工業化的快速發展產生了大量成分復雜的工業廢水,其中含有重金屬和有機染料的廢水是非常常見的工業廢水類型。鉛(Pb)是一種常見的重金屬,進入人體后會對人的神經系統、消化系統、生殖系統等造成嚴重的傷害。我國染料廢水排放量大,并且染料廢水的色度大、降解難、毒性高,對人體和環境都具有嚴重的破壞性。因此,有效治理重金屬和有機染料污水對環境的保護和人類健康有著重要意義。
化學沉淀法、吸附法、光催化降解、膜分離技術等是目前使用較多的污水凈化方法,而這些處理方法也存在許多不足。例如化學沉淀法處理低濃度污染物時會稍顯遜色;膜分離技術存在易于堵塞和成本較高的缺點。吸附法具有易操作、高效、經濟等優點,是治理重金屬和有機染料污水方法的重要選擇,尤其是對低濃度重金屬廢水的處理。吸附法的關鍵是吸附劑的選擇,綠色、廉價、高效的天然吸附材料無疑是最理想的污水治理吸附劑。
碳酸鈣(CaCO3)是自然界中廣泛存在的一種礦物質,按來源可分為生物源碳酸鈣和礦物源碳酸鈣。與礦物源CaCO3相比,生物源CaCO3如貝殼、蛋殼等沒有經受去有機化作用和高溫高壓的石化作用,形成周期短,具有環保和可再生特性,近年來在復合材料的應用方面受到廣泛關注。由于廉價和綠色環保的特性,CaCO3還被廣泛應用到水處理領域。Zhou等對比了生物源和礦物源CaCO3對污水中Pb(II)的吸附性能,發現生物源CaCO3具有更高的吸附效率。
牡蠣是我國重要的海產品經濟貝類之一,也是一種重要的生物源CaCO3。目前中國牡蠣的養殖產量超過世界牡蠣總量的89%,位居世界第一。但隨著大規模牡蠣養殖,大量廢棄牡蠣堆積是備受關注的固廢污染問題,且牡蠣殼堆積腐化過程中還會釋放難聞的氣體,降低周圍居民的生活質量。用牡蠣殼制備水處理吸附劑,既可以為廢水處理提供廉價原料,又可實現牡蠣養殖廢棄物的資源化利用。已經有研究者將牡蠣殼應用到廢水處理領域,并取得了不錯的凈水效果。但是,人們對牡蠣的研究大多停留在單一污染物上,對多種污染物,特別是對含有重金屬和有機染料的復合廢水的探究工作少有報道,去除效果與吸附機理也尚不明確。
本工作通過煅燒牡蠣殼制備生物源碳酸鈣(bio-CaCO3)吸附材料,以Pb(II)和MO為吸附質,通過宏觀吸附和微觀表征來研究bio-CaCO3對不同類型污染物的去除效果,考慮不同環境因素對bioCaCO3的吸附影響,并詳細闡明吸附機理。同時對比常用的吸附材料,評價該bio-CaCO3的吸附性能及其在水污染治理中的應用前景。
一、實驗方法
1.1 Bio-CaCO3的制備
實驗所用乳山牡蠣(Rushanoyster)購于海鮮市場。將清洗干凈的牡蠣殼置于100℃下干燥2h,再將牡蠣殼初步粉碎,放入馬弗爐中,在600℃下煅燒2h,充分去除牡蠣殼表面的有機質。冷卻后研磨、過篩、裝瓶,得到煅燒的牡蠣殼粉即bio-CaCO3材料。
1.2 Bio-CaCO3結構表征
通過SEM(JEOL,JSM-7900F)觀察材料的形貌特征以及材料吸附Pb(II)和MO前后的形貌變化。通過XRF(Rigaku,Supermini200)對乳山牡蠣殼中無機組分進行定性和定量分析,并利用TGA(NETZSCH,STA449F5)和XRD(Rigaku,Smartlab3)確定材料的主要組分。利用BET(Quantachrome,NOVA3000)分析材料的比表面積和孔徑大小。
1.3 吸附性能測定
取0.25g制備的bio-CaCO3粉末置于廣口瓶中,加入100mL水,搖勻,放入超聲清洗機中進一步溶解,得到2.5g/L的吸附劑溶液。在聚乙烯管中依次加入一定量的吸附劑溶液、硝酸鉛或MO溶液,以及高氯酸鈉離子強度調節劑。通過改變溶液的pH和添加高氯酸鈉的量分析吸附過程pH和離子強度影響,最后用極少量的氫氧化鈉或高氯酸溶液調節混合液的pH。然后將聚乙烯管放入恒溫振蕩器中,連續振蕩24h后,將聚乙烯管放入高速離心機中以12000r/min的轉速離心5min,再取上清液,用原子吸收光譜儀(Shimadzu,AA-6880F)檢測鉛離子或用紫外分光光度計(PerkinElmer,UV/VisLambda365)檢測溶液中MO濃度,并計算去除百分率(η),分配系數(Kd,L/g)和吸附量(Q,mg/g),公式如下:

