方法(GRA)對應急處置技術進行智能篩選,Liu等建立了基于差異驅動的多重CBR算法(MCBR)進行應急處置材料篩選的方法.他們結合歷史案例庫充分利用寶貴的歷史案例處置經驗,初步提出了可行的應急處置技術篩選評價方法.然而,圍繞應急處置技術預案編制和應急處置技術方案生成,構建完整的決策支持模型體系和軟件系統的研究尚未見報道.
基于此,本文建立基于“相似歷史案例篩選→應急處置技術篩選→應急處置材料篩選”的“三步篩選法”框架的技術預案和技術方案的動態生成系統,開發決策支持系統平臺,并依據2011年浙江建德新安江苯酚污染歷史事件進行測試應用,以期為響應者實施突發水污染應急處置工程提供決策支持,并在方法學上豐富應急響應階段的應急管理工具.
2 三步篩選法決策模型
2.1 模型整體介紹
應急處置技術預案(方案)可拆分為“案例-技術-材料”3個子系統,建立“相似歷史案例篩選→應急處置技術篩選→應急處置材料篩選”的“三步篩選法”框架.三步篩選法決策模型思路清晰、可操作性強,其框架結構如圖 1所示,技術路線及可采用的決策模型歸納梳理如下.

圖 1三步篩選法決策模型框架
第1步:相似歷史案例篩選.輸入污染事件的基本信息,如污染物類型、污染物來源、污染物超標倍數、與下游取水口距離等,從案例庫中匹配相似度最高的1個或幾個歷史案例,從這幾個案例中提取所采用的應急處置技術作為輸出結果.可用于相似歷史案例篩選的模型和方法有基于案例的推理技術(CBR)、層次分析法(AHP)等.
第2步:應急處置技術篩選.將可能采用的應急處置技術(即第1步的輸出結果)作為這一步的輸入,對這些應急處置技術進行再次篩選、排序和評估,最終輸出優選排序結果.可用于水污染應急處置技術篩選的方法有AHP、模糊綜合評價法(FCE)、多屬性決策方法(MADM)等.
第3步:應急處置材料篩選.輸入污染事件的相關監測數據,如污染物超標倍數、水流速度等,對待使用應急處置技術中所需要的應急處置材料進行進一步的深度篩選,從材料庫中選取最適宜的應急處置材料,最終輸出最適宜的應急處置材料的組合.可用于應急處置材料篩選的模型和方法有AHP、CBR、FCE等.
2.2 模型分步介紹
2.2.1 第1步:相似歷史案例篩選
相似歷史案例篩選,即在諸多成功的歷史案例中通過某種方法篩選出與當前污染事件最相似的一個或幾個案例,以借鑒其應急處置的方法和經驗.要完成相似歷史案例的篩選,需根據歷史上突發水污染事件的資料,首先設定對篩選影響較大的屬性指標,建立水污染應急處置技術篩選歷史案例庫框架結構,然后通過整理歸納,建立水污染應急處置技術篩選歷史案例庫.歷史案例庫框架形式如表 1所示.
表 1 水污染應急處置技術篩選歷史案例庫框架結構

水污染應急處置歷史案例庫建立以后,當污染事件突然發生時,在篩選平臺系統的相似歷史案例篩選界面中快速輸入污染事件的各屬性指標值,運行系統,即可應用系統內置的數學模型迅速地從歷史案例庫中篩選出幾個與污染事件相似度最高的歷史案例,并可依相似度大小對其進行優劣排序,這些案例即可為當前污染事件提供最有價值的參考.從這些相似歷史案例中提取出所應用的應急處置技術,即可為下一步的應急處置技術篩選做好充分的準備.
在以往的相似歷史案例篩選研究中,Guo等用CBR算法建立了危險化學品泄露事故的應急決策支持系統;靖可等做了基于整體優勢度的應急救援案例推理決策;袁曉芳等研究了基于CBR算法的煤礦瓦斯預警支持系統.近年來,隨著對水污染應急處置相似歷史案例篩選研究的不斷深入,諸多專家和學者對傳統的方法進行了各種改進,又探索出多種新的復合篩選方法.如將熵權法、G1法等融入到CBR法或層次分析法之中,取得了一系列的研究成果.
2.2.2 第2步:應急處置技術篩選
對第1步篩選出的幾種應急處置技術進行可行性、經濟性及適用性分析,從中提取應急處置技術信息,基于技術庫,建立篩選評估指標體系,劃分應急處置技術決策層次結構,一般情況下分為目標層、準則層、指標層和方案層4個層次(圖 2).基于此層次結構,從模型庫中選用篩選模型,對方案層中的應急處置技術進行最終的優劣排序,根據決策者的決策確定出在新的污染事件中待使用的應急處置技術.

