2019年2月粵港澳大灣區宣布成立, 并明確提出建設粵港澳大灣區要牢固樹立和踐行綠水青山就是金山銀山的理念, 實行最嚴格的生態環境保護制度.隨著大灣區部分城市航運業、養殖業的高速發展, 區域水質環境污染問題日益嚴重, 水質狀況不容樂觀.
水體黑臭是水體在有機污染情況下, 產生氨氣、硫化氫和有機酸等惡臭物質以及鐵、錳和硫化物等黑色物質所致.黑臭水體由于嚴重缺氧, 水體中大量生物無法生存, 水體生態系統遭到破壞, 失去自凈功能.黑臭水體治理方法有物理法、化學法和生物法, 生物法中的微生物在生物修復中發揮重要作用.羅家海在研究珠江廣州河段局部水體黑臭時也提出, 珠江廣州河段溶解氧低, 局部水體黑臭的主要原因是水體中氨氮太多, 大量消耗水中的溶解氧所致, 降低氨氮的含量對提高河水的溶解氧至關重要.其他學者也提出影響水體污染的因素中氮類物質占據重要地位, 特別是NH4+-N, 許多水體惡化都和其關系密切. 2018年李駿飛等監測廣州市石井河監控斷面顯示, 氨氮最高達到30.4 mg·L-1, 溶解氧僅為0.12 mg·L-1, 其它監控斷面顯示溶解氧濃度多數小于1 mg·L-1, 氨氮濃度大于10 mg·L-1水體黑臭現象嚴重.除去黑臭水體中的氮素, 需要曝氣增加水體中的溶解氧, 大功率的曝氣補充溶解氧增加了治理費用, 如何較少運行費用是黑臭水體長期治理亟需解決的問題.
對于黑臭水體的治理, 與物理化學法比較, 微生物法因投資少、運行費用低和無二次污染等優點而被廣泛用于黑臭水體治理工程中.Sheng等利用光合微生物菌劑治理山東昌邑的堤河, 結果顯示在5個月的治理周期中, 取得了較好效果, S2-濃度從2.9 mg·L-1降為0.2 mg·L-1.沙昊雷等在常州市白蕩浜黑臭水體生態治理工程中添加微生物底質改良劑以促進底泥中無機硫的礦化進程, 在項目運行過程中, 水體透明度由15 cm提升至30~40 cm.肖羽堂等修復廣東南海某黑臭河涌, 通過向底泥和上覆水體里投加培養、馴化的優勢菌種, 輔以光合細菌、硝化細菌, 上覆水體的水質顯著好轉, 水體黑臭完全消除.張麗等均勻投加生物促生劑改善河道水質, 氮、磷類營養物質得到降解, 水體修復效果明顯, 水體黑臭消除.
通過調查發現, 廣州市白云區水質污染嚴重, 呈現黑臭現象, 其中溶解氧處于0.15~2 mg·L-1之間, 氨氮在8~30 mg·L-1, 總氮12~35 mg·L-1, COD 29~373 mg·L-1.同樣研究珠海市斗門區五福涌等8條河涌黑臭水體呈現同樣特點, 溶解氧(DO)多數處于0.2~2 mg·L-1, 氨氮高于15 mg·L-1 .由此可見, 該區域黑臭水體普遍溶解氧濃度較低, 氨氮濃度較高.為保證反應正常進行, 通過曝氣提高溶解氧濃度, 溶解氧濃度過低影響硝化速率, 溶解氧濃度過高引起資源浪費, 研究通過調節曝氣泵閥門控制曝氣量, 溶解氧濃度控制在0.8~2 mg·L-1.
氨化細菌可將污染水體中的有機氮轉化為銨態氮, 有氧條件下, 硝化細菌將氨氮氧化為亞硝酸鹽氮和硝酸鹽氮;缺氧條件下, 硝酸鹽氮或亞硝酸鹽在反硝化細菌作用下還原為氮氣, 實現水體中氮的生物地球化學循環.本研究在低溶解氧黑臭水體中添加實驗室篩選的高效氨化細菌、硝化細菌和反硝化細菌制成的菌劑, 考察脫氮微生物菌劑在低溶解氧黑臭水體中的脫氮效率, 以期為大灣區珠三角地區黑臭水體的治理提供技術支持.
