城市污水處理廠進水碳源不足是一個普遍存在的問題,導致后續脫氮效率較低。目前,解決該問題的主要方法之一是外加部分碳源,如甲醇和乙酸鈉等。添加的部分碳源還有毒性,而且藥劑成本較高。如何以較低的成本提高脫氮效率是低碳氮比污水生物脫氮亟待解決的問題,因此,尋找合適的外加碳源成為目前關注的熱點。水解酸化是把污泥中的大分子有機物分解成小分子有機物,得到揮發性脂肪酸(VFAs)的過程。而VFAs中的乙酸和丙酸是增強生物脫氮的有利碳源,其反硝化速率比甲醇和乙醇更高。
超磁分離水體凈化工藝是近年來發展起來的一種物化水處理技術。磁分離技術借助外加磁場強化固液分離效率,較生物吸附技術處理效率高,較膜分離技術能耗低,能彌補現有碳源濃縮技術各自的劣勢,滿足節能降耗需求。其能快速有效地去除生活污水中的大部分有機物,COD分離去除率約為75%,SCOD的分離去除率超過60%,TP去除率接近90%。本研究所采用的超磁分離設備的進水為生化處理前的污水,所以超磁分離污泥類似于初沉污泥。而初沉污泥中含有大量的有機物,是很好的發酵底物。目前,國內外有許多關于初沉污泥、剩余污泥以及兩者混合污泥的水解產酸的研究報道。但是對于超磁分離污泥與剩余污泥協同水解酸化的相關研究,還很少見。現有研究發現,在不調控pH,溫度為30℃的反應條件下,既可以為生化系統提供更多的SCOD,又可以避免系統過高的N、P負荷。
本研究在維持溫度30不調控pH條件下,選取了2種超磁分離后污泥(R1、R2)、剩余污泥(W1、W2),設置R1、W1為一組,設置R2、W2為另一組,進行了超磁分離污泥、混合污泥以及剩余污泥3種不同類型污泥水解酸化的對比研究,其中混合污泥為超磁分離污泥以及剩余污泥按不同比例混合后的污泥(5組)。探究了污泥性質的差異對水解酸化及酸化產物組分的影響,為污水廠通過污泥產酸發酵獲得碳源進行污泥種類的選擇提供參考。
一、材料與方法
1.1 實驗原料
R1、W1分別為污水處理廠停產前超磁分離污泥以及含水率為80%的脫水污泥;R2、W2分別為污水處理廠停產后超磁分離污泥以及某強化生物除磷(EBPR)中試工藝的二沉池中的剩余污泥。其中R1所用污水取自東壩污水處理廠細格柵之后,R2所用污水取自污水處理廠進水井(粗格柵之前)。實驗前,將W1用蒸餾水稀釋,將W2在4℃下濃縮24h,然后排出上清液。以期達到與超磁分離污泥相似的揮發性固體(VSS)。實驗前,取1d內不同時段的污泥,混合后接種。4種污泥特征(至少經過3次重復測定取平均值)結果見表1。R1、W1、R2和W2的初始pH為7.55、7.68、6.85和6.91,含水率為0.9847、0.9822、0.9683和0.9772。投加比例見表2,1~7號投加的比例以剩余污泥的體積和VSS計,其中1號為超磁分離污泥,7號為剩余污泥,2〜6號為投加了不同比例的剩余污泥。


1.2 實驗裝置與方法
超磁分離污泥水解酸化的批次實驗在恒溫培養箱中進行,實驗裝置如圖1所示,采用7個2L的反應器,接種污泥體積為1.8L。實驗開始前,曝氮氣3min,以驅除反應器中的氧氣,然后使用橡膠塞密封,橡膠塞上開2個孔,分別是氮氣袋,以及取樣口,反應器采用磁力攪拌器攪拌。

