近幾年隨著石油的不斷開采,尤其是我國大部分油田現在已經進入了三次采油階段,采出油中含水量已達70%~80%,有的甚至已高達90%。三次采油污水中含有大量的高分子有機物、懸浮物、細菌等,乳化程度高,處理難度大,若直接排入環境中會污染地下水,對生態系統造成嚴重破壞,同時存在著嚴重的資源浪費。國內大多數油田對于采油污水只做了一些簡單的處理,這種處理后的污水往往很難達到國家排放標準,因此開展處理污水的研究具有重要的實際意義。目前,常規的含油污水處理方法主要有物理法、化學法、微生物法和組合工藝法等,常用的含油污水處理技術方法分別存在耗能大、投資費用高、設備復雜、維護困難等問題。因此,污水處理領域亟需高效、節能、經濟新技術的研究與開發。
近幾年來,利用電化學方法處理含油污水的研究得到了國內外學者的廣泛關注,其中電絮凝法由于其設備簡單、操作容易、自動化程度高、不用另加化學藥劑而漸漸地被應用于污水處理領域。
針對目前的污水特性,國內外學者開展了大量研究工作。王蓉沙等采用電絮凝技術對油田廢水進行了實驗研究,結果發現,煉油廠含油污水含油量去除率達96%,SS去除率達97%;鉆井廢水濁度去除率達96.8%,COD 去除率達97.5%;采油廢水濁度去除率達96.1%,含油量去除率達100%,以上各項指標均遠低于國家綜合污水排放標準。周朝昕用電絮凝與化學混凝聯合處理工藝處理油田含聚采出水,處理后油質量濃度小于5mg/L,懸浮物質量濃度小于1mg/L,聚合物質量濃度小于15mg/L,達到了《碎屑巖油藏注水水質推界指標及分析方法》(SY/T5329—94)A1級標準。Tir采用響應曲面法對含油污水電絮凝除油過程進行參數優化,結果發現,電絮凝處理含油污水效果顯著,電流密度為25 mA/cm2,處 理時間為 22 min,濁 度去除率達99%,化學需氧量去除率達90%。Asselin 等用電絮凝處理船舶艙底污水時得出,油脂、BOD、濁度和 TSS的去除率分別為95%、93%、98% 和99%,總處理成本為0.46美元/m3。
筆者主要對自主設計的新型電絮凝裝置開展室內及現場實驗測試,研究新型電絮凝裝置的污水凈化性能,發現并尋找新型電絮凝裝置的問題和不足,為電絮凝裝置的結構設計提供理論指導。
1 電絮凝原理
電絮凝除油技術是在外電場作用下,可溶性陽極溶解后生成大量絮凝劑,陰極產生穩定均勻的氣泡,通過絮凝沉降、氣浮、氧化還原除去水中雜質的方法。電極反應:
陽極(Al):Al(s)→Al3+ (aq)+3e-
陰極(Al):2H2O+2e- →H2↑+2OH-電絮凝凈化污水過程機理如圖1所示。

圖1 電絮凝過程機理
(1)絮凝作用:陽極發生氧化反應,可溶性金屬陽極溶解產生的金屬離子在水中發生水解反應,生成一系列多核水解產物,這類物質活性高、吸附能力強,是極好的絮凝劑,與原水中的有機污染物、懸浮物、可溶性污染物、細菌、病毒等結合生成較大絮狀體,沉淀到水底被去除。研究表明:金屬 Al3+ 與羥基離子水解后形成單絡合物,隨著羥基鋁離子增多,剩余孤對電子,羥基配位能力飽和,可與另一個Al3+ 逐漸聚合為羥基橋聯結構,形成2個羥基鍵橋,從而由單核鋁的絡合物進行縮聚反應緩慢聚合成表面富含羥基的一系列多核高分子網狀聚合物,最終轉化成不定型[Al(OH)3]n 高分子絮凝劑。單絡合物主要是:Al(OH)2+ 、Al(OH)+和 Al(OH)- ,聚合物主要有:Al2(OH)4+ 、Al2(OH)5+ 、無定形不溶物 Al(OH) 和 AlO。
(2)氣浮作用:陰極發生還原反應,陰極電解生成的氣體以微小氣泡的形式出現,與原水中的污染物粘附在一起,在浮力的作用下浮升至水面被去除。該氣泡尺寸遠遠小于加壓氣浮的氣泡尺寸,因此,對有機污染物的去除能力也更強、更徹底。
(3)氧化還原作用:在電壓作用下,原水中的部分有機物會發生氧化反應,變成低分子有機物,甚至直接被氧化為 CO2 和 H2O;陰極產生的新生態氫,還原能力很強,可與廢水中的污染物發生還原反應,降解部分污染物。
2 室內實驗研究
2.1 實驗流程
室內含油污水處理系統如圖2所示。主要設備為自主設計的新型電絮凝裝置,其中電極板與電源連接形式如圖3所示。

