申請日2017.09.29
公開(公告)日2017.12.22
IPC分類號C02F9/04; C02F103/18
摘要
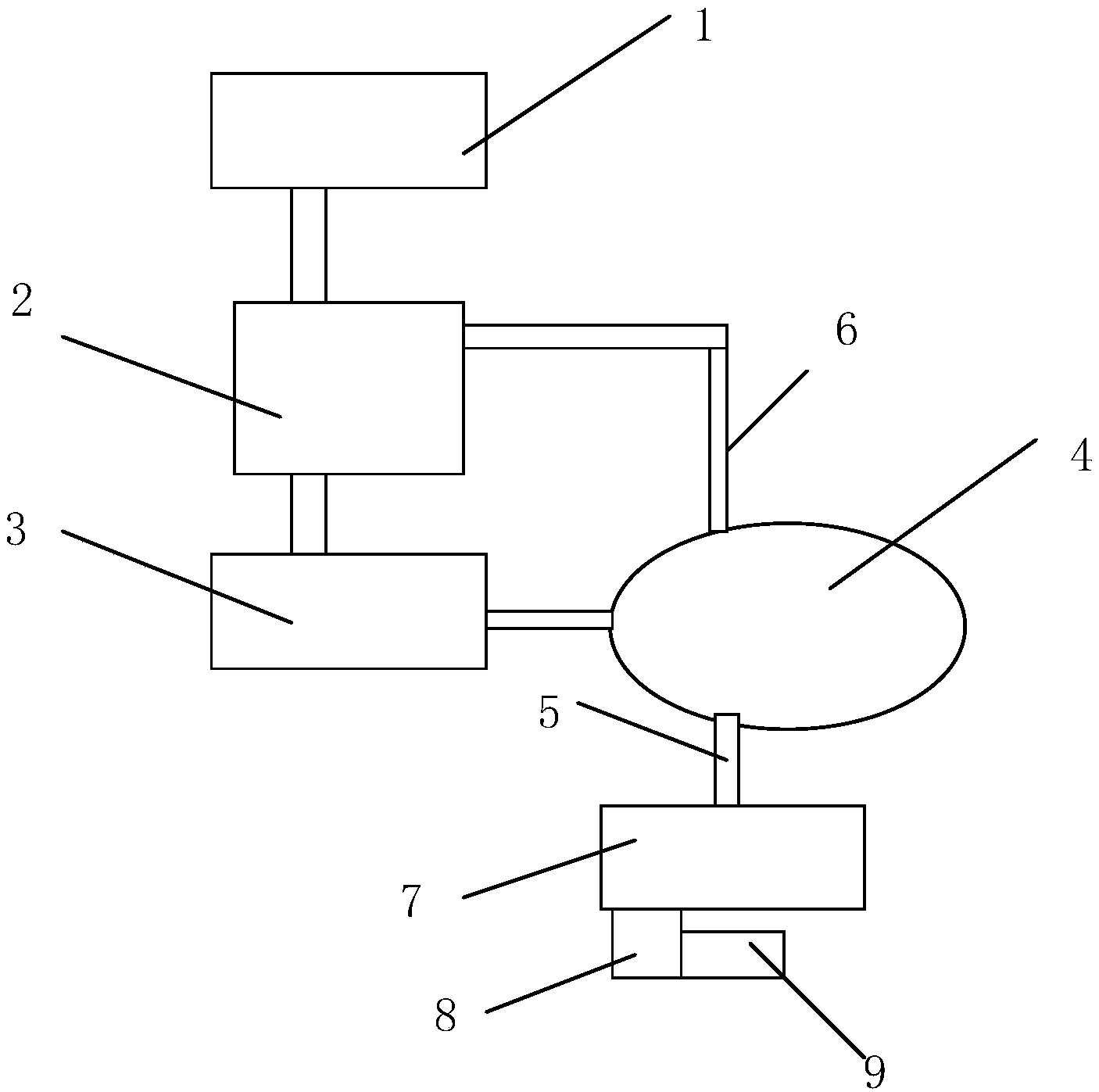
本發明涉及一種脫硫廢水軟化預處理設備及其處理方法,包括有一級反應槽,一級反應槽的出料口上連接有脫水裝置的第一入料口,脫水裝置的出料口上連接有二級反應槽,二級反應槽的出料口上連接有過濾裝置,過濾裝置的出料口連接有污泥傳送管道,污泥傳送管道包括第一管道與第二管道,第一管道連接脫硫裝置,第二管道連接脫水裝置的第二入料口,接脫硫裝置上設置有獨立排放口,排放口上安裝有檢測裝置。由此,二級反應槽生成的碳酸鈣沉淀可直接回用于脫硫系統,不易污堵管式膜和陶瓷膜,延長清洗周期,降低運行成本。絕大部分溶解硅均在一級反應槽中被沉淀,通過脫水機固液分離以后,不會出現二級反應槽中碳酸鈉反溶硅酸鈣沉淀的現象。
權利要求書
1.脫硫廢水軟化預處理設備,包括有一級反應槽(1),其特征在于:所述一級反應槽(1)的出料口上連接有脫水裝置(2)的第一入料口,所述脫水裝置(2)的出料口上連接有二級反應槽(3),所述二級反應槽(3)的出料口上連接有過濾裝置(4),所述過濾裝置(4)的出料口連接有污泥傳送管道,所述污泥傳送管道包括第一管道(5)與第二管道(6),所述第一管道(5)連接脫硫裝置(7),所述第二管道(6)連接脫水裝置(2)的第二入料口,所述接脫硫裝置(7)上設置有獨立排放口(8),所述排放口上安裝有檢測裝置(9)。
2.根據權利要求1所述的脫硫廢水軟化預處理設備,其特征在于:所述脫水裝置(2)為板框壓濾機、離心脫水機中的一種或是多種。
3.根據權利要求1所述的脫硫廢水軟化預處理設備,其特征在于:所述過濾裝置(4)為管式膜過濾器,或是所述過濾裝置(4)陶瓷膜過濾器。
4.根據權利要求1所述的脫硫廢水軟化預處理設備,其特征在于:所述檢測裝置(9)上安裝有通訊告警組件。
5.脫硫廢水軟化預處理方法,其特征在于包括以下步驟:
步驟一,脫硫廢水首先進入一級反應槽進行反應;
步驟二,脫水固液分離;
步驟三,采用二級反應槽進行沉淀;
步驟四,過濾處理;
步驟五,弱酸樹脂過濾。
6.根據權利要求5所述的脫硫廢水軟化預處理方法,其特征在于:所述步驟一中,在第一反應槽中加入石灰藥劑,調節PH值到9.5至12.5,選擇性投加絮凝劑、有機硫中的一種或是多種,攪拌反應充分。