圖 2應急處置技術決策層次結構()
在以往的水污染應急處置技術篩選研究中,吳華軍采用綜合多屬性決策分析法,對河流水污染控制方案進行了篩選研究;Shi等利用基于層次分析法的群決策方法對山西長治濁漳河苯胺污染事件的應急處置技術進行篩選;曲建華等構建了基于威脅度判定的應急處置技術篩選和評估模型,并通過廣西龍江鎘污染事故實例對評估模型進行了驗證分析.這些研究均取得了一定的成果.
2.2.3 第3步:應急處置材料篩選
水污染應急處置技術確定之后,必然要用到應急處置材料.目前,常用的水污染應急處置技術有吸附、混凝、氧化、中和等多種,而每一種技術中又包含多種應急材料.例如,對于吸附技術來說,吸附材料中包括活性炭、活性氧化鋁、硅藻土等多種;而對于混凝技術,混凝材料則更多,大體上可分為有機混凝劑和無機混凝劑兩大類.事實上,大多數情況下,會將兩種或兩種以上技術一起配合使用,也就是說,在應急時要同時使用兩類或兩類以上的應急處置材料.當污染事件突然發生且應急處置技術已經確定時,如何從諸多的應急處置材料中快速而準確地篩選出最適宜當前污染事件和應急處置技術的處置材料或材料組合,以往基本上是靠專家及決策者的經驗或簡單的現場實驗來確定,主觀性較強.建立客觀的應急處置材料篩選方法和模型是目前水污染應急處置的迫切需要,是水污染應急處置值得深入研究的課題.
目前的應急材料篩選基本上是通過試驗測試對比處理效果,缺少系統的水污染應急處置材料篩選的決策模型.Liu等結合水污染事件均存在差異性這一顯著特點,采用基于差異驅動的案例修正策略(DDRS),建立基于差異驅動修正策略的多重CBR模型(DDRS-MCBR),對應急處置技術中可采用的應急處置材料進行了深度篩選.
2.3 應急處置技術方案動態生成模型群組示例
在上面的框架下,選擇適宜的篩選算法/方法,構建一個突發水污染應急處置工程實施的CBR-MADM-MCBR三步篩選法模型群(圖 3):第1步,應用基于熵權G1法的CBR篩選方法從案例庫中篩選出相似案例,從中提取所采用的應急處置技術;第2步,利用區間三角模糊多屬性決策模型(ITF-MADM), 對第1步中所篩選出來的應急處置技術進行進一步的篩選和評估;第3步,應用基于差異驅動修正策略的多重CBR模型,對第2步中所篩選出來的應急處置材料進行深度篩選和決策.應用三步篩選法,首先可以通過CBR模型對相似案例進行初步篩選來大幅降低MADM技術篩選矩陣的空間維度,同時避免數據冗余的情況,大大提升了應急處置技術篩選的速度和效率;其次,可以從諸多的應急處置材料中篩選出最適合于當前污染事件的材料,從而大大提高應急處置效果.

圖 3應急處置技術方案動態生成模型群組示例
3 決策支持系統平臺開發
進一步,基于Visual Studio平臺和C#語言,分別開發了B/S和C/S兩個版本的“突發水污染應急處置決策支持系統”,適用于不同的網絡環境和應急決策環境.數據庫采用SQL Server 2008,系統數據流程見圖 4.

