隨著銅礦資源的日益緊張,國內部分銅冶煉廠開始處理高含氟銅精礦,造成硫酸裝置凈化工序一級動力波洗滌器循環液中氟含量大幅上升,最高ρ(F)超過4g/L。硫酸凈化工序氟離子濃度上升,將增大對凈化工序各設備的腐蝕,造成后續干吸、轉化工序的氟含量上升,對整個制酸裝置和后續污酸廢水處理設備產生不利影響。高氟含量污酸經硫化、石膏工序處理后,石膏濾液中氟含量大幅上升,影響污水的達標排放。如何有效應對高氟銅精礦對制酸及污酸廢水處理帶來的不利影響,已成為國內銅冶煉廠共同面對的難題。
目前國內銅冶煉廠硫酸裝置應對高氟銅精礦的主要措施是在凈化工序添加鈉水玻璃,利用鈉水玻璃中的硅酸鈉與氫氟酸在酸性條件下絡合形成氟硅酸,進行固氟和降低氟離子腐蝕活性;在廢水處理工序添加硫酸鋁,利用鋁離子與氟離子在弱堿性條件下絡合形成氟鋁酸鹽沉淀,進行固氟和降低排放水中的氟離子含量。實際生產過程中,凈化工序一級動力波洗滌器添加鈉水玻璃后會形成難以沉降分離的膠狀物,導致一級動力波洗滌器循環液懸浮物含量上升,影響系統穩定運行;同時形成的氟硅酸對凈化工序、污酸廢水處理工序各設備具有較強的腐蝕性,導致污酸廢水檢測電極使用壽命縮短。廢水處理工序添加硫酸鋁后,因硫酸鋁溶液呈酸性,導致石灰消耗量倍增,工藝設備結垢嚴重;且硫酸鋁適用于較高氟離子濃度的廢水除氟,其效果受廢水中離子影響較大,適應性欠佳。以上工藝均存在處理成本過高,實際使用效果欠佳,設備腐蝕問題無法得到有效解決。
銅冶煉過程中產生的冶煉爐渣經浮選回收銅等有價金屬后,產生的尾礦砂中富含鐵、硅及部分鋁元素。理論研究證明,鐵、硅、鋁元素在酸性條件下均可與氟離子形成絡合物,降低氟離子腐蝕效果;同時鐵、鋁元素溶解進入污酸后,有利于后續污酸處理工藝中對氟及重金屬離子的去除效果,降低氟離子對污酸廢水設備的腐蝕。若將尾礦砂溶解于硫酸裝置凈化污酸中,既可達到在凈化污酸中固氟和降低氟離子對設備的腐蝕,又能在污酸處理工序中增加鐵離子的濃度,降低廢水中氟及重金屬離子的含量。
一、試驗過程
1.1 試驗原料
試驗原料為銅冶煉爐渣浮選回收銅等有價金屬后產生的尾礦砂,其主要成分見表1。

由表1可見:尾礦砂中主要成分為鐵、硅、鋁的氧化物,其總含量占尾礦砂的90%以上,其他各雜質成分均為微量。
1.2 試驗設備與材料
試驗設備為塑料燒杯、ME2002/02電子分析天平、HJ-5多功能恒溫攪拌器、pH計、真空泵、電爐、滴定管等。
試驗材料為尾礦砂、質量分數10%的鈉水玻璃溶液、凈化工序一級動力波洗滌器污酸、氟化氫銨、硫化鈉溶液、石灰乳液、氫氧化鈣溶液、絮凝劑PAM、載玻片等。
1.3 試驗原理
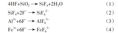
尾礦砂含有Fe,Si,Al元素,用含氟污酸對其進行溶解后,可與污酸中的氟離子生成氟硅酸根離子、氟鋁酸根離子、氟鐵酸根離子等,從而降低液相中氟離子含量,使氟化氫從煙氣中轉移至污酸中。具體化學反應方程式如下:

