污泥電脫水技術主要應用了電滲透原理,是一種較為新穎的污泥深度脫水技術。電滲透發生在污泥顆粒間的毛細孔內,電脫水技術不僅能去除自由水,還能去除一定量的孔隙水和表面水,所以它與傳統的污泥機械脫水技術相比具有脫水率高、脫水速度快的優勢。同時,由于電脫水過程中不存在水的相變,所以與污泥熱干化相比,在能耗和成本上有巨大優勢。污泥電脫水過程中也存在一些問題,其中陽極附近污泥的過分干化現象是提高污泥電脫水效果的最大阻礙。在電滲透的作用下,污泥中的水分會向陰極附近快速遷移,導致陽極附近的污泥迅速干化,這會使污泥泥餅的電阻大幅升高,電流強烈衰減,脫水效率隨之快速下降。
實驗發現,陽極過分干化之后,出現液相不連續現象,污泥泥餅水分不均勻化,由此產生陰極附近水分回流到陽極的驅動力以順應水分梯度。液相不連續現象不可避免地成為污泥電脫水過程中的阻力,如何使泥餅水分更加均勻從而提高電脫水效果值得深入研究。鑒于此,國內外學者提出了交變電場、水平電場、旋轉陽極、陽極逼近、移動電極和間斷供電等電脫水技術,以提高污泥電脫水效果。其中間斷供電是指在污泥電脫水的過程中,停止供電一段時間,給水分以回流時間而減小泥餅的電阻,采用供電斷電交替的方式可取得更好的脫水效果。
目前,針對供電方式對污泥電脫水效果的影響已經有一些探索性研究,但還缺乏更加系統性的結論。本文研究間斷供電方式對污泥電脫水效果的影響,選取占空比、單次供電時間和電壓作為代表性脫水參數,通過實驗優化脫水條件,為今后的電脫水研究以及工程應用提供數據和理論依據。
一、間斷供電基本原理
污泥電滲透脫水技術日漸成熟,其可行性和脫水效率已被證實,已有很多關于電滲模型的研究,其中Weng等分析電滲透原理,提出了脫水速率的計算模型,即

式中:Qe為電滲透脫水速率,cm3/s;ξ為污泥的zeta電位;ε為流體的介電常數;q為與污泥物理性質有關的經驗常數;η為流體的黏度,Pas;E為施加電壓,V;L為泥餅厚度,cm;A為橫截面積,cm2。
分析模型計算公式可知,脫水速率與施加電壓成正比,但在電滲透脫水過程中液相不連續現象逐漸嚴重,陽極附近水分減少,污泥干化導致電阻增加和電流衰減,基于電學原理,陽極側干化污泥負載電壓比例過大是導致電滲脫水效果下降的主要原因。苑夢影將污泥電脫水中陽極干化的現象進行物理模型簡化,泥餅模型如圖1所示,將陽極附近發生干化并出現一定程度龜裂的區域稱為陽極腐蝕層,其余水分暫且充實的部分稱為正脫水層,二者共同構成污泥電脫水整個泥餅層。

構成泥餅的陽極腐蝕層與正脫水層在電路中相當于兩個電阻串聯,當陽極干化嚴重時,由于陽極腐蝕層電阻增加導致整個系統電阻增加而電流衰減,此時正脫水層負載電壓減小,削弱了污泥電脫水的驅動力。采用間斷供電方式可以使水分回流,減小陽極腐蝕層的比例從而減小電阻、增大電流,正脫水層負載電壓比例隨之增加,污泥電滲透脫水的驅動力增加,陽極側在回流水作用下不均勻的現象得到明顯改善,實現污泥電脫水效果的優化。
二、材料與方法
實驗用泥取自天津市某污水處理廠,該剩余污泥先經重力濃縮,再經過陽離子型聚丙烯酰胺脫水劑的處理,進一步離心脫水,污泥樣品置于冰箱4℃保存,污泥的基本性質見表1,測試標準遵循城市污水處理廠污泥檢驗方法(CJ/T221—2005)。