圖 4突發水污染應急處置決策支持系統中技術預案生成數據流程圖
該系統由相似歷史案例篩選平臺、應急處置技術篩選平臺、應急處置材料篩選平臺3個核心業務模塊組成.當污染事件發生時,立即進入相似歷史案例篩選平臺,根據污染事件的特征屬性進行相似歷史案例篩選,從最相似的幾個歷史案例中提取出所采用的應急處置技術;再進入應急處置技術篩選平臺,對待選應急處置技術進行篩選、評估和決策;應急處置技術確定后,迅速輸入污染事件的水文信息,進行所需應急處置材料的篩選.
4 案例分析
2011年6月4日,浙江省建德境內杭新景高速公路,一輛裝載31 t苯酚的槽罐車發生交通事故,因時逢該區域內暴雨影響,導致約有20 t苯酚泄漏隨地表雨水流入新安江中,造成部分水體受到污染.事故發生后,桐廬縣和富陽市的5個水廠停止供水,這5個水廠總計供水能力約為30.9萬t·d-1,共計涉及55.22萬居民用水.這是一起因危險化學品運輸交通事故引發的嚴重水污染事件,對當地居民正常生產、生活用水造成重大影響.本文提出的水污染應急處置技術的CBR-MADM-MCBR三步篩選法以該案例進行驗證分析.
4.1 第1步:相似歷史案例的篩選和決策
這一步采用基于熵權G1法的CBR相似歷史案例篩選方法,該方法的基本步驟如下.
步驟1:建立污染事件與歷史案例屬性指標矩陣(1).具體屬性指標包括:污染物的類型、污染物的來源、污染物的超標倍數、與下游取水口的距離、污染物的毒性、污染物的危險性、污染物的穩定性、污染物的溶解性、污染物的揮發性.制定各指標分級標準及賦值標準方案,共分為3種類型,每種類型各取1個代表指標給出其分級及賦值標準方案.其中,第1種類型為案例與污染事件的指標值是否相同,若相同指標值取1,若不相同則取0;第2種和第3種類型分別為定性指標和定量指標,其分級及賦值標準見表 2和表 3.依此對各案例的各屬性指標分別進行賦值,構建矩陣(2).

(1)

(2)
表 2 污染物毒性分級及賦值

表 3 污染物超標倍數分級及賦值

式中,vij為第i個評價對象中的第j項指標的數值(i=1, 2, …, m; j=1, 2, …, n)
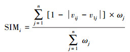
步驟2:應用最近相鄰策略案例檢索的模型公式(3)計算各個案例的相似度結果見表 4.將案例相似度按照由高到低排序:案例9>案例15>案例1>…….與污染事件相似度高于75%的案例共有11個,從這11個案例當中提取出3種應急處置技術,分別為案例9、案例15、案例35等案例中所應用的“活性炭壩吸附攔截技術”,案例1、案例29等案例中所應用的“筑壩攔截、投放稻草簾吸附技術”,以及案例19中應用的“投加石灰、筑活性炭壩攔截技術”.
表 4 相似歷史案例篩選結果


(3)
式中,SIMi的取值范圍為[0, 1],且SIMi的值越大表示案例與污染事件的相似程度越高;ωj為第j個指標的熵權G1法權重.
4.2 第2步:應急處置技術的篩選和決策
將從第1步篩選結果中提取出的應急處置技術作為第2步應急處置技術篩選的方案,置于決策層次結構的方案層.基于技術庫,并依據應急處置技術決策層次劃分結構和指標體系(圖 2),應用基于TOPSIS的ITF-MADM模型對應急處置技術進行最終排序和決策.決策步驟如下(劉仁濤,2015).
步驟1:根據備選技術方案集和篩選指標體系,構造ITF-MADM決策矩陣,并對其進行規范化處理。設決策方案集為X=x1, x2, …, xm, 決策屬性集為F=f1, f2, …, fn, 決策者集為D=d1, d2, …, dk.設決策者dk利用區間三角模糊數形式對方案xi的屬性fj給出評價值

, 從而構成了第k個決策者的決策矩陣:

(4)
經初步篩選得到的備選技術方案集為:x1為活性炭壩吸附攔截技術,x2為筑壩攔截、投放稻草簾吸附技術,x3為投加石灰、筑活性炭壩攔截技術.在決策模型指標體系中,共包含了11項屬性指標(圖 2指標層).其中,應急處置技術處置效果、應急處置技術實施的依托條件和公眾的接受程度這3項指標為越大越優型指標,其余為越小越優型指標.決策專家集指定3位專家d1、d2和d3.經3位專家對各方案指標打分,得到評價決策矩陣,并用區間三角模糊數表示評價信息.以其中一名專家為例,給出評價決策矩陣的轉置形式(式(5)),其中,行向量代表各屬性指標,列向量對應3種備選技術.