7.根據權利要求5所述的脫硫廢水軟化預處理方法,其特征在于:所述步驟二中,進入脫水裝置進行固液分離,壓濾獲取清液,所產生的污泥采取外運填埋或是作為其他行業的生產原料。
8.根據權利要求5所述的脫硫廢水軟化預處理方法,其特征在于:所述步驟三中,將步驟二得到的清液直接進入二級反應槽,投加碳酸鈉藥劑,或是同時輔助投加氯化鎂藥劑,反應生成碳酸鈣和硅酸鹽沉淀。
9.根據權利要求5所述的脫硫廢水軟化預處理方法,其特征在于:所述步驟四中,通過過濾裝置進行膜過濾,產生的污泥直接送至脫硫裝置作為石灰石的補充,或是回到脫水裝置集中處理。
10.根據權利要求5所述的脫硫廢水軟化預處理方法,其特征在于:所述步驟五中,獲取的清液濁度0.2NTU以下,硬度去除至0mg/L。
說明書
脫硫廢水軟化預處理設備及其處理方法
技術領域
本發明涉及一種處理設備及其處理方法,尤其涉及一種脫硫廢水軟化預處理設備及其處理方法。
背景技術
二氧化硫(化學式SO2),是造成大氣污染的主要原因之一,也是造成酸雨的重要原因,是大氣主要污染物之一。火山爆發時會噴出該氣體,在許多工業過程中也會產生二氧化硫。由于煤和石油通常都含有硫元素,因此燃燒時會生成二氧化硫。當二氧化硫溶于水中,會形成亞硫酸。若把亞硫酸進一步在PM2.5存在的條件下氧化,便會迅速高效生成硫酸。這就是對使用這些燃料作為能源的環境效果的擔心的原因之一。
截止2010年末,我國完成“十一五”期間的總量控制目標為全年SO2排放量2246.7萬噸,其中電力行業的控制量為951.7萬噸。在眾多工業生產過程中,燃煤電廠煙氣脫硫系統是SO2的排放大戶。這其中,石灰石~石膏濕法脫硫是電廠脫硫應用最廣泛、技術最成熟的脫硫工藝。為了維持脫硫裝置漿液循環系統物質的平衡,防止煙氣中可溶部分即氯濃度超過規定值和保證石膏質量,必須從系統中排放一定量的廢水,廢水主要來自石膏脫水和清洗系統。于是此工藝產生的脫硫廢水的處理是我們面臨的一大課題。脫硫廢水主要含過飽和的亞硫酸鹽、懸浮物、硫酸鹽以及重金屬離子。由于大部分物質都是國家環保標準中規定的第一類污染物,對環境污染較嚴重。因此,必須對脫硫廢水進行有效處理后排放。于是此工藝產生的脫硫廢水的處理是我們面臨的一大課題。