1 材料與方法
1.1 實驗材料
紫外可見分光光度計(WFZ UV-2802), 龍尼柯(上海)儀器有限公司;化學需氧量(COD)快速測定儀(5B-3C), 蘭州連華環保科技有限公司;Hydrolab多參數水質檢測儀型號(DS 5X, DS 5);可見分光光度計(22PC06119), 上海棱光技術有限公司;人工氣候箱(LRH-250-GS)廣東省醫療器械廠
測試菌劑添加量實驗用水為污水處理廠排放的尾水, 氨氮濃度2.31 mg·L-1、硝態氮濃度0.44 mg·L-1、亞硝態氮濃度0.189 mg·L-1.測試不同總氮濃度下的氨化、硝化菌劑實驗用黑臭水取自洨河三環橋下游100 m;該河流收納城市污水處理廠尾水以及沿途一些處理未達標污水, 河道內水流速度緩慢, 由于季節變化溫度升高, 水體黑臭嚴重, 總氮濃度實驗通過在取回的黑臭水樣中加入一定量硫酸銨和蒸餾水調整總氮濃度, 設置總氮(TN)分別為15、25和35 mg·L-13個濃度梯度.反硝化用黑臭水體取自橋東污水處理廠上游200 m處, 該處未接納城市尾水, 水體流速極度緩慢, 水體黑臭更加嚴重, 同上方法設置3個濃度梯度, 實驗溫度30~35℃, 與大灣區夏季溫度相似, 該溫度在水體氮磷及有機物過量條件下, 水體易發生富營養化導致黑臭.
實驗室采集黑臭水體水樣通過富集、篩選獲得實驗菌株:黃色菌落氨化細菌(Staphylococcus sp.Ay)、白色菌落硝化細菌(Microbacterium sp.Xw)和黃色菌落反硝化細菌(Arthrobacter sp.Fy)的16S rDNA序列可通過NCBI網站上的GenBank數據庫查閱, 登錄號分別為:MN649208、MN649209和MN649210.氨化細菌、硝化細菌和反硝化3種細菌制成的3種菌劑(菌活數)濃度分別為6.5×108、6×108和5×108 CFU·mL-1.
原菌劑濃度為低濃度和3倍菌劑濃度為高濃度(3 mL菌劑5 000 r·min-1離心5 min, 去掉2 mL上清液, 得3倍濃度菌劑); 菌劑在污水中的添加量為2%, 即低濃度時, Ay、Xw、Fy在污水中的活菌數分別為1.3×107、1.2×107和1.0×107 CFU·mL-1, 高濃度時, 細菌活菌數密度提高3倍.黑臭水體溶解氧濃度控制在0.8~2 mg·L-1.
1.2 實驗方法
氨氮測定采用奈氏比色法、亞硝酸鹽氮測定采用鹽酸α-萘胺比色法、硝酸鹽氮和總氮測定采用紫外分光光度法.
利用尾水和模擬廢水, 通過不同菌群濃度和不同底物濃度, 檢測篩選出的氨化細菌(Ay)、硝化細菌(Xw)和反硝化細菌(Fy)制成菌劑在尾水和模擬廢水中的氮轉化特征;然后在低溶解氧條件下, 研究Ay、Xw和Fy菌劑濃度不同在同濃度黑臭水體中氮代謝變化情況、以及相同菌劑濃度對不同濃度黑臭水體氮代謝特征.
2 結果與分析
2.1 檢測優化篩選菌劑不同菌劑濃度氮代謝結果
2.1.1 Ay菌劑氮代謝結果
研究通過優化篩選獲得氨化效率最高的氨化細菌菌株Ay, 制成菌劑, 其不同濃度的氨化效率與硝化、亞硝化特征如圖 1所示.

