反硝化除磷工藝處理低C/N比污水時較傳統脫氮除磷工藝具有較大的優勢,其解決了反硝化菌與聚磷菌競爭碳源的矛盾,并實現“一碳兩用”而節省碳源的目的,同時降低了剩余污泥產量. 然而如何有效實現“一碳兩用”,以實現更穩定、 更有效的去碳和反硝化除磷效果,尚值得進一步研究.
本課題組前期將ABR反應器和MBR反應器進行優化組合后開展了大量關于去碳和反硝化除磷的研究,并且獲得了較好效果. 有研究表明,連續流反硝化除磷工藝中,厭氧段釋磷與缺氧段吸磷均受硝化液回流比及污泥回流比影響,而恰當的硝化液回流比及污泥回流比對反硝化除磷工藝處理低C/N比污水突出“一碳兩用”優勢至關重要. 為此,本研究構建了ABR-MBR組合協同工藝,利用ABR在低耗并實現有效去碳的同時,提供反硝化除磷所需優質碳源,并以MBR硝化液提供電子受體以強化反硝化除磷作用,同時基于ABR反應器微生物相分離的特性,通過調控硝化液回流比及污泥回流比,以期實現高效反硝化除磷,為基于反硝化除磷特性的ABR-MBR組合工藝實際應用奠定基礎.
1 材料與方法
1.1 研究裝置與方案
本研究采用自行設計的ABR-MBR一體化反應器(見圖 1),由5隔室ABR反應器和好氧MBR反應器組成,ABR反應器和MBR反應器的有效容積之比為2∶1,總有效容積為12 L. 研究過程中,MBR內溶解氧(DO)控制為2~3 mg·L-1,反應器內溫度控制在(30±1)℃. MBR反應器間歇抽吸出水,抽吸周期為10 min(8 min抽吸出水和2 min反沖洗). 系統采用可編程邏輯控制器(PLC)對水位恒定、 出水泵和反沖洗泵的啟閉自動控制. 研究所用膜組件為PVDF簾式中空纖維膜,膜孔徑為0.2 μm,過濾面積為0.2 m2,采用真空壓力表測跨膜壓差(TMP)來反映膜的污染狀況,當TMP增至30 kPa時對膜組件進行化學清洗.

圖 1 ABR-MBR反應器
將MBR硝化液回流至ABR第3隔室,其回流比(R1)分別設置為100%、 200%、 300%和350%; 設置ABR第5隔室污泥回流至ABR第2隔室,其污泥回流比(R2)為100%. 本研究在對R1優化后,在最優R1條件下對R2進行優化,設置3個不同R2,分別為80%、 100%和120%. 研究期間ABR-MBR組合工藝總HRT為9 h,控制泥齡為15 d.
1.2 試驗污水與污泥
為減小水質波動對本研究的影響,試驗進水為模擬生活污水(生活污水∶人工配水為1∶1),表 1所示為進水水質,主要碳源和氮源分別采用淀粉和氯化銨,污水所含營養鹽及其濃度: H3BO3 30 mg·L-1、 ZnCl2 25 mg·L-1、 CaCl2 30 mg·L-1、 AlCl3 25 mg·L-1、 CuCl2 25 mg·L-1、 NiCl2 25 mg·L-1 和EDTA 40 mg·L-1; 微量元素: Na2SeO3·5H2O 25 mg·L-1、 K2HPO4·3H2O 25 mg·L-1、 FeCl2·6H2O 25 mg·L-1、 MgSO4·7H2O 30 mg·L-1、 CoC12·6H2O 25 mg·L-1、 MnSO4·H2O 25 mg·L-1和NaMoO4·2H2O 25 mg·L-1. ABR及MBR接種污泥均取自蘇州市某城市污水處理廠,研究開始前ABR各隔室MLSS約為22 000 mg·L-1,MBR池內MLSS約為4 000 mg·L-1.

