1 引言
水質達標評價(Water Quality Compliance Assessment)是根據一定時段內的水質監測數據,評價水體狀態是否符合其功能對應的水質標準的決策過程,是流域水污染防治和水質管理的重要科學依據.區別于水質評價研究中對水質綜合指標、時間序列趨勢、季節性特征等的關注,水質達標評價的關注點是水質是否達標,并可以由此評估已有的流域治理措施效果、制定新的治理規劃(如TMDL).在流域水污染防治資金緊缺的條件下,準確識別水體是否達標至關重要:如果評價方法過于保守,會導致水生態系統健康受損;若評價方法過于嚴格,會導致水體過于保護,水體自凈能力無法得到有效利用及高的治理資金投入.科學合理的水質達標評價方法是進行水質達標評價的基礎.我國地表水環境質量評價采用單因子評價方法,對斷面時空監測數據求算術平均值判斷其水質類別,根據斷面水質類別比例對流域水質進行分級.美國清潔水法303(d)條款規定對受損水體實施TMDL計劃,EPA導則推薦使用監測數據的90%分位數評價水體是否受損,即監測數據的超標個數不能超過10%.在歐盟,采用每年12個月監測數據的算術平均值作為評價依據,少數成員國將監測數據的變異性考慮在內,給出統計置信區間.
水質指標監測值存在不確定性已經被廣泛地認識和研究.我國水質達標評價方法未考慮水質指標的不確定性,美國和歐盟已經將不確定性納入到水質達標評價中.水質指標的不確定性包括固有的變異性(如監測數據的季節性差異)和可減小的不確定性(如測量誤差)2部分.通過合理選擇監測斷面、監測指標以及質量保證和質量控制(QA/QC)可以減小不確定性,卻不能完全消除.忽視不確定性可能會帶來巨大的決策風險,科學合理的水質達標評價方法必須能夠表征監測數據的不確定性,將由水質指標不確定性帶來的決策風險定量化,為決策提供有用信息.
在統計學視角下,將水質指標視為隨機變量,可有效地表征不確定性.水質指標具有時空分異性,在同一時間獲得空間所有點位的監測數據或者在同一點位進行連續的監測是不可能的,只能通過有限的監測數據對水質進行評價,即根據樣本數據估計總體特征.統計學假設檢驗方法已經廣泛應用于環境系統中,假設檢驗的2類錯誤可以定量表征水質指標的不確定性帶來的決策風險.針對美國EPA提出的最大超標率為10%,Smith等和McBride等認為10%應該指10%的時間,即總體分布的90%分位數,并采用二項分布檢驗法(Binomial Test)進行了水質達標評價.該方法是一種針對二元數據的非參數方法,通過假設檢驗給出在一定允許超標率和樣本容量時的最大超標個數,并與實際監測得到的超標個數對比,評價水質是否超標.盡管研究者指出二項分布檢驗法存在信息損失的問題,并提出了參數檢驗方法,然而McBride的研究表明,在大部分情況下,二項分布檢驗法由于不受限于原始數據的分布而更具有魯棒性.本文以基于二項分布檢驗法的水質達標評價方法為基礎,分析其決策過程及決策風險的定量表征,并以海河流域為例,對比不同評價方法的差異性,分析其適用性和靈活性.
2 研究方法
2.1 基于二項分布檢驗法的水質達標評價方法
在二項分布檢驗法之前,需將監測數據轉化為0~1變量,方法為:對于某一特定監測數據x,將其與水質標準θ對比,對比后的結果記為y,如果x>θ,即超過水質標準,記y=1;如果x≤θ,記y=0.令p(0
θ的概率,則y服從成功概率為p的0~1分布,其分布律為:

假設收集到的N個監測數據用于評價水質是否達標,記隨機變量X=x1,x2,...,xN,將X中的每個元素轉化為0~1變量,便得到隨機變量Y=y1,y2,...,yN,則Y服從參數為(N,p)的二項分布,記為Y~B(N,p).令n為Y成功的總次數,即為N個樣品中超標總個數,其分布律為:
二項分布的分布律表征了水質變量轉化為二元數據后超標總個數不確定性.欲檢驗總體分布的90%分位數是否達標,即超標率是否小于10%,可令原假設為水質達標,即H0:p≤0.1,備擇假設為H1:p>0.1.原假設為真時,可得p=0.1時超標個數n的分布函數F;實際監測數據中超標個數nc不應太大,在給定的顯著性水平α下,應有F(nc)=P(n≤nc)≤1-α;否則拒絕原假設,判定為水質超標.