圖 1 Ay菌劑不同濃度氮代謝
由圖 1可以看出, Ay菌劑在不同濃度下, 對氮代謝趨勢基本相同, 都是氨氮濃度增加, 硝態氮和亞硝態氮濃度降低.圖 1(a)在含有較低濃度氨化細菌時, 其濃度增加168%略低于圖 1(b)高濃度濃度增加180%, 細菌濃度增加3倍, 氨濃度沒有成倍增加, 說明在此實驗條件下增加氨化細菌濃度不是增加氨化速率的最佳方法.圖 1顯示Ay菌劑對低濃度(0.44 mg·L-1)硝態氮具有較好的去除作用, 去除率達到95%以上, Ay菌劑對亞硝態氮去除效果不明顯, 增加Ay菌劑濃度去除效率沒有明顯提高.
2.1.2 Xw菌劑氮代謝結果
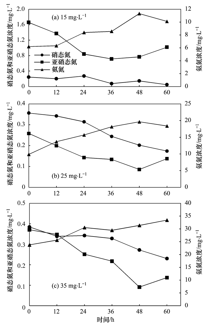
高效Xw菌劑不同濃度氮代謝變化特征如圖 2所示.

圖 2 Xw菌劑不同濃度氮代謝
由圖 2可以看出隨著時間變化, 亞硝態氮和氨氮濃度明顯降低, 硝態氮濃度明顯增加.其中顯示低濃度Xw菌劑對氨氮的去除率為54%, 高濃度Xw菌劑氨氮的去除率為46%, 表明Xw菌劑細菌濃度增加降低了氨氮的去除率.圖 2中亞硝態氮的濃度逐漸降低, 圖 2(a)中低濃度Xw菌劑對亞硝態氮的去除率為51%, 圖 2(b)中高濃度Xw菌劑的去除率為54%, 圖 2(a)與圖 2(b)表明Xw菌劑濃度變化對亞硝態氮的去除率變化不明顯.圖 2中顯示Xw菌劑對硝態氮濃度變化影響顯著, 低濃度條件下60 h硝態氮濃度增加180%, 高濃度菌劑為231%.在硝化Xw菌劑低濃度條件下60 h時, 硝態氮濃度呈現上升趨勢, 硝態氮的生成仍然在進行, 在Xw高濃度條件下48 h后, 濃度變化緩慢.以上結果表明Xw菌劑濃度增加, 開始時可以增加硝態氮的生成速率, 但隨著硝態氮濃度的增加, 硝態氮生成速率緩慢.
2.1.3 Fy菌劑氮代謝結果
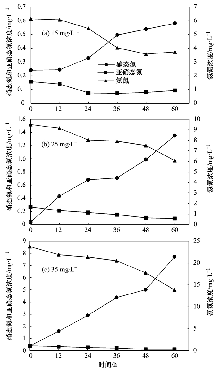
研究Fy菌劑不同濃度對不同形態氮代謝特征, 結果如圖 3所示.

圖 3 Fy菌劑不同濃度氮代謝變化
由圖 3看出隨著時間的進行, 硝態氮濃度明顯下降, 圖 3(a)中硝態氮去除率為66%, 圖 3(b)中去除率為70%, Fy濃度的增加對硝態氮的影響不明顯, 表明Fy反硝化效率較高, 在較低濃度下能很快去除硝態氮.圖 3顯示亞硝態氮濃度變化不大.不同Fy濃度條件下氨氮去除率不同, 在低濃度條件下去除率為49%, 在高濃度下為32%, 其變化趨勢隨著Fy菌劑濃度增加而降低.由以上結果比較得出, Fy菌劑亞硝態氮的生成效率較慢, 由此得出在水處理脫氮過程中, 亞硝化過程是脫氮工藝的限速步驟.