1.3 分析方法
本研究中,各常規分析指標均按國家標準方法測定,COD采用快速消解法; 溶解性PO43--P采用鉬銻抗分光光度法; TN采用過硫酸鉀氧化-紫外分光光度法; NO3--N: 紫外分光光度法; NH4+-N采用納氏試劑分光光度法; NO2--N采用紫外分光光度法; MLSS采用烘干稱重法; VFA采用分光度法.
2 結果與討論
2.1 優化R1過程COD去除效能分析
ABR段HRT為6 h,ABR段有機負荷為2.0 kg·(m3·d)-1左右,在不同R1條件下,ABR-MBR組合工藝對COD去除效果如圖 2所示,進水穩定在500 mg·L-1左右,ABR出水穩定在80 mg·L-1以下,最終出水COD穩定在50 mg·L-1左右,去除率穩定在90%左右. 這表明有機物在ABR段得到充分利用. 本研究對COD的去除效果較文獻中A2/O-MBR工藝有明顯提高,這可能是由于本研究前期在ABR前端隔室馴化有成熟的厭氧顆粒污泥,從而進一步鞏固了COD的去除效果. 與傳統脫氮除磷工藝對COD去除途徑的不同之處在于,本研究中ABR第2隔室富集的反硝化除磷菌(DPB)充分利用經ABR第1隔室充分水解產生的優質碳源合成胞內多聚物(PHB)來實現COD的利用,PHB在缺氧段作為反硝化除磷菌的電子供體,實現一碳兩用. 在本研究中,前置ABR在改善碳源質量以供厭氧釋磷所需,又能夠有效降低厭氧出水COD濃度,利于后續MBR內進行充分的硝化反應.

圖 2 不同硝化液回流比下COD的去除情況
2.2 優化R1過程反硝化除磷效能分析
2.2.1 厭氧釋磷情況分析
厭氧段能否充分釋磷是決定反硝化除磷效果的關鍵因素之一. VFA是可供反硝化除磷菌利用的唯一碳源,其他有機碳源只有經過水解酸化為VFA才能被利用. 本研究在ABR第2隔室為DPB創造適宜條件,充分吸收經ABR第1隔室水解產生的優質碳源合成PHB并完成磷的釋放. 而R1過大會影響厭氧段釋磷量,為獲得不影響厭氧段釋磷的最優回流比,對不同R1條件下ABR第2隔室釋磷情況進行了研究.
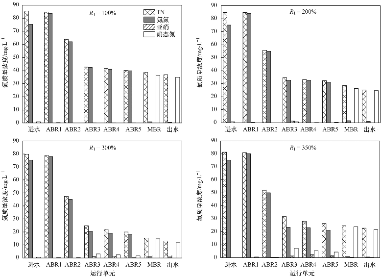
圖 3為不同R1下各隔室溶解性PO43--P變化情況,ABR第2隔室出水溶解性PO43--P濃度明顯升高,可見ABR第2隔室發生了厭氧釋磷. 在前期研究基礎之上,基于優質碳源提供,本研究中ABR段HRT為6 h,ABR第1隔室出水VFA濃度穩定在58 mg·L-1左右,ABR第1隔室改善碳源質量后供DPB釋磷所需. 由圖 4知當R1為100%和200%時,ABR第2隔室平均釋磷量分別為9.41 mg·L-1和9.83 mg·L-1,R1的增大未影響厭氧段釋磷過程. ABR第3隔室出水NOx--N濃度幾乎為0,從MBR池回流至ABR第3隔室的硝態氮在第3隔室基本消耗殆盡,在ABR第2隔室無反硝化菌與DPB競爭碳源. 但當R1為300%時,ABR平均出水NOx--N濃度為1.74 mg·L-1,ABR第2隔室平均釋磷量降為7.03 mg·L-1; 當R1增大為350%時,平均釋磷量降為3.18 mg·L-1,ABR平均出水NOx--N濃度達6.04 mg·L-1. ABR第2隔室釋磷量在R1為300%和350%時大幅減少,這是由于在此回流比下ABR第5隔室大量未利用完的NOx--N隨污泥回流至ABR第2隔室與DPB競爭VFA,且進入ABR第2隔室硝態氮量隨著R1增大而增大,而厭氧段存在NOx--N,反硝化菌會與DPB爭奪優質碳源,優先進行反硝化,使得ABR第2隔室可供DPB進行厭氧釋磷的VFA量減少; 另一方面,由表 2知在R1為100%、 200%、 300%和350%時,釋放1 mg磷需要VFA的量分別為5.88、 5.55、 7.14和20 mg,由于在R1為300%和350%時進入第2隔室的NOx--N優先利用VFA進行反硝化,使得R1為300%和350%時釋放1 mg磷需要VFA的量大幅升高. 唐旭光等[16]以SBR反應器研究實際生活污水發現每釋放1 mg磷需耗1.401 mg VFA,由于本研究中ABR第2隔室存在產甲烷菌、 反硝化菌等利用VFA進行產甲烷、 反硝化作用,使得本研究中此值明顯高于其他研究. 可見本研究中,R1設置為200%以下時,厭氧段釋磷才能有效進行.