污酸中的氟離子與鐵、硅、鋁離子形成絡合離子,可大幅降低游離氟離子含量,從而降低污酸中氟離子對各種設備的腐蝕,同時溶解至污酸中的鐵、鋁離子在進入廢水處理工序后,可強化絮凝沉降效果,在降低廢水處理濃密機上清液中懸浮物的同時,降低了廢水中各雜質離子含量。
1.4 試驗方法
1)研究尾礦砂在硫酸裝置凈化污酸中的可溶性及不同條件下的溶解率,得出尾礦砂在凈化污酸中的最佳添加溶解量。
2)通過在污酸、添加鈉水玻璃的污酸、溶解尾礦砂的污酸中分別浸入載玻片進行腐蝕試驗,對比不同溶液條件下載玻片的腐蝕率。
3)將溶解尾礦砂的污酸模擬污酸廢水處理全流程工藝試驗。研究溶解尾礦砂的污酸在硫化、石膏、中和工序中液相和渣相的組成,并對中和后液的各排放指標進行分析,分析各指標的去除效果。
二、試驗結果與討論
2.1 尾礦砂在含氟污酸中的溶解性
取3份過濾后污酸濾液,每份各2L。取3份8.8g尾礦砂原樣(烘干后凈質量)加入污酸中,分別攪拌0.5,1.0,2.0h,過濾后取濾液和濾渣。原液和濾液成分分析見表2,尾礦砂溶解率見表3。


由表2~3可見:尾礦砂溶解率隨攪拌時間延長而增大,平均為48.9%。溶解時間為2h,尾礦砂的絕對溶解量為2.4g/L,因此建議尾礦砂添加量不大于3g/L。
2.2 溫度對尾礦砂溶解率的影響
取3份過濾后污酸濾液,每份各2L。稱取10g尾礦砂原樣3份(烘干后每份質量為9.4g),分別加入污酸中,恒溫至55℃,分別攪拌0.5,1.0,2.0h,過濾后取濾液和濾渣。
原液和濾液成分分析見表4,尾礦砂溶解率見表5。


由表4~5可見:尾礦砂溶解率較常溫攪拌有所上升,平均為62.1%。建議反應溫度控制在50~60℃。
2.3 最佳尾礦砂添加量及加熱條件下尾礦砂的溶解率
取3份過濾后污酸濾液,每份各2L。稱取6g尾礦砂原樣3份(烘干后每份質量為5.6g),分別加入污酸中,恒溫至55℃,分別攪拌0.5,1.0,2.0h,過濾后取濾液和濾渣。原液和濾液成分分析見表6,尾礦砂溶解率見表7。


由表6~7可見:在尾礦砂添加量為2.8g/L、溶解溫度為55℃、污酸中ρ(F)在4.9g/L條件下,尾礦砂溶解時間不同,尾礦砂溶解率差別不大,基本都在80%左右。因此尾礦砂溶解率不僅和添加量、溶解溫度、溶解時間有關,還和污酸中氟離子含量關系密切。氟離子含量越高,其溶解率越高。
2.4 研究溶解時間和尾礦砂粒徑對尾礦砂溶解率的影響
將尾礦砂篩分成4種規格進行試驗,分別為200目、200~325目、325~400目、400目。分別稱取4種粒徑的20g尾礦砂,放入4份2L過濾好的污酸中,攪拌2.0h后過濾,取濾液和濾渣進行分析。原液和濾液成分分析見表8,尾礦砂溶解率見表9。