2.2 棄真錯誤和取偽錯誤
在經典統計學的假設檢驗過程中,不可避免地要討論2類錯誤:棄真錯誤和取偽錯誤.在水質達標評價中,這2類錯誤是由于水質變量的不確定性導致的.棄真錯誤為當原假設為真時,放棄原假設而犯的錯誤(falsely inferring a breach of standard),棄真錯誤的概率記為α;取偽錯誤為當原假設為假時,相信原假設而犯的錯誤(falsely inferring compliance),棄偽錯誤的概率記為β.對于二項分布,$\alpha =P\left( n>{{n}_{s}} \right)=\sum\limits_{j={{n}_{s}}+1}^{N}{C_{N}^{j}{{P}^{j}}}{{\left( 1-P \right)}^{N-j}}$.計算β時,需要給定效應值η(備擇假設和原假設之間的差距),二項分布檢驗法一般取η=0.15,即p′=p+η=0.25來計算β,計算公式為β=G-1(ns),其中G(n)=$\sum\limits_{k=1}^{N}{C_{N}^{k}{{P}^{'k}}}{{\left( 1-P' \right)}^{N-k}}$,為成功概率為p′的二項分布的分布函數,G-1(n)為G(n)的反函數.
按照上述α和β的計算公式,可以得到N一定時,以不同的ns(0≤ns≤N)作為決策準則(即nc>ns判定為超標,nc≤ns判定為達標)時,α和β的變化情況.由圖 1可知N一定時,對于特定的ns存在唯一的(α,β)組合;α隨ns減小,β隨ns增加.圖中豎直虛線假設變量服從對稱分布,算術平均值等于50%分位數,則平均值法等價于最大允許超標率為50%.圖中豎直實線代表采用10%超標樣品數目(以下稱為“超標比例法”)得到的ns,當N=12時,ns=1,α=0.341;當N=50時,ns=5,α=0.384.可見對于相同樣本容量,平均值法棄偽錯誤的概率很大,超標比例法棄真錯誤的概率較大,而二項分布檢驗法則可根據決策者需要選擇不同的(α,β)組合.相對于選擇特定的顯著性水平值做決策,(α,β)組合能量化決策準則的風險,為決策者提供更大的決策空間.α和β隨N增加均有減小的總體趨勢,參見Smith等.

圖 1N=12(a)和50(b)時2類錯誤概率隨最大允許超標個數的變化
2.3 決策過程
基于二項分布檢驗法的水質達標評價的決策過程包括2個環節:首先確定ns,然后根據監測樣品的超標個數nc判斷水質是否達標.一般而言,決策過程應該使得α和β最小.在N一定時,由于α、β隨ns單調性相反(圖 1),對于特定的ns不能同時使α和β最小.作為決策者,在選擇ns時:一方面,需要根據風險偏好和科學判斷,選擇最大允許超標率p;另一方面,需要權衡各相關方的利益,如:作為受體人群和生態系統的及作為治理投資者的政府或企業.在同等條件下,ns隨著p的增大而不嚴格單調遞增;在p和N一定時,根據決策者的利益權衡,可以得到不同的ns.