1.3 分析方法
本研究在首創東壩污水處理廠現場進行,每天早晚各取反應器的出水進行相關指標的測定。由于水解消化后污泥脫水性能變差,因此,各指標測定前須對樣品進行預處理。預處理主要包括離心及過濾2個過程。離心采用100mL的離心管,設置轉速為5000r•min-1,離心45min。然后將上清液用0.45μm的微孔濾膜過濾,去除上清液中小顆粒物質,避免阻塞測定儀器并確保測量精度。
常規分析參考文獻中的方法,其中TCOD、SCOD采用重鉻酸鉀法,TN采用過硫酸鉀氧化紫外分光光度法,TP采用過硫酸鉀氧化鉬酸銨分光光度法,SOP采用鉬酸銨分光光度法,NH4+-N采用納氏試劑光度法,VSS和SS采用重量法。pH采用HACHHQ40d測定儀測定。VFAs采用瑞士萬通883型離子色譜儀測定。
二、結果與討論
2.1 污泥水解產SCOD的變化
污泥水解情況可以使用SCOD來表示。2種剩余污泥在不同接種比例下對超磁分離污泥水解酸化的影響如圖2所示。由圖2(a)和圖2(b)可見,2種超磁分離污泥(R1、R2)自然水解產生的SCOD均在第4天達到峰值,分別為1118.68 mg•L-1和2063.50 mg•L-1,雖然兩者水解得到的SCOD不同,但是從圖2(c)可以看出,其SCOD/VSS的變化規律是一致的,最高值均出現在第4天,為110 mg•g-1。說明2種超磁分離后的污泥水解產酸的效果基本是一致的。
剩余污泥(W1、W2)自然水解產生的SCOD均在第7天達到峰值,分別為1599.88 mg•L-1和4954.80mg•L-1。由圖2(a)可以看出,2號和3號的SCOD最大值均出現在第4天,分別為1196.80 mg•L-1和1248.40 mg•L-1、4號的SCOD最大值出現在第5天,為1262.57 mg•L-1,5號、6號和7號的SCOD最大值均出現在第7天,分別為1443.68、1493.96和1599.88 mg•L-1。隨著剩余污泥比例的增加,不僅可以增加SCOD的析出量,還可以延長其達到最大值的時間;與R1、W1水解不同的是,由圖2(b)可以看出,2〜7號的SCOD最大值均在第7天,并且其隨著接種比例的增加而增大,分別為2435.30、2622.70、2668.80、3151.00、3423.20和4954.80 mg•L-1。這與蘇高強等的研究結果相似。

W1、W2產SCOD出現如此大的差異,推測其原因是:一方面,W1為脫完水后的污泥,其中聚丙烯酰胺(PAM)的存在增加了分子間的團聚性,進而減少了發酵微生物與消化基質的接觸,從而減少了SCOD的產量;另一方面,W2為某穩定運行的EBPR系統,污泥中微生物的含量較W1多,水解酸化菌通過對污泥中微生物細胞壁破壞從而促使細胞內容物釋放。
2.2 污泥產酸效果分析
水解酸化過程中產生的VFAs主要是由發酵產酸菌對可溶性有機物的吸收轉化。實驗發現,3種污泥產生的酸主要是乙酸、丙酸、正丁酸、異丁酸和正戊酸,將其乘以相應的系數換算成COD后相加,其和為揮發性有機酸量實驗選取R1、W1進行分析,污泥水解過程中VFAs的生成情況如圖3所示。由圖3可以看出,VFAs的變化規律與SCOD是一致的,均呈先增大后減少的趨勢。1號(超磁分離污泥)自然水解VFAs的峰值出現在第4天,峰值為353.54 mg•L-1,與SCOD的變化趨勢相同的是,混合污泥2〜6號分別在第4、4、5、7和7天,水解液中產生的VFAs達到最大值,分別為399.98、436.52、449.03、520.05和556.97 mg•L-1,7號(剩余污泥)自然水解產生的VFAs的峰值出現在第7天,為477.52 mg•L-1。從圖3中還來可以看出,接種剩余污泥能提高VFAs的產生量,并且隨著接種剩余污泥的增加,也能延長其VFAs達到峰值的時間。

在初始階段,污泥中易降解顆粒物質首先被水解酸化菌轉化為VFAs,隨著反應的進行,易降解物質被消耗完全,水解酸化菌開始利用較難降解的顆粒及大分子物質,這樣導致VFAs的產速變慢。由圖3可以看出:混合污泥與超磁分離、剩余污泥比較,更易酸化產VFAs。這是因為一方面混合污泥吸附大量膠體和易降解有機物,水解酸化菌能被有效利用;另一方面,超磁分離污泥中雖然有機物含量很高,但多數屬于慢速降解碳源;剩余污泥中的有機物主要存在其細胞內和胞外聚合物中,不經過有效預處理水解酸化菌難以利用。
2.3 VFAs:SCOD及VFAs組分分析
SCOD向VFAs的轉化率能直接用來反映污泥的產酸效果。實驗選取R1、W1進行分析,由圖4可以看出,在前4d,VFAs:SCOD均逐漸變大,混合污泥VFAs:SCOD比值一直領先超磁分離、剩佘污泥。1〜7號的VFAs:SCOD分別在第4、4、4、5、7、7和7天達到最大值分別為0.316、0.334、0.350、0.360、0.361、0.373和0.299。因此,僅從VFAs:SCOD來看:混合污泥較之于超磁分離具有較高的產酸優勢;且剩余污泥接種量的增加也加快了水解酸化的速率,從而加深了酸化的程度。