圖 3 不同硝化液回流比下磷的去除情況

2.2.2 缺氧吸磷情況分析
連續流反硝化除磷工藝中,DPB在缺氧段利用厭氧段吸收VFA合成的PHB作為電子供體,以硝化段提供的NO3--N作為電子受體,進行同時反硝化吸磷反應. 在不影響厭氧釋磷情況下,缺氧段反硝化吸磷量的多少與缺氧段硝酸鹽負荷緊密相關.
本研究中,ABR第3隔室及其后續隔室利用MBR回流硝化液中NO3--N作為電子受體進行缺氧吸磷. 溶解性PO43--P濃度在ABR第2隔室達到最高值,在ABR第3隔室明顯減少,一方面是回流液稀釋作用,更主要的是在ABR第3隔室發生了缺氧吸磷. 由圖 4可見,在R1為100%、 200%、 300%和350%時,ABR第2隔室平均釋磷量依次為9.41、 9.83、 7.03和3.18 mg·L-1,ABR平均缺氧吸磷量依次為8.8、 13.9、 11.79和6.5 mg·L-1,ABR缺氧吸磷量隨R1的增加先增加而后減少.

圖 4 不同硝化液回流比下各隔室溶解性PO43--P的變化
在R1為100%時,ABR缺氧段吸磷量較小,平均出水溶解性PO43--P濃度為1.49 mg·L-1,反硝化除磷量僅占除總磷量的55%,此時ABR第3隔室出水NO3--N濃度幾乎為0,可見R1過小使ABR第3隔室無充足NO3--N供DPB利用,影響了對磷的去除. 在已完成充分釋磷的情況下,缺氧吸磷徹底程度取決于缺氧段NO3--N濃度. 當R1為200%時,ABR缺氧段吸磷量上升明顯,平均出水溶解性PO43--P濃度為0.5 mg·L-1,反硝化除磷量占總除磷量的85%. 當R1為300%時,ABR第2隔室釋磷量與ABR缺氧吸磷量均有所減少,ABR平均出水NO3--N濃度達1.54 mg·L-1,平均出水溶解性PO43--P濃度降至0.43 mg·L-1,反硝化除磷量達總除磷量的87%.
王曉蓮等認為當缺氧區出水NO3--N濃度控制在1~3 mg·L-1時反硝化除磷效果好; Kuba等認為適當增加NO3--N濃度有利于DPB的生長. 可見 MBR段為ABR第2隔室提供適量電子受體尤為重要. 在R1較低時,NO3--N不足會成為反硝化除磷的限制因素,此時進入ABR第3隔室NO3--N隨著R1增大而增多,反硝化除磷比例會隨之增大. 但當R1增至350%時,ABR平均缺氧段吸磷量反而減少至6.5 mg·L-1,平均出水溶解性PO43--P濃度為1.74 mg·L-1. 這是由于大量NO3--N隨污泥回流至ABR第2隔室,影響了厭氧釋磷,導致DPB未儲存足夠多的PHB在ABR第3隔室來完成過程吸磷,大部分的DPB無法形成較高的吸磷動力,從而影響DPB反硝化除磷能力. 本研究表明,R1設置為200%以上時,缺氧段才有足夠的電子受體完成反硝化除磷.
2.3 優化R1過程同步脫氮除磷效能分析
反硝化除磷工藝主要是通過DPB在缺氧段利用NOx--N作為電子受體進行缺氧吸磷來完成對TN的去除; 對磷去除主要是通過DPB缺氧段利用硝態氮氧化污泥體內PHB,并過量吸收溶解性PO43--P合成體內聚磷來實現.
圖 5為不同硝化液回流比下氮的轉化規律,進水TN主要以NH4+-N為主,在ABR第2隔室TN和NH4+-N濃度降低主要由稀釋作用,ABR第3隔室及后續隔室利用回流硝化液中NO3--N作為電子受體進行反硝化除磷,脫氮效率由反硝化除磷情況決定. 在R1分別為100%、 200%、 300%和350%時,平均NH4+-N去除率穩定在95%以上,平均出水TN濃度分別為36.82、 25.06、 12.98和22.82 mg·L-1; 去除率分別為57%、 70%、 84%和71%,R1從100%增至300%過程中,TN去除率呈升高趨勢. 可見R1較低時,硝酸鹽成為反硝化的限制因子. 但R1增至350%時,TN去除率卻降至71%,由于回流到缺氧段的硝酸鹽負荷近于飽和,而缺氧段可利用的有機碳源有限,因此,碳源不足成為影響反硝化效果的主要原因,造成硝酸鹽的“穿透現象”,從而導致反硝化除磷對脫氮貢獻較小,影響了本研究中TN的去除.