2015年4月16日,國務院發布《水污染行動計劃》《水十條》,國家將強化對各類水污染的治理力度!八畻l”明確提出,到2020年,全國水環境質量得到階段性改善,污染嚴重水體較大幅度減少,“狠抓工業污染防治”成為重要任務,多項標準進一步趨嚴,一些重點區域甚至將禁止污水排放。2016年9月30日,環保部發布關于征求《火電廠污染防治技術政策》和《火電廠污染防治最佳可行性技術指南》意見函,對火電廠排放的廢氣、廢水、噪聲、固體廢棄物等造成的污染制定基本的技術政策,關于廢水明確指出:火電廠水污染防治應遵循清污分流,一水多用、集中處理與分散處理相結合的原則,鼓勵火電廠實現廢水的循環使用不外排;痣姀S目前有一些工藝被設置和運行在脫硫廢水零排放系統中。
脫硫廢水零排放系統通常分三個工藝段,第一工藝段為軟化預處理,第二工藝段為減量濃縮處理,第三工藝段為結晶制鹽。軟化預處理部分的主要目的是通過加入石灰、碳酸鈉等藥劑進行反應沉淀,并最終過濾去除固體沉淀物,清液滿足后續濃縮結晶的工藝要求。常用的工藝路線如下:
1)加藥反應(可加入石灰、NaOH、碳酸鈉或硫酸鈉等)軟化+一級或多級澄清+介質過濾;
2)加藥反應軟化+管式膜或陶瓷膜過濾;
3)加石灰軟化+一級澄清+其他藥劑(一般為碳酸鈉)軟化+二級澄清+介質過濾;
4)加石灰軟化+一級澄清+其他藥劑軟化+管式膜或陶瓷膜過濾。
向脫硫廢水投加石灰調節PH值至11.5以上,并輔助投加絮凝劑和有機硫等,然后投加碳酸鈉或硫酸鈉藥劑,分別與水中的鈣鎂離子反應生成碳酸鈣或硫酸鈣和氫氧化鎂沉淀,與重金屬反應生成硫化物沉淀,經過沉淀軟化后的水加入絮凝劑絮凝后經澄清器沉降,沉淀污泥用污泥輸送泵輸送到脫水系統干化后外運填埋,上清液進行過濾去除水中大部分的懸浮物。此過濾設備包括過濾器、管式膜或者其他設備。以上四種工藝路線基本涵蓋了目前的脫硫廢水零排放項目應用。
這些工藝的缺陷為:當來水含有的鎂離子和硫酸根離子濃度較高時,生成的沉淀物不容易分離,澄清池占地面積很大,并且出水水質難以保證,加藥量巨大且容易發生加入的石灰和碳酸鈉直接反應,并且如果脫硫廢水中含有大量過飽和硫酸鈣懸浮物時,也會消耗大量碳酸鈉藥劑與其反應生成碳酸鈣和硫酸鈉,導致藥劑成本很高。工藝流程長導致投資成本很高,并且占地面積較大。容易出現各種污堵和結垢的問題,過濾器和膜分離系統反洗和化學清洗頻繁。
有鑒于上述的缺陷,本設計人,積極加以研究創新,以期創設一種脫硫廢水軟化預處理設備及其處理方法,使其更具有產業上的利用價值。
發明內容
為解決上述技術問題,本發明的目的是提供一種脫硫廢水軟化預處理設備及其處理方法。
本發明的脫硫廢水軟化預處理設備,包括有一級反應槽,其中:所述一級反應槽的出料口上連接有脫水裝置的第一入料口,所述脫水裝置的出料口上連接有二級反應槽,所述二級反應槽的出料口上連接有過濾裝置,所述過濾裝置的出料口連接有污泥傳送管道,所述污泥傳送管道包括第一管道與第二管道,所述第一管道連接脫硫裝置,所述第二管道連接脫水裝置的第二入料口,所述接脫硫裝置上設置有獨立排放口,所述排放口上安裝有檢測裝置。