ELEFSINIOTIS等指出,反硝化優先利用乙酸,其次為丁酸(包括異丁酸和正丁酸)和丙酸,最后是戊酸(包括異戊酸和正戊酸)。CHEN等發現,適宜作為除磷碳源的2種有機酸為乙酸和丙酸,從短期看,乙酸作為碳源除磷效果較好,而從長期看,丙酸作為碳源要比乙酸作為碳源的除磷效果好。可見SCFAs的組成情況對其作為碳源被利用具有重要的影響。
由于超磁分離污泥SCOD在第4天即達到最大值,此時選取R1、W1進行分析,結果如圖5所示。實驗中污泥水解酸化主要生成5種揮發性脂肪酸,分別為乙酸、丙酸、正丁酸、異丁酸和正戊酸。超磁分離污泥中5種酸的含量大小為乙酸>正戊酸>正丁酸>異丁酸>丙酸,而剩余污泥中5種酸的含量大小為乙酸>丙酸>正戊酸>正丁酸>異丁酸。混合污泥中隨著剩余污泥占比的增加,丙酸和異丁酸的含量也有不同程度的增加,正丁酸出現了下降的趨勢,而正戊酸的變化不大。從圖5中易看出,各種污泥產VFAs中,乙酸均具有明顯優勢。這與蘇高強等、劉紹根等、吳昌生等的研究結果是一致的。之所以乙酸占比最高,其主要原因為:一方面,水解產物被產酸菌降解為乙酸,且乙酸可以直接從碳水化合物和蛋白質的水解酸化得到;另一方面,其他的有機酸(丙酸、丁酸或戊酸等)在某些胞內酶的作用下也可進一步生成乙酸。

2.4 污泥水解N元素的變化
不同比例的剩余污泥對N元素的影響見圖6。超磁分離污泥以及剩余污泥中含有大量的蛋白質,所以水解酸化過程中除了有VFAs、SCOD等有機物溶出以外,還會伴隨著N元素的釋放。本研究主要以NH4+-N和TN為考察對象。在以往對于污泥厭氧發酵的研究中,都出現了不同程度的N元素的釋放對于R1、W1,由圖6(a)可知,3種不同的污泥的NH4+-N都呈現出逐漸增長的趨勢。并且隨著剩余污泥接種量的增加,NH4+-N的增加量也越大。反應進行到第4天時,1〜7號的增加量分別為78.79、85.97、91.11、94.68、97.28、115.32和115.91 mg•L-1。