以上實驗結果得出, 氨化細菌菌劑和反硝化細菌菌劑濃度增加, 對氨化速率和反硝化速率影響不明顯, 硝化細菌菌劑濃度變化對硝態氮的生成速率有明顯影響, 但提高效率的菌劑濃度增加量過大, 經濟性較低.因此實驗采用添加2%原菌劑處理黑臭水體, 研究3種不同菌劑對不同濃度黑臭水體的氮代謝特征.具體聯系污水寶或參見http://m.dongaorq.cn更多相關技術文檔。
2.2 不同菌劑對黑臭水體不同總氮濃度氮代謝結果
2.2.1 Ay菌劑對黑臭水體不同總氮濃度氮代謝分析
研究Ay菌劑對黑臭水體不同總氮濃度氮代謝情況, 結果如圖 4, COD變化如圖 5所示.
圖 4 Ay菌劑對不同濃度黑臭水體氮代謝變化

圖 5 Ay菌劑對不同濃度黑臭水體COD代謝變化
由圖 4可以看出, 加入Ay菌劑的樣品中, 氨氮濃度都呈現上升趨勢, 60 h后, 圖 4(a)中氨氮濃度10.1 mg·L-1, 濃度增加62.9%, 低于圖 4(b)中氨氮濃度18.4 mg·L-1, 濃度增加86.4%, 但高于圖 4(c)中濃度增加40.3%, 表明Ay菌劑在總氮濃度為25 mg·L-1時氨化效率最高, 能把水體中的大分子氮高效轉化為氨氮,
可以加快后續硝化反應和反硝化反應的進行, 底物濃度過高抑制了Ay菌劑效率.圖 4顯示, 在不同底物濃度下, 亞硝態氮濃度都呈下降趨勢, 其中去除率分別為38.7%、46.9%和63%, 表明Ay菌劑對亞硝態氮去除率隨著濃度增加而增加, 增加速度緩慢.圖 4中硝態氮都表現下降趨勢,圖 4(a)中下降趨勢最明顯, 去除率達到80.5%, 隨著總氮濃度增加, 去除率逐漸降低, 圖 4(b)硝態氮去除率51.2%、圖 4(c)硝態氮去除率40.1%.圖 5顯示總氮濃度不同時COD濃度隨時間變化都呈現下降趨勢, 36 h后下降趨勢變緩, 仍然呈現下降趨勢, 總氮濃度不同COD去除率變化不大, 15、25和35 mg·L-1這3個總氮濃度, COD去除率分別為67.7%、52.8%和63.2%.以上結果表明在一定濃度范圍內, 總氮濃度的提高可以增加Ay菌劑的氨化效率, 總氮濃度過高會抑制Ay菌劑的氮氮代謝效率.因此水體發生富營養化情況下不加以控制, 持續污染增加總氮濃度, 會導致系統中菌群失衡, 降低氮轉化能力.
2.2.2 Xw菌劑對不同濃度黑臭水體氮代謝分析
Xw菌劑對黑臭水體不同總氮濃度氮代謝特征如圖 6, COD變化如圖 7所示.

圖 6 Xw菌劑對不同濃度黑臭水體氮代謝變化

圖 7 Xw菌劑對不同濃度黑臭水體COD代謝變化
由圖 6可以看出, 氨氮和亞硝態氮濃度變化總體呈現下降趨勢, 硝態氮濃度表現為上升趨勢.氨氮圖 6(a)中60 h后濃度為3.72 mg·L-1, 氨氮去除率為39.2%, 圖 6(b)中60 h時氨氮濃度為6.09 mg·L-1, 其去除率為36%, 圖 6(c)去除率為41%, 表明Xw菌劑隨總氮濃度的變化, 對氨氮去除率變化影響不明顯.亞硝態氮去除率隨著濃度的增加而增加, 圖 6中60 h后亞硝態氮的去除率在3個濃度下分別為41%、65%和72%, 因此Xw菌劑對亞硝態氮去除效果明顯, 主要由于該菌劑對氨氮去除效果不顯著, 氨氮氧化為亞硝態氮速度緩慢, 系統中亞硝態氮增加量小于減少量, 濃度明顯減少, 亞硝態去除率呈現上升趨勢.圖 6中Xw菌劑的硝態氮生成效率在3種樣品中效果較明顯, 60 h后圖 6中硝態氮在3種實驗條件下濃度增加分別為142%、3 736%和1 877%, Xw菌劑硝態氮的合成率在圖 6(b)所示條件下達到最好效果, 表明Xw菌劑的合成效率受底物濃度影響, 在一定范圍內, 增加底物濃度可以增加菌劑效率, 濃度過高將抑制氮的代謝效果.如圖 7所示, COD去除率和氨化細菌表現出相同特征, 濃度整體呈現下降趨勢.以上結果表明該菌劑在總氮濃度25 mg·L-1時效果最好.