進一步地,上述的脫硫廢水軟化預處理設備,其中,所述脫水裝置為板框壓濾機、離心脫水機中的一種或是多種。
更進一步地,上述的脫硫廢水軟化預處理設備,其中,所述過濾裝置為管式膜過濾器,或是所述過濾裝置陶瓷膜過濾器。
更進一步地,上述的脫硫廢水軟化預處理設備,其中,所述檢測裝置上安裝有通訊告警組件。
本發明的脫硫廢水軟化預處理方法,其包括以下步驟:
步驟一,脫硫廢水首先進入一級反應槽進行反應;
步驟二,脫水固液分離;
步驟三,采用二級反應槽進行沉淀;
步驟四,過濾處理;
步驟五,弱酸樹脂過濾。
進一步地,上述的脫硫廢水軟化預處理方法,其中,所述步驟一中,在第一反應槽中加入石灰藥劑,調節PH值到9.5至12.5,選擇性投加絮凝劑、有機硫中的一種或是多種,攪拌反應充分。
更進一步地,上述的脫硫廢水軟化預處理方法,其中,所述步驟二中,進入脫水裝置進行固液分離,壓濾獲取清液,所產生的污泥采取外運填埋或是作為其他行業的生產原料。
更進一步地,上述的脫硫廢水軟化預處理方法,其中,所述步驟三中,將步驟二得到的清液直接進入二級反應槽,投加碳酸鈉藥劑,或是同時輔助投加氯化鎂藥劑,反應生成碳酸鈣和硅酸鹽沉淀。
更進一步地,上述的脫硫廢水軟化預處理方法,其中,所述步驟四中,通過過濾裝置進行膜過濾,產生的污泥直接送至脫硫裝置作為石灰石的補充,或是回到脫水裝置集中處理。
再進一步地,上述的脫硫廢水軟化預處理方法,其中,所述步驟五中,獲取的清液濁度0.2NTU以下,硬度去除至0mg/L。
借由上述方案,本發明至少具有以下優點:
1、去掉了占地面積大,投資成本高的澄清工藝段設備。
2、排除了因進水水質波動引起的澄清段工藝設備堵塞、出水不合格、加藥量難以控制等問題。
3、脫水機工藝段去除絕大部分來水中的懸浮物和一級反應槽生成的固體顆粒物,包括粒徑很小的氫氧化鎂顆粒,在后續的二級反應槽可最大程度節省碳酸鈉藥劑消耗量。
4、二級反應槽生成的碳酸鈣沉淀可直接回用于脫硫系統,并且由于碳酸鈣粒徑較大,不易污堵管式膜和陶瓷膜,延長清洗周期,降低運行成本。
5、絕大部分溶解硅均在一級反應槽中被沉淀,通過脫水機固液分離以后,不會出現二級反應槽中碳酸鈉反溶硅酸鈣沉淀的現象,且輔以氯化鎂等除硅劑的投加,可以將硅含量去除至2mg/L以下。