式中,C0、Ce為體系中吸附質的初始濃度(mg/L)、平衡濃度,V為溶液體積(L),m為吸附劑的質量(g)。
吸附動力學研究:研究不同吸附時間下Pb(II)和MO在bio-CaCO3上的吸附百分數,分析溶液中未被吸附的Pb(II)和MO濃度與吸附時間的變化關系,并利用假一級和假二級動力學模型以及顆粒擴散模型分析Pb(II)在bio-CaCO3上的吸附動力學過程。
吸附熱力學研究:對比bio-CaCO3吸附Pb(II)在25、35和50℃時的吸附百分數和吸附分配系數,并用Langmuir和Freundlich對實驗數據進行擬合,分析吸附機理,同時計算bio-CaCO3吸附Pb(II)吸附過程的熱力學參數(ΔG、ΔS和ΔH)。
二、結果與討論
2.1 乳山牡蠣殼的組成和結構分析
通過XRF對乳山牡蠣殼中無機組分進行定性和定量分析,結果如表1所示。牡蠣殼含有的主要無機組成元素為Ca,質量分數為97.43%,同時還有少量的Na,Sr,Mg,S,Cl等元素。為了分析牡蠣殼中的有機質成分,對牡蠣殼進行了熱重分析(TGA)。由圖1(A)可知,牡蠣殼在150℃以下的失重率為0.2wt%,基本無質量損失,這是由于牡蠣殼在煅燒前已經過充分干燥,含有的水分很少。在233~500℃的失重率為1.64wt%,對應于牡蠣殼中有機質成分的分解。當溫度升到600℃時,開始出現明顯的失重,在600~800℃范圍內,失重約為42.66wt%。由XRD(圖1(B))分析可知,牡蠣殼主要成分為碳酸鈣,因此上述階段的質量損失主要是由CaCO3分解造成的。

為了進一步確認牡蠣殼的主要成分,對乳山牡蠣殼和600℃煅燒的牡蠣殼進行XRD分析。從圖1(B)可知,牡蠣殼煅燒前后均在2θ=29.4°存在一個強峰,對應方解石的(104)特征衍射峰(JCPDS05-0586)。對比發現牡蠣殼煅燒前后主要成分是方解石型CaCO3,且煅燒后的XRD衍射峰明顯峰型尖銳,證明煅燒后的牡蠣殼粉結晶性能好。

為了分析材料的比表面積和孔徑大小,對煅燒前后的牡蠣殼進行N2-BET表征分析,結果如表2所示。煅燒后牡蠣孔徑變小,粒徑明顯增大,比表面積也相應增加了14.1%(表2)。因此,通過600℃的煅燒,不僅可去除牡蠣殼表面的有機質,還可以增大比表面積,更利于吸附。通過Zeta電位儀分析得到煅燒牡蠣殼粉的平均粒徑為4.2μm,表明樣品的粒徑較大,為微米級材料,同時牡蠣殼的表面電位為–19.1mV,為電負性,更有利于樣品吸附金屬陽離子。

2.2 吸附時間的影響
將600℃煅燒的牡蠣殼作為生物源碳酸鈣(bio-CaCO3)吸附材料,用于去除污水中的重金屬離子和有機污染物。為了研究bio-CaCO3的吸附性能,本實驗探討了不同溶液pH、離子強度、吸附溫度、反應時間等條件下bio-CaCO3對Pb(II)和MO的吸附行為和吸附機理。
反應時間對Pb(II)和MO在bio-CaCO3上的吸附效果有明顯的影響。從圖2(A)可知,3h內Pb(II)的去除率隨吸附時間的延長而快速增大,后趨于穩定,最終在約5h時達平衡,吸附率為52%。產生上述現象的原因是在反應初期,Pb(II)與CaCO3快速反應,Pb(II)的去除率快速上升;隨著bio-CaCO3剩余量不斷減少,反應速率逐漸下降直至為零。由圖2(B)可知,MO的去除率也是先快速增加后逐漸變緩,約在0.5h時達到平衡,去除率為20%,吸附量為25mg/g。反應初期,bio-CaCO3表面有充足的吸附位點,保證了MO的快速吸附,隨著接觸時間的延長,吸附位點逐漸被占據,吸附速率降低,最后達到動力學吸附平衡。