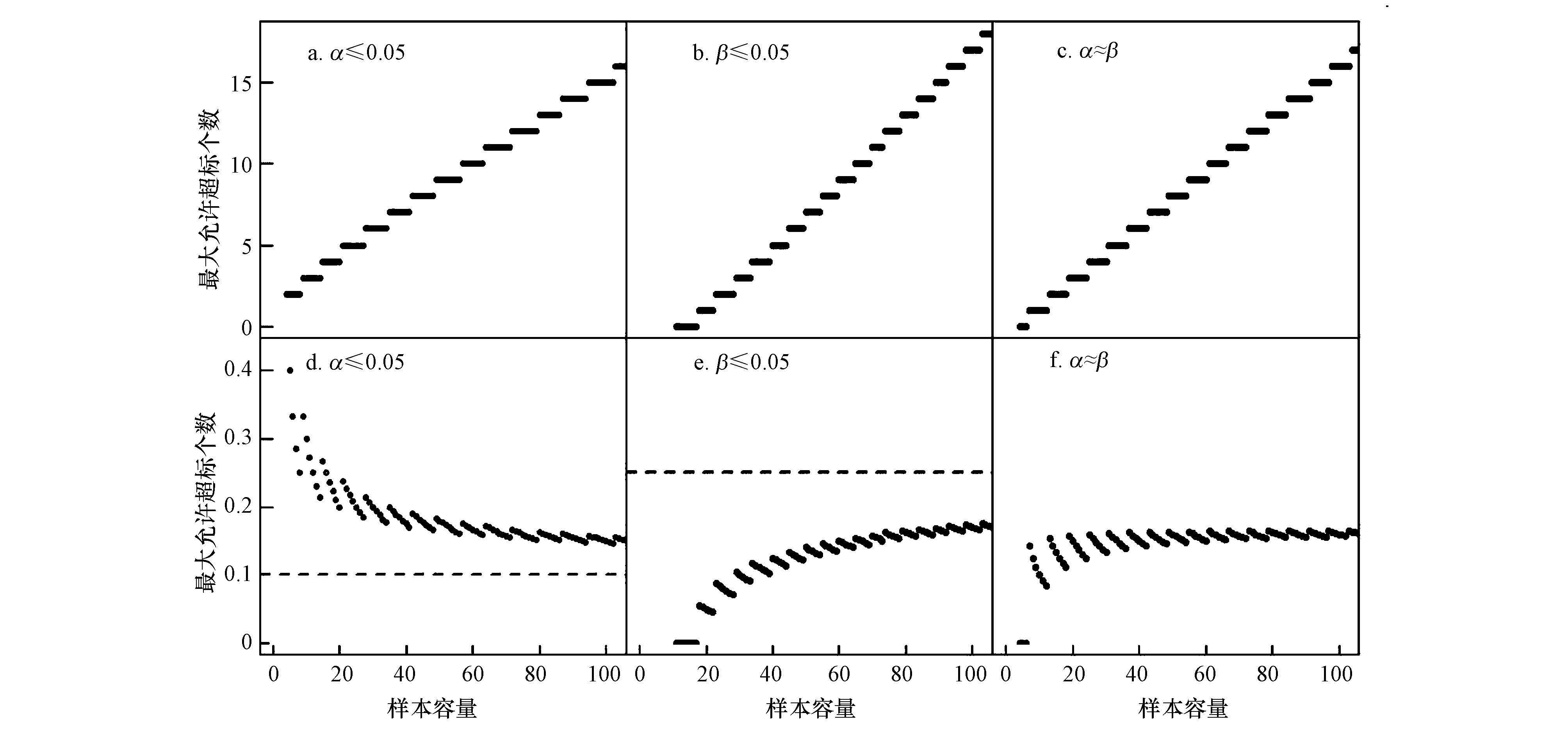
下面介紹3種典型的(α,β)組合選擇策略:①保證α在一定的低水平,例如α≤0.05,使得β最小;②保證β在一定的低水平,例如β≤0.05,使得α最小;③控制α≈β,即minα-β.圖 2給出了當p=0.1,N為4~100時,這3種策略得到的最大允許超標個數ns和最大允許超標率η=nsN(散點圖,連續線為點過于密集的結果).可見當N較小時,控制α≤0.05得到的ns最大,控制β≤0.05得到的ns最小,且當N≤10時,無論如何選擇ns均不能使β≤0.05;隨著N變大,控制α≤0.05得到的ns最小,控制β≤0.05得到的ns最大;策略③的結果介于①和②之間.總體上,控制α≤0.05得到的η呈遞減趨勢,由于假設檢驗是p=0.1時二項分布的95%分位數,因此η恒大于0.1(圖 2d虛線);控制β≤0.05得到的η呈遞增趨勢,由于假設檢驗是p=0.25時二項分布的5%分位數,因此η恒小于0.25(圖 2e虛線).綜上,基于二項分布檢驗法的水質達標評價決策過程可表示為圖 3.決策者可以根據風險偏好和利益權衡,選擇p值和(α,β)組合,進而確定N一定時的ns,結合水質監測數據中的實際超標個數nc,對水體的達標狀況進行判斷;通過p和(α,β)可將決策的各種風險定量化.