對于R2、W2,由圖6(b)可知,3種不同的污泥呈現出與R1、W1—樣的變化規律,不同于R1、W1的是,其NH4+-N的增加量更大。第4天,1~7號NH4+-N的增加量分別為127.34、147.56、153.53、176.34、206.19、244.41和399.83 mg•L-1。由于剩余污泥主要是由一些活性生物絮體組成,因此,含有較多的蛋白質,蛋白質水解能釋放出大量的氨氮。
系統中的TN主要是以NH4+-N的形式存在,由圖6(c)和圖6(d)中可以看出,TN具有和NH4+-N相似的變化規律。剩余污泥接種量的增加也加快了N元素的溶出,含有大量氮元素的水解酸化液若投加到脫氮系統中,勢必增加系統的N負荷。因此,剩余污泥的接種量應該綜合考慮氮元素的釋放對于整個系統后續的脫氮除磷的影響。
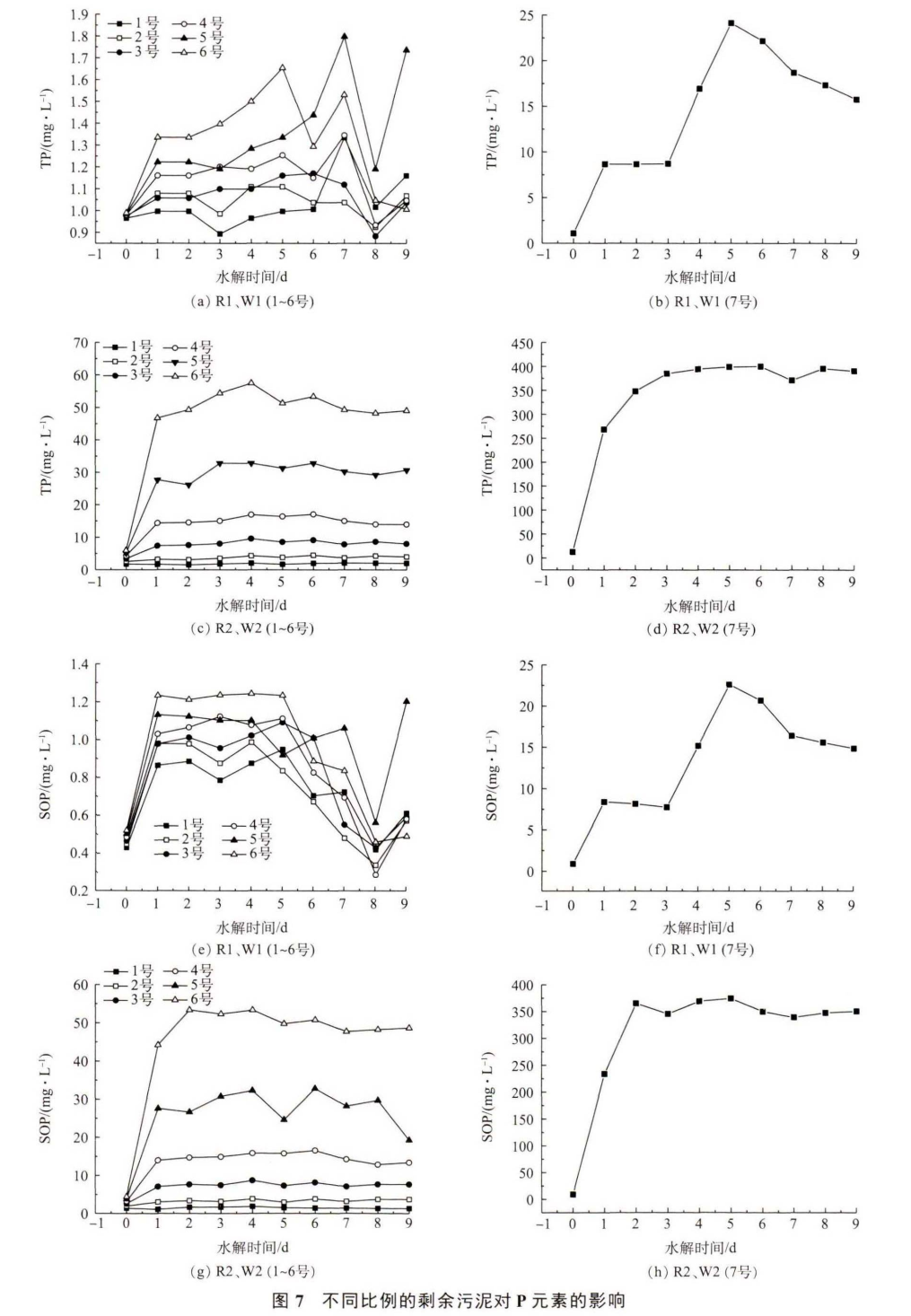
2.5 污泥水解P元素的變化
在污泥的厭氧消化過程中,隨著污泥的解體和細胞的破壁,會有大量的磷釋放到水解酸化液中。如果將水解酸化液直接用于脫氮除磷的碳源,會增加后續處理的磷負荷。所以,在此之前都會進行前處理,對氮磷進行部分回收。因此,監測P的溶出情況很有必要。
在以往對于污泥水解酸化的研究中,隨著時間的延長,都在不同程度上伴隨著磷元素的析出。吳昌生等在對堿預處理絮凝污泥水解酸化影響的研究中發現:在25℃時,磷酸鹽濃度在第480分鐘達到峰值,為7.65mg•L-1,在35t時,在第480分鐘達到峰值,為15.23 mg•L-1蘇高強等發現混合污泥厭氧發酵在第6大時磷酸鹽的釋放量為120 mg•L-1、由于超磁分離在污水處理前端就已經去除了系統中絕大多數的磷酸鹽,減輕了后續的處理壓力,所以對于超磁分離污泥的水解酸化,并不希望有P元素的析出。