實驗所用裝置見圖2。污泥脫水設備主體由筒套(聚丙烯樹脂,內徑75mm×外徑150mm×高60mm)、陰陽極板、氣缸、活塞等構成。陽極板為抗壓耐腐蝕的鍍銥鈦板,陰極采用覆蓋300目不銹鋼網且尺寸等同筒套內徑的不銹鋼多孔板,孔板上均勻分布145個直徑3mm的小孔。氣缸處連接一臺空壓機提供壓力,脫水過程中由氣缸驅動活塞向下給污泥施加機械壓力,由泄壓閥調節壓力大小。直流電源(DH1716A-10,北京大華無線電儀器廠)連接于陰陽兩極為整個電路提供電壓,萬用表(VC86E,勝利儀器)串聯為整個電路測定電流。陰極處放置與泥餅直接接觸的熱電偶用以監測污泥溫度。脫水主體設備下放置滲濾液收集裝置,并置于電子天平(JJ1000,雙杰測試儀器廠)上,實時計量脫除水分質量。其中電子天平、萬用表和熱電偶與計算機連接,以每秒1次的頻率收集并記錄實驗數據。

實驗過程分為預壓過程和間斷供電脫水兩部分。本實驗選取初始污泥餅厚度為1cm,機械壓力為0.3MPa,實驗開始先按照泥餅厚度計算污泥質量填入筒套,在不通電條件下控制泄壓閥對污泥進行預壓0.5min的統一處理,而后開始供電,并從通電起開始計時。整個實驗方案具體設計如圖3所示,將供電方式表征為占空比、單次供電時間和電壓3個參數,其中占空比定義為單次供電時間(te)與斷電時間(tn)的比值。

總脫水時間由多次通電時間與斷電時間之和構成,脫水結束的標志為電流小于0.4A或30s沒有濾液滲出,此時停止供電,記總脫水時間t。通過重量法計算污泥最終含水率(%),并計算總耗電量與總脫水量的比值即單位脫水耗電量(kW•h/kg)。
前期探索實驗結果表明,適宜的脫水條件為占空比不宜小于1∶1,單次供電時間不宜超過60s,以此作為實驗設計的依據,控制變量進行實驗。
三、結果與討論
3.1 占空比對電脫水效果的影響
實驗設計在供電電壓為40V、單次供電時間為40s的條件下改變占空比檢測污泥脫水效果,其中1組為連續供電,其他5組改變占空比進行實驗。由單次供電時間以及占空比的定義可得,6組實驗的斷電時間分別為0s、40s、30s、20s、10s、5s,實驗結果如圖4所示。

由圖4可知,污泥初始含水率為85%左右,當采用連續供電方式時,污泥的最終含水率降為56.49%;而采用間斷供電方式時,最終含水率相較連續供電有了明顯的下降,其中當占空比為4∶1時,含水率在6組實驗中最低,降為45.23%。分析總脫水時間可知,連續供電時達到脫水極限的總時間為440s,間斷供電相較于連續供電脫水時間增長,且占空比減小的情況下脫水時間更長,其中當占空比為1∶1時,總脫水時間最長,需要920s。若將單次通電與單次斷電時間之和,即te+tn定義為一個周期,占空比為1∶1、4∶3的兩組實驗總通電時間包括12個周期,占空比為2∶1、4∶1、8∶1的3組實驗歷經13個周期。再分析單位脫水耗電量可知,連續供電時耗電量為0.158kW•h/kg,間斷供電方式實現脫水效率更高的同時單位脫水耗電量也更大,其中占空比為4∶1時耗電量值最大,達到0.184kW•h/kg。
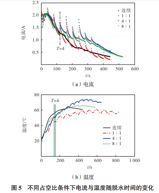
根據間斷供電的基本原理,間斷供電利用水分分布梯度的驅動使陰極水分回流到陽極附近,當污泥層水分均勻時,陽極腐蝕層的比例減小,從而電阻減小電流增加,從該角度考慮,為改善脫水效果,應以較長的斷電時間使回流更加充分。而分析圖4(a)可知斷電時間并非越長越好,占空比從1∶1到4∶1的4組實驗中,各組斷電時間減少,脫水效果卻呈增加趨勢。為解釋該現象,綜合考慮污泥電脫水過程中的電流和溫度因素進行分析,電壓為40V、單次通電時間為40s時,電流與溫度隨脫水時間變化的實驗結果如圖5所示。

