同步硝化反硝化脫氮因具有工藝簡單,基建費用低,堿度消耗較少等優點,越來越受到人們的青睞,但該工藝存在微環境調控困難,對進水碳源要求較高的弊端. 在實際運行中,廢水的C/N比差異較大,在單一反應器同步生物脫氮工藝中,C/N比過高會增加異養好氧菌的活性及其對水中DO的競爭,抑制硝化細菌活性,影響硝化效果,甚至引起污泥膨脹. 過低的C/N比又會導致反硝化不完全,脫氮效果受到限制. 頻繁調整C/N比會增加運行費用和操作難度. 如何增大反應器的C/N比適用范圍,在不調整碳源的條件下,實現低C/N比廢水高效脫氮和高C/N比廢水穩定脫氮,是目前同步脫氮在應用中面臨的難題. BAC以活性炭作生物載體,利用活性炭的多孔結構創造不同的溶解氧條件,為生物多樣性提供可能. 本研究擬采用BAC填料反應器處理不同C/N比廢水,與SBR反應器運行效果比較,考察BAC對廢水同步脫氮效果的影響,以期為推動廢水同步脫氮的應用提供理論支撐.
1 材料與方法
1.1 實驗材料
實驗采用人工配制廢水,向自來水中加入NH4Cl,配制進水NH4+-N質量濃度為100~120 mg·L-1,添加KH2PO4補充微生物生長必須的P元素,用NaHCO3調節pH至8.0±0.1,以甲醇做外加碳源,通過調整碳源加入量分別配制進水C/N比為3、 5、 8和10.
實驗所用污泥經馴化后對COD和NH4+-N的去除率均達到90%以上. BAC培養階段活性污泥由懸浮狀態逐漸與活性炭接觸附著生長,經過20 d左右BAC填料反應器對NH4+-N和COD的去除率趨于穩定,均達到90%以上,BAC培養完成. 初始污泥MLSS為3 367 mg·L-1,SV30為20%. 使用柱狀活性炭(granular activated carbon,GAC),碳粒直徑4 mm,堆積密度600 g·L-1.
1.2 實驗裝置及運行工藝
實驗在室溫條件(4月1日~7月6日)(15~27℃)下運行,兩反應器分別編號SBR反應器和BAC反應器,活性污泥投加量均為1 L,BAC反應器另投加活性炭300 g,兩反應器同步運行,操作條件相同.
反應器用有機玻璃制作,見圖 1. 兩個反應器外形和體積完全相同,高50 cm,內徑9 cm,有效容積3L. BAC反應器下部安裝孔徑1 mm,間距3 mm的圓形篩板用來承托活性炭. 兩反應器均通過安裝在底部的曝氣裝置進行曝氣,以空氣流量計控制曝氣量為0.009 m3·(L·h)-1,各反應器初始平均DO質量濃度為2~3 mg·L-1,并在底部設排水口. 實驗采取序批式運行方式,單周期12 h,進水0.25 h,曝氣8 h,沉淀0.5 h,排水0.25 h,閑置3 h.

圖 1 BAC填料反應器裝置示意
1.3 分析方法
NH4+-N采用納氏試劑分光光度法; NO2--N采用N-(1-萘基)-乙二胺分光光度法; NO3--N采用麝香草酚分光光度法; COD采用快速消解法; pH由pH-2603酸度計測定; MLSS按國家環境保護局發布的標準方法測定.
反應器內DO由JPB-607A溶解氧儀測定,在單周期運行開始前,將DO測定儀探頭分別埋入各個監測點,讀取同一時間不同監測點的DO質量濃度.
有機物脫氮容量按照以下公式計算:

上式中,有機物脫氮容量為反應器中消耗單位量有機物能夠去除氮素的量(N/COD),mg·mg-1; 氮的去除量為TN去除量,mg; 有機物消耗量為COD表示的有機物去除量,mg.
2 結果與討論
2.1 BAC對不同C/N比廢水脫氮效果的影響
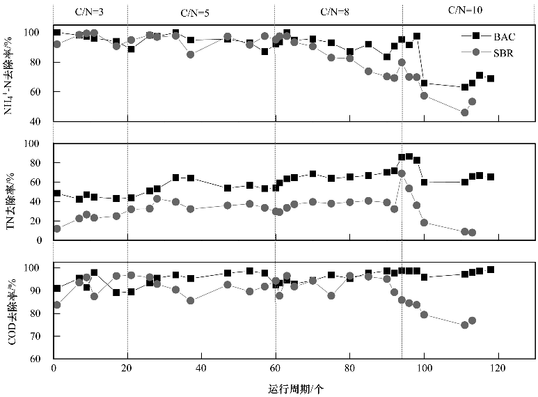
為探究BAC對不同進水C/N比廢水同步脫氮帶來的影響,設計進水C/N比分別為3、 5、 8和10這4個階段的實驗,每天兩個周期,連續運行120個周期,COD、 TN和NH4+-N去除效果如圖 2所示.

圖 2 不同進水C/N條件下各反應器污染物去除效果
2.1.1 BAC對低C/N比廢水脫氮效果的影響
由圖 2可知,當進水C/N比為3時(第1~20周期),BAC反應器TN平均去除率達44.88%,NH4+-N和COD平均去除率分別保持在96.17%和92.88%; SBR反應器TN平均去除率為23.50%,NH4+-N和COD平均去除率分別為95.81%和92.27%. 增加進水C/N比為5時(第21~60周期),BAC反應器TN平均去除率達58.07%,NH4+-N和COD平均去除率分別保持在93.70%和95.98%; SBR反應器TN平均去除率為34.80%,NH4+-N和COD平均去除率分別為95.18%和91.17%. 可以看出,C/N比為3和5時,兩反應器NH4+-N和COD去除率基本相同,但是,BAC反應器TN去除效果較SBR反應器有明顯提高. 為了分析這一現象產生的原因,監測了C/N比為5且運行穩定時BAC反應器和SBR反應器單周期內有機物和氮素的轉化過程,如圖 3所示.