2.3 吸附動力學
為了研究bio-CaCO3對Pb(II)吸附的反應速率常數,本工作還對Pb(II)在bio-CaCO3上的吸附進行了動力學分析,具體的動力學擬合方程如下:

其中,qe(mg/g)為平衡吸附量,qt(mg/g)為t時刻吸附量,κ1(min–1)和κ2(g/(mg•min))分別為假一級和假二級動力學速率常數。Kdi(mg/(g∙h1/2))為顆粒內擴散速率常數,Ci可計算邊界層厚度。
圖3(A~C)分別是Pb(II)在bio-CaCO3上吸附的假一級、假二級和顆粒擴散模型的動力學擬合曲線。對比可以看出假二級動力學模型擬合得更好,R2為0.998(表3),表明bio-CaCO3吸附Pb(II)的過程為化學吸附。采用顆粒擴散模型對數據進行擬合(圖3(C)),相應的擬合參數如表4所示。由圖3(C)發現吸附過程分為三個步驟:第一步是Pb(II)在材料表面的外擴散,此過程由于溶液中Pb(II)具有較高濃度,在5min內反應速率很快;第二步是Pb(II)與bio-CaCO3中的CaCO3的反應階段,反應速率相對降低;第三步是吸附平衡過程,溶液中Pb(II)殘余濃度較低,反應放緩,吸附逐漸達到平衡。


2.4 pH和離子強度影響
溶液pH可以改變吸附劑的表面電荷、金屬離子的不同形態等,進而影響化學吸附過程。由圖4(A)可知,隨著溶液pH的增大,Pb(II)去除率先快速升高后達到平衡,最后再下降。當pH帶正電Pb(II)的吸附去除。當pH=6~10時,Pb(II)主要是以Pb(OH)+的形式存在,Pb(II)與bio-CaCO3充分反應直到平衡。當pH>11時,溶液中的Pb(II)以Pb(OH)2和Pb(OH)3–的形式存在,產生沉淀,同時Pb(OH)3–與帶負電的bio-CaCO3有排斥作用,不利于吸附。


離子強度可以直接影響金屬離子在溶液中的活度。本實驗以不同濃度的NaClO3為離子強度調節劑,研究離子強度對bio-CaCO3吸附Pb(II)的影響。由圖4(B)可知,當離子強度為0.001mol/L時,Pb(II)去除率最大,達到93%,這主要是由于在低離子強度時,低濃度的Na(I)與Pb(II)競爭吸附位點的作用較小導致的。當離子強度增大時,Pb(II)吸附率逐漸降低,離子強度為0.3mol/L時仍然達到90%的吸附率。離子強度對牡蠣殼吸附Pb(II)的作用較小,盡管Pb(II)吸附隨著離子強度的增大而降低。吸附過程以Pb(II)與CaCO3的反應為主,Na(I)競爭bio-CaCO3上的吸附位點作用較小。
2.5 吸附熱力學
吸附等溫線對于判定牡蠣殼對Pb(II)的吸附容量和吸附過程的本質非常重要。為了更深入地探討牡蠣殼對Pb(II)的吸附機理,采用分析吸附過程最常用的兩種等溫線模型:Langmuir(式(7))和Freundlich(式(8))模型,對實驗數據進行分析。這兩種吸附等溫模型的表達式為:

其中,Ce是平衡濃度(mg/L),qe是平衡吸附量(mg/g),qm是飽和吸附量(mg/g),KL是Langmuir吸附常數(L/mg),KF是Freundlich吸附常數(mg∙g–1)。
Langmuir吸附等溫線對實驗數據的擬合比Freundlich模型好(見圖5和表5),證明Langmuir吸附等溫模型能夠更好地解釋本實驗的吸附過程,而且bio-CaCO3對Pb(II)的吸附機理更趨向于均相介質表面的單分子層吸附。同時,通過Langmuir模型計算吸附劑的最大吸附量,不同溫度下牡蠣對Pb(II)的飽和吸附量為1775.33(25℃)>1415.94(35℃)>1237.35(50℃),mg/g。飽和吸附量隨著溫度的升高而降低,證明此吸附過程為放熱反應。


為進一步理解bio-CaCO3對Pb(II)吸附過程的熱力學過程,通過熱力學方程(式(9)和式(10)),計算bio-CaCO3吸附Pb(II)過程的熱力學參數:

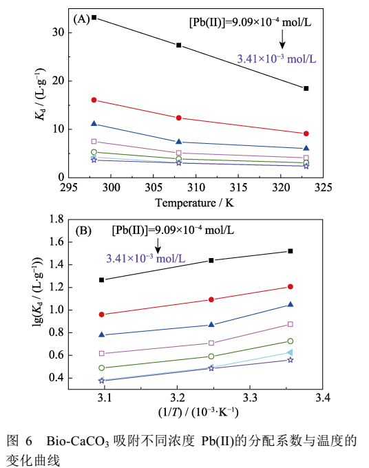
由圖6(A)可知,Pb(II)在bio-CaCO3上吸附分配系數θKd隨著溫度的升高而降低,通過θdlgK對1/T作圖(圖6(B))求得不同Pb(II)濃度下牡蠣殼對Pb(II)吸附過程的熱力學參數,如表6所示。ΔHθ=–7.64kJ/mol,為負值,表明bio-CaCO3對Pb(II)吸附過程為放熱反應,這與圖5的結論一致。不同溫度下,ΔGθ也為負值,表明bio-CaCO3對Pb(II)吸附過程為自發反應。這主要是因為bio-CaCO3在吸附Pb(II)的過程中產生了比CaCO3(Ksp=3.36×10–9)更難溶的PbCO3(Ksp=7.40×10–14)。用XRD分析吸附Pb(II)的bio-CaCO3(圖7(A))發現吸附產物主要是白鉛礦PbCO3,晶體結構分析(如圖7(B))表明其為六方對稱的斜方結構,這也與圖8(B)和8(C)中規則的棱柱狀結構相一致。



另外,由表6可知,此反應過程的ΔSθ=–17.92J/(mol•K),也為負值,表明此吸附反應為混亂度減小的過程,產物具有更有序的晶型結構。這一現象與Pb(II)在Fe2O3,Co-Fe2O3和Ni-Fe2O3材料上吸附過程正的ΔSθ有明顯的區別,這與bio-CaCO3吸附Pb(II)前后明顯的形貌變化(圖8)有關。吸附前bio-CaCO3呈現不規則的巖石塊狀結構,大小形狀不一,且表面含有孔徑為100~300nm的孔道結構,如圖8(A)所示。這種孔道結構增大了材料的比表面積,吸附Pb(II)后材料表面產生大量形貌更加規則的四棱柱結構。

2.6 吸附性能對比
實驗對比了bio-CaCO3與其它吸附材料對Pb(II)的吸附性能。298K時,此bio-CaCO3對Pb(II)的飽和吸附量高達1775mg/g,約為氧化石墨烯的1.9倍,明顯優于常用的活性炭、氧化石墨烯、皂土等吸附材料(表7)。而且基于乳山牡蠣制備的bio-CaCO3(4.93m2/g)吸附材料也明顯優于天津和廣州(2.49m2/g)的牡蠣殼,這可能與其較大的比表面積和結構有關。

對于初始濃度為60mg/L的MO,bio-CaCO3的去除效率約為45%,活性炭的去除效率為48%(圖9),表明bio-CaCO3也具有一定的有機物吸附性能。通過SEM(圖10)對比發現,bio-CaCO3吸附MO后,材料表面產生了一些具有褶皺形貌的物質。以上結果表明該生物源碳酸鈣對重金屬Pb(II)和MO有機物均具有良好的吸附能力。


三、結論
本實驗通過煅燒牡蠣殼制備生物源碳酸鈣吸附材料,用于去除污水中的重金屬Pb(II)離子和有機物MO。通過宏觀吸附和微觀表征研究了bio-CaCO3對Pb(II)和MO的去除效果,并考察了不同環境因素對bio-CaCO3吸附污染物的影響。研究發現,bio-CaCO3對Pb(II)和MO均具有良好的吸附性能,298K下,對Pb(II)的飽和吸附量為1775mg/g。結合熱力學、動力學和SEM表征分析,bio-CaCO3吸附Pb(II)生成具有規則四棱柱結構的PbCO3,且該吸附過程ΔHθ=–7.64kJ/mol,ΔSθ=–17.92J/(mol•K),ΔGθ=–2.30kJ/mol(pH=5.0,T=298K)。通過對比常見的吸附材料,所制備的bio-CaCO3吸附劑具有高效、廉價、環保等優點,在水污染治理中具有潛在的應用前景。(來源:煙臺大學 化學化工學院;華北水利水電大學 環境與市政工程學院)