圖 5 不同硝化液回流比下氮的轉化規律
本研究中獲得工藝最佳同步反硝化除磷效果時的R1為300%,此時平均出水NH4+-N、 TN和溶解性PO43--P分別穩定在0.73、 12.98和0.43 mg·L-1. R1過低使ABR第3隔室中NO3--N負荷過低,即無充足電子受體供DPB利用,從而影響除磷效果; 另一方面,大部分NO3--N未經缺氧區反硝化除磷環節直接隨出水流出,這種“未脫先離”的現象致使TN去除率不高. 而R1過大使ABR第3隔室及后續隔室NO3--N過剩,反硝化菌會大量消耗ABR第二隔室的VFA,導致釋磷不充分,從而影響工藝的反硝化除磷效果; 另一方面,硝化液攜帶的DO隨R1增大而增多,破壞了缺氧環境,反硝化能力被削弱,致使TN去除率不高.
2.4 優化R2過程去碳脫氮除磷效能分析
在最優R1為300%下,設定3個不同R2: 80%、 100%和120%,圖 6為不同R2下各污染物的去除情況,出水COD濃度穩定在50 mg·L-1左右,R2變化未影響本工藝對COD的去除. 在R2為80%、 100%和120%時,出水TN分別為13.46、 12.98和11.68 mg·L-1,隨著R2的增大,出水TN濃度呈下降趨勢. 隨著R2的增大,更多NO3--N在ABR第2隔室進行反硝化,故在R1保持不變時,出水TN濃度隨R2增大而減小. 污泥回流是導致厭氧段反硝化菌與DPB產生碳源競爭矛盾的主要原因,R2的大小直接影響ABR第2隔室中釋磷量從而影響反硝化除磷效果. 當增大R2至120%時,ABR出水溶解性PO43--P濃度升高至0.74 mg·L-1,這可能是由于隨R2增大,更多的NO3--N回流至ABR第2隔室優先進行反硝化,使DPB內儲存的內碳源的量較少,導致缺氧吸磷減弱,從而造成除磷效果下降. 較大的R2必然會對除磷造成負面影響,在保證TN有效去除的前提下,無需維持較大的R2. 因此,本研究中R2為100%時獲得最佳反硝化除磷效果.具體參見污水寶商城資料或http://m.dongaorq.cn更多相關技術文檔。

圖 6 不同污泥回流比下COD、 TN和溶解性PO43--P去除情況
3 結論
(1) 本研究構建的ABR-MBR一體化反應器,基于ABR優質供碳與MBR硝化液回流比相耦合,實現了穩定有效的反硝化除磷效果. 該工藝在優化的硝化液回流比和污泥回流比條件下,可實現對生活污水COD、 NH4+-N的穩定有效去除,系統出水COD和NH4+-N濃度分別在50 mg·L-1和1 mg·L-1以下.
(2) 在污泥回流比為100%,硝化液回流比從100%增大至350%時,ABR第2隔室釋放1 mg磷需要VFA的量分別為5.88、 5.55、 7.14和20 mg,ABR為厭氧釋磷提供了足夠的優質碳源.
(3) 在污泥回流比為100%,硝化液回流比從100%增大至350%時,ABR缺氧吸磷量隨硝化液回流比的增大先增加后減少,平均缺氧吸磷量依次為8.8、 13.9、 11.79和6.5 mg·L-1,平均出水溶解性PO43--P濃度分別為1.49、 0.5、 0.43和1.74 mg·L-1.
(4) 在ABR段有機負荷為2.0 kg·(m3·d)-1、 系統的HRT為9 h、 SRT為15 d,硝化液回流比和污泥回流比分別為300%和100%時,ABR-MBR組合工藝獲得工藝最佳反硝化除磷效果,TN和溶解性PO43--P平均去除率分別達84%和94%,反硝化除磷量達磷總去除量的87%,平均出水TN和溶解性PO43--P濃度分別為12.98 mg·L-1和0.43 mg·L-1.