2.2.3 Fy菌劑對不同濃度黑臭水體氮代謝分析
Fy菌劑對不同濃度黑臭水體氮代謝特征如圖 8, COD變化如圖 9所示.

圖 8 Fy菌劑對不同濃度黑臭水體氮代謝變化

圖 9 Fy菌劑對不同濃度黑臭水體COD代謝變化
由圖 8可以看出Fy菌劑對氨氮去除效果不明顯, Fy菌劑對亞硝態代謝有明顯影響, 圖 8中顯示亞硝態氮濃度較低, 但一直處于累計狀態, 整體表現出增長趨勢, 圖 8中累計濃度增加分別為461%、397%和383%, 表明總氮濃度對Fy菌劑對亞硝態氮的累計效率有影響, 隨著濃度的增加, 亞硝態氮的累計效率逐漸降低.硝態氮濃度下降趨勢明顯, 圖 8中顯示, 硝態氮在時間進行到36 h時, 去除效率逐漸平緩, 去除率在圖 8中分別為45.6%、64.3%和41.3%, 表明在圖 8(b)條件下, 總氮濃度為25 mg·L-1時, Fy菌劑對硝態氮的去除率達到最好效果.如圖 9所示, COD濃度總體呈下降趨勢, 去除率比氨化細菌和硝化細菌偏低.
3 討論
微生物菌劑是從自然界篩選高效菌種或利用生物工程技術處理后的菌株得到具有特殊功能的生物制劑.王琨等用微生物和其它生物聯合處理模擬黑臭水體, 發現微生物菌株能夠通過加速黑臭水中有機物降解, 提高溶解氧濃度, 大幅度改善水體黑臭狀態.何杰財等修復廣東南海某黑臭河涌, 通過向水體里投加培養、馴化的優勢菌種制成菌劑, 水體的水質顯著好轉, 水體黑臭完全消除.用微生物菌劑處理地表黑臭水體, 可以加快水體污染物降解和轉化, 使水體環境質量得到改善.
本研究對Ay、Xw和Fy菌劑的氮代謝特征進行了探討, 發現對氨氮、硝態氮和亞硝態氮代謝都有明顯影響, 但每種菌劑的代謝特征不同, 其中Ay的主要氮代謝方向為有機氮的氨化作用、Xw主要氮代謝方向為氨氮的硝化作用、Fy主要硝態氮代謝方向為氮的反硝化作用.早期研究普遍認為, 反硝化反應需要在嚴格厭氧條件下進行.隨后人們分離出大量有氧反硝化細菌, 主要包括屬于產堿桿菌屬(Alcaligenes)、假單胞菌屬(Pseudomonas)、芽孢桿菌屬(Bacillus)和副球菌屬(Paracoccus)等, 得出有氧反硝化細菌是一類以有機碳為能源和電子供體, 硝酸鹽、亞硝酸鹽和氧作為電子受體的好氧或兼性好氧細菌.如劉晶晶等篩選的惡臭假單胞菌, 能在有氧條件下同時將銨態氮、硝態氮及亞硝態氮轉化為氣態氮, 且在異養反硝化過程中無硝酸鹽和亞硝酸積累, 可完成生物脫氮全過程.