圖 3 SBR和BAC反應器單周期COD及氮素隨時間變化曲線
由圖 3可知,進水NH4+-N質量濃度為115.61 mg·L-1,TN質量濃度為121.29 mg·L-1. 經過1h曝氣后,SBR和BAC反應器NH4+-N質量濃度分別降至56.22 mg·L-1和39.71 mg·L-1,TN質量濃度分別降至85.28 mg·L-1和46.73 mg·L-1. BAC反應器內NH4+-N和TN的含量明顯低于SBR反應器. 分析原因,BAC反應器內活性炭的微孔結構創造了缺氧環境,且活性炭對進水有機物具有吸附作用,這兩點抑制了BAC反應器內異養好氧菌的生長繁殖及其活性,減少了其對DO的競爭,同時,BAC填料促使氣水接觸更加充分,因此BAC反應器氨氧化更加徹底; 反硝化過程中,反硝化菌利用BAC吸附的碳源和氧化生成的NO2--N和NO3--N在缺氧區反應完成脫氮. 而在SBR反應器中,由于DO在污泥絮體中的擴散較BAC容易,所以反應器處在較高的DO條件下,好氧異養菌占據優勢地位,在消耗有機物的同時還與硝化菌爭奪氧,致使SBR反應器硝化和反硝化反應均受到抑制. 因此曝氣初期BAC反應器脫氮效果優于SBR. 從反應的第2 h開始至反應結束,SBR內TN質量濃度基本保持不變,BAC反應器TN質量濃度由44.52 mg·L-1緩慢降至41.15 mg·L-1. 反應結束時SBR和BAC反應器出水NH4+-N質量濃度均非常低,去除率分別為99.89%和99.22%,TN去除率分別為19.61%和52.95%,說明兩反應器均硝化完全,但由于SBR反應器缺乏有機碳源導致反硝化受阻,而BAC反應器中反硝化反應進行得較為順利,推測原因是活性炭對有機物的吸附解吸為反硝化提供了部分碳源. 綜上,BAC的加入提高了低C/N比條件下的脫氮效果.
2.1.2 BAC對高C/N比廢水脫氮效果的影響
同步脫氮過程中,通常在一定范圍內C/N比越高脫氮效果越顯著,但是碳源加入量過多不僅會對TN的去除產生不利影響,而且在可溶解性有機物含量較高的情況下還容易發生污泥膨脹.
如圖 2,當進水C/N比繼續提升至8時(第61~94周期),BAC反應器TN平均去除率達66.90%,NH4+-N和COD平均去除率分別保持在89.27%和95.86%; SBR反應器TN平均去除率為37.45%,NH4+-N和COD平均去除率分別為82.56%和93.41%. 此階段,BAC反應器TN去除效果顯著高于SBR反應器,NH4+-N去除效果也略高于SBR反應器,而COD去除率基本與SBR反應器持平. 分析原因,隨著碳源的增加SBR反應器中好氧異養菌活性增大并占據優勢地位,消耗了大量的有機碳,并與硝化菌爭奪氧,抑制了脫氮的順利進行; BAC反應器中活性炭內部的空隙結構阻礙了氧的傳遞,抑制了好氧異養菌的生長繁殖,對硝化系統起到了保護作用. 繼續提升進水C/N比至10時(第95~120周期),BAC反應器TN平均去除率呈現先升高后降低的趨勢,并逐漸穩定在63.65%,NH4+-N去除率降低至67%左右,COD去除率仍保持在95.86%. 而SBR反應器在進水C/N比增加的第3個周期時便出現了嚴重的污泥膨脹,SV30由20%增至80%,出水水質變差,NH4+-N、 TN和COD去除率均出現明顯下降. 這與已報道的,污水中懸浮固體少,溶解性和易降解的有機物組分較多時容易發生非絲狀菌性污泥膨脹的研究結果相符. 引起這一現象的原因是過高的污泥負荷使細菌攝取了大量營養物,高粘性多糖類物質大量積累,污泥中結合水異常增多,從而引起污泥膨脹. 取消進水碳源運行數天后SBR反應器脫氮能力逐漸恢復,污泥膨脹得到解決. 而BAC反應器中活性炭對有機物的吸附減少了細菌對營養物質的攝取,另外活性炭的加入避免了微生物的粘黏,因此BAC反應器在高C/N比高DO條件下仍可以保持脫氮的穩定運行.
2.2 廢水脫氮過程中BAC作用分析
綜上,BAC反應器不僅在低C/N條件下(C/N=3、 C/N=5)可以實現較好的脫氮效果,而且,在高C/N比條件下(C/N=8、 C/N=10)BAC反應器還能有效避免碳源過多引起的污泥膨脹,實現了脫氮的穩定運行. 前面的分析認為,BAC的加入對同步脫氮的影響主要有兩個方面: ①BAC為微生物提供了多樣的DO環境; ②BAC對進水中有機物的吸附/解吸作用為脫氮提供了穩定的碳源條件. 為了驗證以上推論,開展了以下實驗研究.
2.2.1 BAC反應器DO分布測定
為了驗證分析①,測定了C/N比為5時兩反應器單周期內DO分布情況,見圖 4. 經測定,BAC反應器上部水體中平均DO為3.64 mg·L-1,活性炭填料層與水體接觸面平均DO為2.57 mg·L-1,活性炭填料層內部平均DO為0.68 mg·L-1; SBR由于混合均勻,因此選取SBR反應器中部為監測點,結果顯示該監測點平均DO質量濃度為3.74 mg·L-1. 與BAC反應器上部水體中(圖 4中曲線a)DO質量濃度基本相同. 其原因是: BAC反應器中活性炭的堆積,共生微生物的附著,以及活性炭豐富的微孔結構,使DO由水體擴散至活性炭填料層內時形成氧質量濃度梯度,為硝化和反硝化的實現提供了各自所需要的場所; 而SBR反應器中DO在活性污泥混合液中擴散較容易,張可方等研究表明反應器內部DO環境整體處于較高的水平,缺氧環境受限,反硝化受到抑制.