圖 2(Fig. 2)

圖 2最大允許超標個數和最大允許超標率隨樣本容量的變化

圖 3基于二項分布檢驗法的水質達標評價決策過程
3 案例研究(Case study)3.1 研究對象和方法
選擇海河流域的CODMn作為達標評價的對象,數據來源為環保部網站,收集2014年7月22日-2015年7月14日的周監測數據,共有北京密云古北口(51)、北京門頭溝沿河城(51)、天津三岔口(51)、天津果河橋(51)、河北張家口八號橋(45)、河北石家莊崗南水庫(51)、山東聊城秤鉤灣(42)等7個監測斷面,括號中為不同監測斷面的有效監測樣品數.
當N=42、45、51時,采用平均值法、二項分布檢驗法的3種策略、超標比例法確定α、β、ns(對于平均值法,求各個樣本中大于平均值的樣品個數,作為平均值法的ns),對比監測數據與地表水環境質量標準中各水質類別的濃度限值θi(i=1,2,...,5),得到超過θi的樣品個數nci,水質類別判定遵循如下過程:當i=1時,若nc1≤ns則水質類別判定為I類;當i=5時,若nc5>ns則判定為劣V類;若nci≤ns 3.2 水質評價結果 各種方法對應的α、β、ns結果見表 1,各種方法的嚴格程度為:超標比例法>B(2)>B(3)>B(1)>平均值法(“a>b”表示a嚴格于b,B(i)表示二項分布檢驗法的第i種策略);采用平均值法β接近于1,超標比例法得到的α很大(>0.4),二項分布檢驗法的3種策略得到的2類錯誤之和小于0.3,平均在0.2左右,且均處于相對較低水平.水質評價結果見表 2,在7個斷面中,石家莊崗南水庫水質最好,聊城秤鉤灣水質最差;石家莊崗南水庫和門頭溝沿河城2個斷面采用各種方法的評價結果相同,另外5個斷面有差異.根據斷面的水質類別得到的流域分級結果也有差異.斷面水質類別的評價結果,除了與評價方法的嚴格程度有關,也與水質監測數據有關.采用相對嚴格方法評價達標的斷面,在不嚴格方法下自然達標;采用相對不嚴格方法評價達標的斷面,在嚴格的方法下不一定達標,例如密云古北口采用平均值法評價為I類水質,而采用其它方法評價時卻為II類水質.總體上看,評價結果符合嚴格方法得到的水質類別較低的規律. 表 1 3種樣本容量對應的各種評價方法的2類錯誤概率和最大允許超標個數 表 2 海河流域CODMn達標評價結果 綜合表 1和表 2,對于二項分布檢驗法的3種方法,控制β≤0.05有利于保護受體的利益,對水體水質要求嚴格,流域分級為“輕度污染”;控制α≤0.05有利于減少治理投資,對流域分級為“良好”;二項檢驗的3種策略的評價結果對比,說明在采用二項分布檢驗法進行水質達標評價時,即使對于完全相同的水質監測數據,決策時傾向于不同利益群體,可能得出不同的水質達標評價結果.二項分布檢驗法為水質達標評價的決策提供了較為廣闊的決策空間. 案例研究中,取最大超標率p=0.1,采用二項分布檢驗法的3種典型策略進行水質達標評價;在實踐中,決策過程有更大的靈活性:對于p,決策者可以根據風險偏好選擇不同值.對于策略①和②,決策可設定不同的錯誤概率限值,例如令α≤0.1使得β最小,再比如,可同時限定α,β的最大值,例如令α≤0.2同時β≤0.1,即可得到多組(α,β)組合;對于策略③,可根據需要設定限制條件,例如出于保護受體的目的令α<β,或者給定最大可接受的差值δ,令α-β≤δ,亦可得到不同的(α,β)組合.對得到的多組(α,β)組合,決策者可結合其它約束條件進行優選確定最終的ns. 4 討論 4.1 先驗知識與假設檢驗 研究中采用的原假設是水質達標,α代表水質達標而判定為不達標的概率,β代表水質未達標而判定為達標的概率,二項分布檢驗法的策略①實質上是求成功概率為p的二項分布的95%分位數;Gibbons指出如果有很強的先驗知識認為水體超標,則假設檢驗的原假設應為水質未達標,此時α和β的含義互換,而二項分布檢驗法的策略①變為求成功概率為p的二項分布的5%分位數.