由前文可知在不同占空比條件下最終含水率和單位脫水耗電量存在拐點,本實驗結果為占空比4∶1。首先分析電流變化情況,因不同占空比條件下斷電時間不一致,為了便于比較,電流變化圖中只呈現供電部分即電流值不為0時的情況。分析圖5(a)可知,連續供電時電流值隨脫水時間持續衰減,當采用間斷供電方式條件下,每次斷電后重新供電時電流出現明顯回升,且總體電流值大于連續供電的情況。占空比從1∶1到4∶1的實驗中,前4個供電周期內,由于實驗前期更長的斷電時間使回流更充分,占空比1∶1時電流值相對略大,而4個周期后隨斷電時間減小,電流回升呈增加趨勢,這是因為過長的斷電時間下水分過度回流以及溫降較大會對脫水效果不利,占空比4∶1的電流值整體最大。在斷電時間更短、占空比為8∶1的實驗中,電流值整體減小,此時過短的斷電時間無法實現水分回流緩解陽極干化的作用。
然后分析溫度變化情況,連續供電時總脫水時間最短,間斷供電條件下隨占空比增加總脫水時間縮短,分析圖5(b)可知,連續供電時溫度隨時間呈先升高后緩慢下降的趨勢,最高溫度為62.8℃。當采用間斷供電方式時,每次斷電后溫度下降,重新供電的過程中,溫度又明顯回升。占空比1∶1時溫度整體最低,這是由于較長的斷電時間使溫度回升減弱;占空比4∶1時溫度上升幅度最大,此時斷電時間適當,斷電過程中溫度下降趨勢較緩,且供電時電流大幅回升,脫水過程中產生的熱量較高,最高溫度可達到73.4℃,相較于連續供電時高出10℃以上。其余占空比為4∶3、2∶1的兩組實驗結果相似。在斷電時間更短、占空比為8∶1的實驗中,前4個供電周期內,由于實驗前期更短的斷電時間使溫降較小,占空比8∶1時溫度值相對略高,而4個周期后由于斷電時間較短,回流不充分導致電流減小,無法產生更多熱量,最終占空比8∶1實驗組的溫度低于4∶1實驗組。
通過分析上述實驗結果,可以推斷電流和溫度是污泥電滲透脫水中的兩個重要因素,會影響污泥脫水的最終效果。在一定范圍內,合適的斷電時間會因回流作用使污泥泥餅水分分布均勻,緩解陽極干化、液相不連續現象。然而過長的斷電時間會使水分過度回流,且斷電過程導致溫度下降幅度過大,液體黏滯性隨之上升,黏滯性是影響脫水的滲流速率和水分回流速率的重要因素;過短的斷電時間會導致回流不充分,無法改善脫水效果。電流和溫度之間存在相互影響、相互促進的作用,所以最佳的占空比不宜過大或過小,存在一個最優值。
3.2 單次供電時間對脫水效果的影響
實驗設計在供電電壓為40V、占空比為4∶1的條件下改變單次供電時間檢測污泥脫水效果。實驗結果如圖6所示。