圖2 電絮凝含油污水處理系統

圖3 電極連接方式
.2 實驗方法
2.2.1 模擬污水
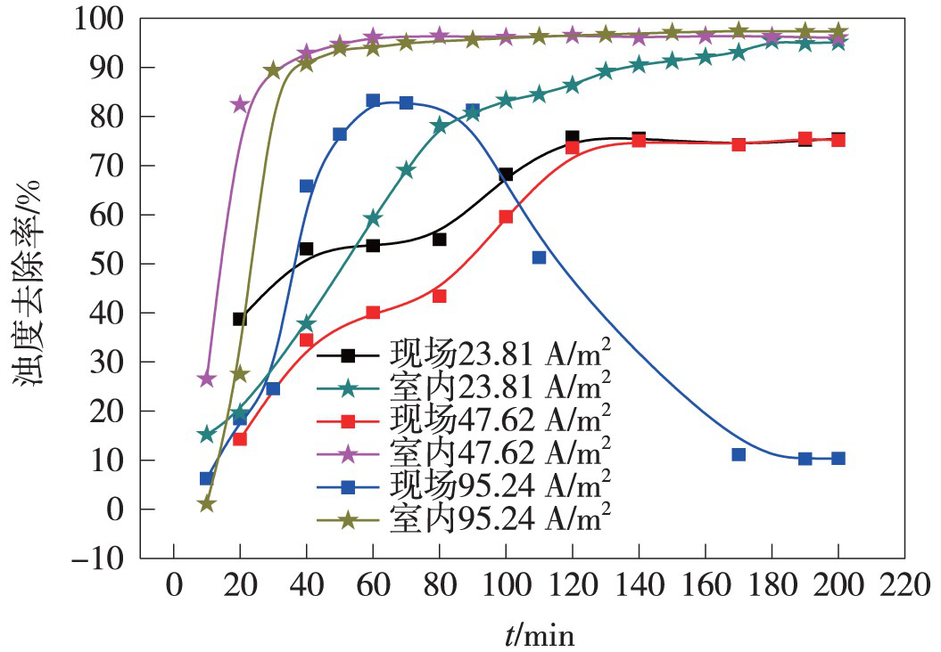
在每10L 自來水中加入2g表面活性劑和10g0# 柴油,于 10000r/min 的剪切速度下攪拌 10min,為提高原水電導率,加入20gNaCl,并調節pH 為中性,得到模擬含油污水。初始油質量濃度為600mg/L 左右,濁度為1000NTU 左右。
2.2.2 測量方法
分別控制裝置出入口流速與電流密度進行實驗,在取樣出口定期抽取20 mL 處理液進行測量。根據石油天然氣行業標準SY/T0530—1993油田污水中含油量測定方法,采用 A360 型紫外分光光度計(上海天普分析儀器有限公司生產),在波 長為220nm 處測定油的質量濃度,計算除油率:
![]()
式中:C0 為初始污水中油的質量濃度(mg/L);C1為處理后水中含油質量濃度(mg/L)。
濁度的測量采用上海儀電科學儀器股份有限公司生產的 WZS-186 型濁度計。電導率采用上海儀電科學儀器股份有限公司生產的 DDSJ-308F 型電導率儀進行測量。根據 GB11901—89 中固體懸浮物的測定方法,采用重量法對污水樣中的固體懸浮物進行測量。
為保證每次實驗條件的一致性,有效進行對比實驗,將電極放入丙酮溶液中浸泡10min 后取出,再于5%的稀鹽酸中浸泡10min后用海綿擦拭并用自來水沖洗3 次。電解槽用鹽酸溶液清洗15min。為保證實驗數據的可靠性,每組實驗重復3次,相對誤差 保 證 不 得 超 過 5%,取 平 均 值 為 最 終 實 驗結果。
2.3 實驗結果
2.3.1 電流的影響
工況參數:極板間距為1.8cm,投放 NaCl的質量濃度為2g/L,污水初始pH=7,保持流量20L/h不變,設定電流密度分別為23.81、47.62、95.24A/m2,電解200min,考察電流密度對除油率和濁度去除率的影響,實驗結果分別如圖4、圖5所示。

圖4 電流密度對除油率的影響
由圖4、圖5 可以看出,當電流密度大于23.81

A/m2 時,電解50 min 即可達到穩態;且電流密度越大,達穩態時的處理效果越好,穩態時除油率達
90%以上,濁度去除率達97% 以上。根據法拉第定律,電流密度越大,電極反應速度越快,陽極溶解的 Al3+ 量增多,氣泡產生速率高。因此水解后形成的絮體增多,生成更多細小氣泡,其表面積較大,更容易吸附污染物。具體聯系污水寶或參見http://m.dongaorq.cn更多相關技術文檔。
2.3.2 流量的影響
工況參數:極板間距為1.8cm,投放 NaCl的質量濃度為2g/L,污水初始 pH=7,保持電流密度90.48A/m2 不變,設定流量分別為10、20、40L/h,電解200min,考察流量對除油率和濁度去除率的影響,結果分別如圖6、圖7所示。