(5)
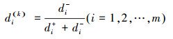
步驟2:計算各個方案的相對貼近度di(k)(式(6)),根據相對貼近度di(k)大小對方案進行排序并擇優.

(6)
式中,di+為各方案與正理想方案之間的距離;di-為各方案與負理想方案之間的距離。其中,正負理想方案分別定義為rj+=[1, 1, 1, 1, 1], rj-=[0, 0, 0, 0, 0].
根據式(6)計算得到3位專家決策各方案的相對貼近度矩陣(行向量代表專家,列向量代表備選方案):

(7)
步驟3:群體決策方案的集結,具體公式見式(8).根據式(8)計算得到群決策集結方案的評價結果為Zi=(0.6867, 0.5680, 0.7601)(表 5).從評價結果可以得出,備選的3種應急處置技術的優劣排序為:技術3>技術1>技術2.由計算結果可知,最適合2011年浙江建德新安江苯酚污染事件的應急處置技術為投加石灰、筑活性炭壩攔截技術.
(8)

(9)
表 5 應急處置技術篩選結果

式中, αk為第k位專家的權重.
4.3 第3步:應急處置材料的篩選和決策
應急處置技術篩選的結果為投加石灰、筑活性炭壩攔截技術.而在實際應用中,與單純投加一種混凝劑相比,采用無機混凝劑與有機混凝劑相結合的方式能取得更好的處置效果.因此,在這一步,將以“活性炭+無機混凝劑+有機混凝劑”的組合方式為例對應急處置材料進行進一步的篩選.篩選模型采用基于差異驅動修正策略的多重CBR模型(DDRS-MCBR),其工作流程見圖 5.

圖 5基于差異驅動案例修正策略的多重CBR模型工作流程圖
模型步驟如下:①建立材料庫和材料工況庫;②從材料工況庫中篩選出與污染事件相似度最大的工況,具體見表 6;③應用基于差異驅動的修正策略(DDRS)對最相似工況的解決方案進行修正.輸出最終的修正結果,即最終的解決方案,具體見表 7.
表 6 污染事件與最相似工況的特征向量值

表 7 應急處置材料篩選結果

4.4 技術方案框架生成
最后生成技術方案框架,在該污染情景和工況下,采用投加無機和有機混凝劑、筑活性炭壩攔截技術,和椰殼炭+聚合氯化鐵+聚丙烯酰胺材料,用于最終的應急決策,指導應急處置工程實施.整個過程匯集3位應急處置專家進行群決策,在0.5 h內,生成應急處置工程實施的技術路線,即技術方案.此外,本系統可在不同典型工況下生成大量應急處置技術預案.具體參見污水寶商城資料或http://m.dongaorq.cn更多相關技術文檔。
5 結論
目前,在環境污染應急處置的研究中,主要集中于相似歷史案例的篩選,近年來開始研究應急處置技術的篩選,然而,關于應急處置材料篩選的研究卻幾乎是空白.本文將應急處置的核心(應急處置技術篩選)向前延伸至相似歷史案例篩選,向后延伸至應急處置材料篩選,并將三者結合起來,綜合考慮整個應急處置過程,建立基于“相似歷史案例篩選→應急處置技術篩選→應急處置材料篩選”的“三步篩選法”框架.通過實例驗證該方法體系的科學性和可行性,得到了較為滿意的結果.在專家系統人工智能的指導下,最大可能地避免了決策者的主觀局限性,為水污染應急處置提高了效率和處置效果.該統一框架的建立將為響應者實施突發水污染應急處置工程提供強有力的決策支持,在方法學上可豐富響應階段的應急管理工具.