分析圖6(a)可知,單次供電時間為60s時污泥最終含水率最高,為50.24%,單次供電時間減為40s、20s、10s時,含水率降到43%左右,說明在一定范圍內,過長的單次供電時間對污泥脫水效果有不利影響。原因包括兩方面:一是供電時間過長導致陽極干化腐蝕現象嚴重,水分不均勻程度過大,造成的負面作用盡管水分部分回流也無法改善;二是供電時間較長時,同樣占空比條件下斷電時間也長,結合前文對電流和溫度的分析,斷電時間過長對脫水效果不利。
分析圖6(b)可知,單次供電時間為60s時總脫水時間最短,為585s,其余3組實驗的總脫水時間基本持平,約在645s左右。分析單位脫水耗電量,結果與不同占空比條件下的實驗現象相同,脫水效果更好時耗電量更大。這種現象主要有以下原因:①電脫水過程中,污泥中的水分會由陽極向陰極附近快速遷移并先被脫除,脫水總量大意味著有更多靠近陽極的水分需要被脫除,從動力學的角度分析,驅動陽極干化層水分移向陰極更加困難,因此需要耗費能量;②采用間斷供電方式就是為了利用水分回流緩解液相不連續現象,回流水運動方向與水分脫除方向相反,因此進一步增加能耗。
3.3 電壓對脫水效果的影響
實驗設計在占空比為4∶1、單次供電時間為40s的條件下改變電壓檢測污泥脫水效果,選取電壓為30V、40V、50V的3組實驗結果進行分析,實驗結果如圖7所示。

分析圖7(a)可知,電壓為30V時,實驗污泥的最終含水率最高,為49.18%,而電壓升為50V時,最終含水率降至小于30%的較低水平,為27.81%,這3組實驗結果表明電壓增加對污泥電脫水效果有利。分析圖7(b)可知,隨電壓增大,總脫水時間大幅縮短,而單位脫水耗電量明顯增加,電壓為30V的實驗中單位脫水耗電量為0.179kW•h/kg,電壓為50V時單位脫水耗電量高達0.247kW•h/kg。實驗測得當電壓為50V、采取連續供電進行脫水時,污泥的最終含水率為52.36%,而在相同電壓間斷供電條件下,污泥的最終含水率出現大幅下降。結合圖8所示結果進一步從電流和溫度的角度分析間斷供電時污泥最終含水率降至較低水平的原因。

由圖8可知,電壓為50V時,實驗前4個周期的現象與40V時結果類似,區別是由于電壓增加,間斷供電時電流值回升幅度更大,溫度回升速率更大。當脫水時間達到200s時,重新供電過程中溫度值發生大幅提高,已經高于100℃,同時電流值達到最大,為4.7A。此后,電流回升和衰減的幅度大大增加,溫度保持在100℃以上。觀察反應器中污泥脫水的狀態,發現高于沸點情況下泥餅中水分處于沸騰狀態,不再以滲濾液滴落形式脫除,而主要是以水蒸氣形態向外蒸發擴散,且在過程中伴隨著明顯響聲。
實驗測得當電壓為50V、采取連續供電進行脫水時,污泥的最高溫度僅為74.7℃,而在相同電壓間斷供電條件下,最高溫度達到114.7℃,污泥水分出現了相變。由實驗結果推斷,只有在施加較高電壓且采用間斷供電方式進行污泥電脫水時才會出現該現象。在這個過程中消耗了大量的潛熱,因此單位脫水耗電量明顯較高。
四、結論
(1)間斷供電方式可以使脫水污泥中的水分產生回流,避免液相不連續引起的電阻增大問題,比連續供電有更好的脫水效果。
(2)間斷供電的占空比對脫水效果影響明顯,占空比不宜過小或過大,存在一個最佳的范圍,本實驗結果為最佳占空比在4∶1附近。
(3)單次供電時間對污泥電脫水有明顯影響,過長的單次供電時間會對污泥電脫水效果產生明顯的不利影響;污泥電脫水的耗電情況主要與總脫水量相關,隨總脫水量增加,脫除單位水分的耗電量增大。
(4)電壓在間斷供電中對脫水效果影響顯著,電壓較高時脫水效果明顯提高但同時耗電量增加;當電壓為50V且采用適宜條件下的間斷供電方式時,污泥溫度超過100℃,脫水形式出現蒸發相變,污泥最終含水率降到30%以下,脫水效果顯著提升。(來源:天津大學環境科學與工程學院;天津市城市規劃設計研究院)