圖6 處理流量對除油率的影響
由圖6、圖7可以看出,除油率和濁度去除率隨處理流量的增大而減小,這是由于處理流量越大,含油污水在裝置內的停留時間越短,反應越不充分,處理效果越差。
3 現場實驗研究
現場實驗系統如圖8~圖11所示。
3.1 實驗方法

圖7 處理流量對濁度去除率的影響

圖8 一次沉降罐出口管線

圖9 含油污水電絮凝凈化裝置

圖10 絮狀物排放井口

圖11 處理后的清水排放井口
.1.1 污水特性
現場實驗地點為勝利油田樁西聯合站。實驗采用單因素分析法。污水溫度為 15~20 ℃,pH 為6.863~7.246,電導率平均值為9 mS/cm,含油量100~300μg/g,濁度平均值 40NTU,固體懸浮物100~200mg/L。
3.1.2 測量方法
測量方法與室內實驗一致。
3.2 實驗結果
3.2.1 電流的影響
工況參數:斜管邊長為2cm,極板間距為1.8cm,保持站場的污水特性不變,流量固定為10L/h不變,設定電流密度分別為23.81、47.62、95.24A/m2,電解140min,考察電流密度對除油率和濁度去除率的影響,結果如圖12~圖14所示。

圖12 電流密度對除油率的影響
由圖12 可以看出,相比電流密度為23.81A/
m2 時的處理效果,電流密度為47.62A/m2 時除油率顯著增加。當電流密度增大到95.24A/m2 時,電解前期除油率高于47.62A/m2 時的除油率,其余時間除油率基本持平。由圖13、圖14 可以看出,濁度去除率和固體懸浮物去除率隨著電流密度的升

圖13 電流密度對濁度去除率的影響

圖14 電流密度對SS去除率的影響
高有先增大后減小的趨勢,這是由于隨著電流密度的升高,產生的絡合物逐漸增多,去除率不斷增大,但裝置的沉降能力有限,當電流密度進一步增大時,去除率反而逐漸降低。
3.2.2 流量的影響
工況參數:斜管邊長為2cm,極板間距為1.8cm,保持站場的污水特性 不變,電 流密度固定為47.62A/m2 不變,設定流量分別為10、20、25L/h,電解140min,考察流量對除油率和除濁率的影響,結果如圖15~圖17所示。
由圖15、圖17可以看出,除油率和固體懸浮物去除率隨處理流量的增大而減小,這是由于處理流量越大,污水在裝置內的停留時間越短,反應越不充分,并且流速過大產生的絡合物來不及沉淀便隨水流一起流到裝置出口使去除率降低,導致裝置處理效果變差。由圖16可以看出,3 種工況的處理效果差別不大,規律性不太明顯。
4 室內外實驗結果對比
4.1 電流的影響
對同樣工況的室內外電流的影響進行對比分

圖15 處理流量對除油率的影響

圖16 處理流量對濁度去除率的影響

圖17 處理流量對SS去除率的影響
析,結果如圖18、圖19所示。
由圖18、圖19可以看出,室內實驗的處理效果更好。電流密度越大,室內實驗的去除率越高,而現場實驗規律恰好相反,原因如下:一是室內配置模擬污水和現場污水性質不同,室內配置的乳狀液比較穩定,含油量大,實驗過程產生大量泡沫,而現場污水懸浮物含量多,實驗過程中產生的絮狀物量大,絮狀物過量造成斜管的堵塞,使處理效果下降;二是現場實驗過程中水源不穩定,含油質量濃度在100~1000mg/L之間變化;三是來水流量不穩定,對實驗
圖18 室內和現場除油效果比對
圖19 室內和現場濁度去除效果比
結果造成影響。
4.2 流量的影響
對同樣工況的室內外流量的影響進行對比分析,結果如圖20、圖21所示。

圖20 室內和現場除油效果比對
由圖20、圖21可以看出,室內實驗的處理效果更好,隨著處理流量的減小,去除率越高,這是由于流量小,污水的停留時間長,實驗過程中產生的大量絮狀物有充足的時間沉淀,絮狀物不會因為流速過

圖21 室內和現場濁度去除效果比
大而被帶到出口。
4 結論
通過室內外實驗研究發現,裝置存在以下主要問題:
(1)斜管沉降工作效率低。斜管沉降區因斜管與裝置內壁面之間密封不嚴,導致斜管沉降區內存在竄流,處理液無法通過斜管流道實現穩定沉降,降低了斜管的沉降效率。
(2)絮凝沉降時間短。除因竄流導致的斜管沉降效率低外,裝置的絮凝沉降區尺寸不夠,無法有效實現反應液中的絮凝體的有效沉降。(來源:中國石油大學(華東)儲運與建筑工程學院)