由計算可得,當先驗知識認為水質超標時,得到的ns較小.如當效應值為0.15,樣本容量N=50,最大超標率p=0.25時,按策略①,原假設為水質達標時ns=18,原假設為水質超標時ns=7,則對于超標個數在8~18的樣本按照2種原假設得到的評價結果不同,例如當nc=10時,若原假設為水質達標,則判定為達標,若原假設為水質超標,則判定為超標.可見,水質現狀的先驗知識對評價結果具有顯著影響,在先驗知識充足時,水質達標評價具有“寬進嚴出”的規律,即將先驗認為達標的水體列為不達標狀態時對超標個數的要求較為保守,而將先驗認為未達標水體列為達標狀態時對超標個數的要求較為嚴格.β值與效應值的選取有關,本文參照文獻做法取效應值為0.15,即備擇假設的p=0.25.在同等條件下,盡管根據不同效應值可以得到不同的β,但是其隨N和ns的變化規律一致.假設檢驗的效果隨樣本容量的增加而增大,對海河流域的研究顯示,采用二項分布檢驗法可以控制各個斷面的總錯誤概率平均值在0.2左右,評價結果具有很高的可信度. 4.2 最大允許超標概率的選擇 對于研究中最大超標率設定的目的,研究者給出了不同的解釋:Smith等、McBride等認為水質變量不確定性造成的某次監測數據超標是難以避免的,因此對全部水質監測數據給出一個可以接受的超標率(10%)是合理的;此時10%可理解為“容忍度”.Gibbons則認為對90%分位數進行假設檢驗是為了保證總體的均值小于標準值;此時,樣本均值與90%分位數之間的差異可理解為“安全因子”.Smith等針對的是一類分位數標準(percentile-based standards),而Gibbons針對的則是平均值標準,平均值代表流域水質變量波動性的平均水平,與室內實驗或野外試驗的穩定濃度相對應.本文建議,在使用二項分布檢驗法進行水質達標評價時,需要首先區分評價變量的標準類型,如果是分位數標準,則根據要求選擇較小的p值(例如0.1)是合理的;如果是平均值標準,過大的安全因子會導致水質目標難以實現,需要選擇較大的p值(例如0.25). 結合4.1和4.2小節,最大允許超標概率和假設檢驗的2類錯誤率均是由于水質監測數據的不確定性導致的.最大允許超標概率體現了由于監測數據波動性,而對其采用的“容忍度”或者“安全因子”,決策者對最大允許超標概率的選擇體現了風險偏好;假設檢驗的2類錯誤體現了由于水質變量的不確定性,使用樣本估計總體特征的可信程度,決策者對2類錯誤的選擇體現了對不同群體的利益權衡.通過這3個參數,基于二項分布檢驗法的水質達標評價方法將水質監測數據的不確定性對決策過程的影響定量化,對決策的各種風險進行了定量表征,使得決策更具科學性.具體參見污水寶商城資料或http://m.dongaorq.cn更多相關技術文檔。 5 結論 1) 水質變量存在不確定性,平均值法忽視了水質變量的不確定性,會造成很大的取偽錯誤概率,而超標比例法會導致很大的棄真錯誤概率;基于二項分布檢驗法的水質達標評價方法可以將由水質變量的不確定性導致的決策風險定量化,為決策者提供科學依據. 2) 本文在基于二項檢驗的水質達標評價方法的基礎上,納入決策者的風險偏好和對利益的權衡,提出了水質達標評價的決策框架.二項分布檢驗法對原始數據的分布沒有要求,是一種方便快捷的非參數方法.本文提出的決策框架,可為決策者提供較大的決策空間,決策者可以根據風險偏好和利益權衡選擇或限制最大超標率、效應值、棄真錯誤概率和取偽錯誤概率組合,確定最大允許超標個數,進行水質達標評價. 3) 對海河流域的水質評價結果表明,采用基于二項分布檢驗法的水質達標評價方法,相對于平均值法和超標比例法,其評價結果具有很高的可信度,不同的利益權衡會得到不同的評價結果,驗證了二項分布檢驗法的適用性和靈活性.