對比2種超磁分離污泥(R1、R2)P的釋放情況,由圖7可知,不管是TP還是SOP,其值較初始值都沒有較大的變化,并沒有P的析出。推測可能是由于超磁分離污泥中有PAC(聚合氯化鋁),抑制了磷酸鹽的釋放。對比2種剩余污泥(W1、W2)的TP,由圖7(b)可知,TP的濃度在前5d逐漸升高,在第5天達到峰值,為此后逐漸降低。由圖7(a)可知,2〜6號TP的濃度穩定在1〜2 mg•L-1,并沒有很明顯的磷的析出;由圖7(d)可以看出,TP的濃度在第3天即達到峰值,為385.11 mg•L-1,此后濃度穩定在390 mg•L-1左右,由圖7(c)可知,2~6號TP的濃度在3d后分別穩定在4.31、9.61、16.96、32.81、57.50 mg•L-1左右。2種剩余污泥釋磷情況有巨大差異,推測其原因是:W1來源的東壩污水處理廠采用前端化學除磷工藝,所以污泥中幾乎沒有P的富集;而W2取自某穩定運行的EBPR中試實驗的二沉池污泥,其出水能穩定滿足北京市地標(DB11/890-2012)B限值標準甚至北京市地標(DB11/890-2012)A限值標準出水標準,因此,其二沉池中污泥富集了大量的磷酸鹽,污泥水解酸化時,在厭氧條件下導致了剩余污泥中的聚磷菌的釋磷。單從P元素的釋放情況來看,W2顯然不適合用作接種污泥。
2.6 綜合分析
污泥水解酸化旨在獲取較多可利用碳源,但同時也存在著氮元素的釋放。較高的氮釋放勢必會增加系統的氮負荷,同時加劇對碳源的競爭,最終降低系統的脫氮效率。因此,在污泥水解酸化反應獲得較多碳源的同時盡量減少總氮的釋放,即達到較高的△SCOD/△TN值。由于超磁分離后的污泥水解產酸在第4天達到最大值,所以考察了第4天時各污泥的△SCOD/△TN值。由圖8(a)可以看出,在第4天,3號的△SCOD/△TN值最大,為9.80,此時,剩余污泥的投加比例為12.2%。由圖8(b)可以看出,在第4天,3號的△SCOD/△TN值最大,為9.86,此時,剩余污泥的投加比例為13.6%。由此可見,在只考慮N元素的影響時,雖然2種剩余污泥來源不同,但其在第4天達到最大值時的污泥接種比例是相近的。綜合考慮剩余污泥對于超磁分離污泥水解酸化效果影響發現,當剩余污泥接種量W1為12.2%,W2為13.6%時,既可以為系統提供更多的SCOD,又可以避免過高的氮負荷。

三、結論
1)2種超磁分離污泥(R1、R2)自然水解產生的SCOD均在第4天達到峰值,剩余污泥(W1、W2)自然水解產生的SCOD均在第7天達到峰值,隨著剩余污泥接種量的增加,混合污泥SCOD的析出量也逐漸增加。
2)對R1、W1進行產酸分析發現:剩余污泥接種量的增加促進了混合污泥VFAs的生成;各種污泥產VFAs中,乙酸均具有明顯優勢,并且會促進丙酸的累積。
3)VFAs:SCOD值的分析結果表明,混合污泥較之于超磁分離、剩余污泥具有快速、髙效的產酸優勢,且剩余污泥接種量的增加也加快了水解酸化的速率并且加深了酸化的程度,但是會延長其達到峰值的時間。
4)污泥產酸發酵的同時,還存在著N元素的釋放,且隨著剩余污泥接種量的增加,N元素的釋放更明顯;對比2種剩余污泥(W1、W2),W1作為接種污泥時,并沒有明顯的P元素的釋放,當W2作為接種污泥時,伴隨著比較明顯的P元素的釋放。
5)綜合考慮剩余污泥對于超磁分離污泥水解酸化效果影響發現,當剩余污泥接種量W1為12.2%,W2為13.6%時,既可以為系統提供更多的SCOD,又可以避免過高的氮負荷。(來源:北京首創股份有限公司;青島大學環境科學與工程學)