由于本實驗過程中氨氮濃度較高, 在硝化過程消耗了堿性物質NH4+, 生成硝酸.濃度較低對系統反應影響不明顯, 堿度變化不大, pH維持在6~8之間, 不影響反應的進行.同樣有研究指出, 在同一系統中實現同步硝化反硝化過程, 硝化反應的產物可直接成為反硝化反應的底物, 避免了硝化過程中NO3-的積累對硝化反應的抑制, 加速了硝化反應的速度;而且, 反硝化反應中所釋放出的堿度可部分補償硝化反應所消耗的堿, 能使系統中的pH值相對穩定.氨化細菌菌劑和反硝化細菌菌劑濃度增加, 對氨化速率和反硝化速率影響不明顯, 硝化細菌菌劑濃度變化對硝態氮的合成速率有明顯影響, 也可以得出氨化細菌和反硝化細菌原菌劑濃度可以滿足氮代謝需求, 硝化細菌菌劑濃度增加, 可以提高硝態氮合成速率.在菌劑Ay處理黑臭水體實驗過程中, 氨氮濃度增加, 而硝態氮和亞硝態氮減少, 由于在有機氮轉化過程中, 體系氨氮濃度同時受有機氮的氨化過程和氨氮的硝化過程控制, 氨氮隨有機氮的轉化而累積, 隨硝化過程的進行而逐漸降低.實驗結果表明Ay菌劑在氮轉化過程中, 氨化、硝化、反硝化同時進行, 但主要以氨化作用為主要代謝方向.Ay菌劑細菌濃度增加3倍, 氨化效率沒有成倍增加, 說明增加氨化細菌濃度不是增加氨化速率的最佳方法;Xw菌劑對硝態氮濃度變化影響顯著, 低菌劑濃度條件下60h硝態氮積累濃度提高180%, 高菌劑濃度為231%.Xw菌劑濃度增加, 開始時可以增加硝態氮的生成速率, 但隨著硝態氮濃度的增加, 硝態氮生成速率緩慢, 但硝態氮整體濃度較低, 雖然生成效率較高, 但濃度仍然很低.能去除亞硝酸鹽的細菌種類繁多, 作用機理復雜, 已有研究表明, 亞硝酸鹽的去除主要是通過微生物的同化作用、酶降解和酸降解完成.Fy菌劑反硝化效率在不同底物濃度條件下變化明顯, 無論在低濃度總氮還是高濃度總氮都能去除硝態氮, Fy菌劑亞硝態氮的生成效率較慢, 系統中的亞硝態氮一部分由氨氮亞硝化所得, 另一部分由硝態氮反硝化所得在反硝化階段.產生這些現象的主要原因是硝化-反硝化耦合作用為反硝化反應的主要機制, NO3--N還原成NO2--N是反硝化的限速步驟, 它比NO2--N反硝化的速率慢2倍.同樣有研究指出反硝化細菌NO3--N的反硝化速率缺氧與好氧條件相比基本相同, 因此在研究中底物濃度不同條件下, 反硝化速率變化不大.得出在水處理脫氮過程中, 反硝化過程是脫氮工藝的限速步驟.
現今大灣區面臨的水生態環境問題主要是河涌水體污染嚴重, 雖然局部得到了改善, 但黑臭水體治理的道路仍然漫長;同時, 灣區內受陸域和海洋動力的影響, 污染物的擴散和降解較為困難, 增加了治理難度, 菌劑的投加符合大灣區黑臭水體的區域和水體特征.
4 結論
(1) 每種菌劑在氮代謝過程中有主代謝方向, 同時進行其它氮代謝反應, 其代謝特征存在差異.
(2) 氨化菌劑和反硝化菌劑濃度增加, 對氨化速率和反硝化速率影響不明顯;硝化菌劑濃度變化對硝態氮的生成速率影響明顯, 硝化細菌菌劑濃度增加, 可以提高硝態氮生成速率.
(3) 在一定范圍內, 增加底物濃度可以增加菌劑效率, 濃度過高將抑制氮的代謝效果;3種菌劑在總氮濃度25 mg·L-1時, Fy菌劑對硝態氮的去除達到最好效果. (來源:河北地質大學水資源與環境學院 作者:趙志瑞)