由表8~9可見:反應時間相同,尾礦渣粒徑越小溶解率越大,但不同粒徑之間差別不大;粒徑相同,不同反應時間對溶解率的影響不大,基本可以忽略;由于污酸中氟離子含量較低,導致尾礦砂溶解率比之前小。
2.5 研究不同條件下污酸對載玻片的腐蝕率
前期開展的多次試驗證明了原污酸溶解尾礦砂后,鐵含量明顯上升,尾礦砂溶解率最高達80%;但液相中氟含量無明顯變化。為驗證尾礦砂溶解于含氟污酸后,具有抑制氟離子腐蝕活性的效果,技術人員進一步開展如下試驗。
在污酸中加入氟化氫銨,使污酸中ρ(F)>4.5g/L;然后分別取4份2L污酸,前3份分別加入6.00g400目尾礦砂、4.25g質量分數10%硅酸鈉溶液、8.50g質量分數10%硅酸鈉溶液,第四份不加任何物質。加入以上物質后,將4份污酸加熱至55℃,攪拌0.5h后取出靜置;將同種規格的載玻片分別放置于4份經處理的污酸中,23d后取出;對各自放入的載玻片進行稱重,計算其腐蝕率。載玻片放入日期為2019年1月7日,取出日期為2019年1月30日。該試驗數據見表10。

由表10可見:污酸對載玻片的腐蝕率最大,其次是加入4.25g硅酸鈉溶液和加入8.50g硅酸鈉溶液的污酸,加入6.00g尾礦渣的污酸對載玻片的腐蝕率最小。硅酸鈉溶液添加量分別按設計添加量的1~2倍添加至污酸中。
2.6 尾礦砂溶于污酸后模擬污酸廢水全流程處理工藝
取3份過濾后污酸濾液,每份各3L。分別添加1,2,3g/L以氟質量濃度對應的氟化氫銨進行溶解。溶解后取上清液進行分析。污酸中分別加400目尾礦砂10g,加熱攪拌溶解1.0h,澄清后過濾取部分上清液送化驗室分析。污酸溶解尾礦砂及污酸成分分析數據見表11。

在濾液中緩慢添加硫化鈉,攪拌0.5h,直到上清液中有淡黃色絮狀沉淀出現;停止添加硫化鈉,控制上清液中含砷質量濃度小于100mg/L,并記錄硫化鈉添加量。硫化沉降后過濾,取硫化濾液和硫化渣樣分析。經硫化過濾處理后硫化濾液分析數據見表12,硫化渣分析數據見表13。


在硫化濾液中添加石灰乳,攪拌0.5h,控制反應pH值為3.5,控制上清液pH值為5.0~6.0。沉降過濾后取石膏濾液分析。經硫化、石膏處理后石膏濾液分析數據見表14。

在石膏濾液中添加氫氧化鈣,攪拌0.5h,控制pH值為7.5,曝氣氧化0.5h。繼續添加氫氧化鈣,攪拌0.5h,控制pH值為9.5;添加凝聚劑,沉降過濾后取中和上清液分析。經硫化、石膏、中和處理后中和濾液分析數據見表15。

在高氟污酸中溶解10g尾礦砂后,模擬污酸廢水全流程處理工藝,硫化濾餅中鐵含量上升較為明顯,其他成分均與原工藝接近;硫化濾液、石膏濾液中鐵、氟含量上升明顯;中和上清液中ρ(F)能夠穩定控制在20~25mg/L,出水其他重金屬含量基本與現有排放水指標接近。
三、結論
通過尾礦砂溶解于凈化工序高氟污酸的試驗研究,基本確定尾礦砂在污酸中的溶解具有以下特征:
1)溫度越高,尾礦砂溶解率越高,最佳溶解溫度為50~60℃。
2)溶解時間越長,尾礦砂溶解率越高,最佳溶解時間為1.0h。
3)粒徑越小,尾礦砂溶解率越高,最佳尾礦砂粒徑為300~400目。
4)污酸中氟離子和硫酸濃度越高,尾礦砂溶解率越高。當污酸中ρ(F)>4g/L時,尾礦砂溶解率接近100%。
5)尾礦砂最佳添加量為2.5~3.0g/L。如污酸中氟離子含量較高[ρ(F)>4g/L],可考慮適當增加尾礦砂添加量。(來源:江西銅業集團貴溪冶煉廠)