圖 4 BAC反應器和SBR內DO分布
由此說明,活性炭的加入在同一反應器中創造了不同的DO環境,為同步硝化反硝化脫氮提供了更加適宜的條件.
2.2.2 BAC吸附/解吸有機物
為了驗證分析②,設計以下實驗: 實驗結束后(120周期),從BAC反應器中取出100 g活性炭,加入1 L自來水中,加以攪拌,間隔取樣,測定水體中COD的質量濃度,確定BAC反應器中有機物是否發生了解吸,監測結果如圖 5所示. 從中可知,在進水無外加碳源的情況下,隨著攪拌的進行,水中COD質量濃度緩慢上升后達到平衡,平衡時水中COD質量濃度達127.56 mg·L-1. 由此說明BAC對水中有機物存在吸附作用,且吸附的有機物在水中碳源缺乏的情況下會得到解吸.

圖 5 BAC有機物解吸
由以上實驗結果,BAC在同步脫氮的過程中,不僅為硝化菌、 反硝化菌提供了好氧、 缺氧環境,而且其對碳源的吸附/解吸作用保證了反應器的脫氮效果. 低C/N比條件下,BAC吸附的有機物得到解吸,有利于反硝化的進行,為同步脫氮提供了保障; 當進水C/N比過高時,BAC對有機碳源的吸附減輕了微生物的有機負荷,保證了系統的穩定運行.
2.3 有機物脫氮容量比較
有機物脫氮容量指生物脫氮反應結束時,氮的去除量與反應器中有機物的消耗量之比. 碳源在生物脫氮系統中的作用有3點: 其一為反硝化脫氮的電子供體; 其二用于微生物的生長; 其三用于脫氧. 由于理論上單位質量有機物可去除的氮素為定值,因此在反應器中碳源用于脫氮的比重越大,有機物脫氮容量越大,表明反應器脫氮能力越強. 通過對有機物脫氮容量的分析,可以更加直觀地了解反應器脫氮能力.
SBR反應器與BAC反應器各階段進水水質相同,根據公式(1)計算不同C/N比條件下兩反應器的有機物脫氮容量,計算結果見表 1.

表 1 有機物脫氮容量
由表 1,隨著進水C/N比的提高,SBR與BAC反應器有機物脫氮容量均有所減小,說明碳源加入量越大,反應器去除的有機物中用于脫氮的比重越小. 其原因是: 增加進水有機物質量濃度只能增加有機物去除量,去除一定量氮素所消耗的有機物量是一個定值,有機物用于脫氮的比重必定隨之減小; 另外,在曝氣條件下隨著進水C/N的增加,異養好氧菌活性逐漸增大,有機物更容易被好氧異養菌消耗,進一步減小了有機物用于脫氮的比重. 比較不同C/N比條件下,SBR與BAC兩反應器的有機物脫氮容量可知,BAC反應器有機物脫氮容量遠高于SBR反應器,說明BAC反應器提高了有機物用于脫氮的比重,其原因是活性炭對有機物的吸附解吸作用為反硝化提供了部分碳源,且BAC內部存在好氧和厭氧區,異養好氧菌生長及活性受到抑制,從而減少了異養好氧菌消耗的有機物量,更多的有機物被用于生物脫氮. BAC反應器較高的有機物脫氮容量表明BAC的加入提高了有機物用于脫氮的比重,BAC反應器可以更有效地利用已有碳源充分進行脫氮.具體參見污水寶商城資料或http://m.dongaorq.cn更多相關技術文檔。
3 結論
(1) 在低C/N比條件下,BAC反應器中活性炭對有機物的吸附解吸作用,為反硝化提供了部分碳源,提高了低C/N比條件下的脫氮效果.
(2) 進水C/N比較高的情況下,BAC反應器中活性炭的加入抑制了好氧異養菌的生長繁殖,對硝化系統起到保護作用.
(3) BAC在廢水同步脫氮的過程中,不僅為硝化菌、 反硝化菌提供了好氧、 缺氧環境,而且為反硝化反應提供了碳源的貯存場所,有助于同步脫氮的進行.
(4) BAC的加入提高了有機物的脫氮容量,擴大了反應器同步硝化反硝化脫氮的廢水C/N比適用范圍.


