近些年,地表水和地下水中的高氯酸鹽(ClO4-)污染已成為十分嚴峻的問題. ClO4-能抑制甲狀腺對碘離子的吸收從而影響人體的健康,因此,ClO4-污染問題逐漸得到廣泛關注. 由于ClO4-具有非揮發性、 強穩定性、 高溶解性等特點,一般的物理化學法很難將其徹底去除,并且耗資大. 生物法因其較徹底,成本低,成為最受關注的處理ClO4-廢水的方法之一. 生物法分為異養生物法和自養生物法,其中異養生物法以有機物為電子供體,污泥產量高,易造成二次污染; 而自養生物法以無機物作為電子供體,從而避免了這些問題.
自養還原ClO4-所需電子供體通常是氫氣、 還原態硫(S2-、 S0、 S2O32-)、 零價鐵等無機物,因硫顆粒微溶于水,具有來源廣泛、 價格低廉等優點成為自養法降解ClO4-的研究熱點. 硫自養還原ClO4-的理論反應如式(1)所示:
微生物以硫顆粒作為電子供體,以ClO4-作為電子受體,最終將ClO4-完全轉化為無毒無害的Cl-同時產生副產物SO42-.
2007年Ju等通過首次研究了硫顆粒作為電子供體自養還原ClO4-的可行性,同時分析了SO42-實際產量高于理論產量的原因是由于硫歧化的發生. 目前許多研究者都是利用硫自養反應器降解低濃度的ClO4-廢水. 如2009年Gao等利用硫自養反應器將ClO4-濃度為4~8 mg·L-1的廢水降至0.05 mg·L-1以下. 2011年Boles等利用硫自養反應器進行了中試規模的實驗,將ClO4-濃度為12.6 mg·L-1的廢水降至15 μg·L-1以下. 除此之外,利用硫自養反應器進行污染物如ClO4-、 NO3-等的降解時,最大的問題就是出水SO42-濃度過高.
盡管近年來對于硫自養填充床反應器降解ClO4-的研究已逐漸成熟,但目前對于硫自養反應器處理高濃度ClO4-廢水,和如何控制硫自養反應器出水SO42-過高的問題還沒有很好的解決方案. 基于以上研究背景,本文以硫自養填充床反應器降解ClO4-為體系,通過改變進水ClO4-濃度和HRT,著重考察硫自養反應器去除ClO4-的效率、 SO42-的產率及反應過程中pH及堿度的消耗量,同時對反應器內菌群結構進行分析,進一步考察其降解ClO4-的規律,以期為該技術的實際應用提供參考.
1 材料與方法
1.1 實驗裝置
本實驗所用硫自養ClO4-還原反應器為升流式固定床反應器,圖 1為實驗裝置. 反應器內徑為10 cm,有效高度為45 cm,材質為有機玻璃. 反應器內填充載體為硫單質和石英砂(V硫:V砂=2:1),裝填體積為3.6 L. 硫顆粒和石英砂粒徑均為2~3 mm,反應器內孔隙率為0.4,反應器有4個不同高度的出水口,分別為出水口1(60 mm),出水口2(180 mm),出水口3(300 mm),出水口4(390 mm),菌群結構分析所取泥樣分別來自取樣口1(60 mm)和取樣口3(300 mm).

圖 1 實驗裝置示意
1.2 實驗材料
本實驗采用的活性污泥取自石家莊市橋西污水處理廠的二次沉淀池,將污泥沉降半小時,取沉降后的污泥與按比例混勻的硫和石英砂混勻,直接填充至反應器內,測得此時的污泥量(以SS計)為8 g·L-1. 然后開始間歇式馴化掛膜7 d(先進水后停滯12 h,然后連續運行12 h,依次重復7 d),開始連續進水. 采用人工模擬高濃度ClO4-地下水,反應器進水均用自來水配制,其主要成分: K2HPO4·3H2O,0.25 g·L-1; NaHCO3·H2O,1.50 g·L-1; NH4Cl,0.15 g·L-1; NaClO4,0.14~0.27 g·L-1(在不同階段ClO4-的濃度由50 mg·L-1增加到194 mg·L-1); 微量元素為1 mL·L-1. 微量元素培養基的組成: EDTA,0.50 mg·L-1; MnSO4·H2O,0.50 mg·L-1; FeSO4·7H2O,0.10 mg·L-1; CaCl2,0.10 mg·L-1; ZnSO4·7H2O,0.10 mg·L-1; CuSO4·5H2O,0.01 mg·L-1; Na2MoO4·2H2O,0.01 mg·L-1; Na2WO4·2H2O,0.01 mg·L-1,NiCl2·6H2O,0.02 mg·L-1.
1.3 運行條件
實驗運行調控參數如表 1,前4個階段水力停留時間(HRT)為12 h,ClO4-的濃度由50 mg·L-1依次增加到100、 150、 194 mg·L-1,然后ClO4-濃度穩定在194 mg·L-1,減少HRT分別為9 h和4 h,共分為6個階段. 每個階段內,定時監測進出水各離子濃度、 pH值和堿度等指標,待出水ClO4-濃度連續4 d去除率在96%以上,則改變條件開展下一階段的實驗.
表 1 運行調控參數
1.4 分析方法
ClO4-、 SO42-、 Cl-、 S2-都用離子色譜(Dionex 1100)進行測定,所用分析柱為AS20(4 mm×250 mm)和保護柱AG20(4 mm×50 mm).采用梯度淋洗的方法,淋洗液為KOH,(0~10 min為15 mmol·L-1淋洗,10~21 min為40 mmol·L-1淋洗),淋洗液流速1.0 mL·min-1,柱溫 30℃. 反應器不同位置的菌群結構基于16S rDNA基因的V3-V4區DNA序列PCR擴增與高通量測序技術進行分析,其中測試的序列數分別為1361(反應器上部菌群結構)和1498(反應器下部菌群結構)(上海生工生物工程有限公司); pH使用 PHS225C 型數字酸度計進行測定; 氧化還原電位(ORP)使用ORP計進行測定; 堿度采用標準方法進行測定.
2 結果與討論
2.1 硫自養反應器高氯酸鹽的去除及硫酸鹽的產生
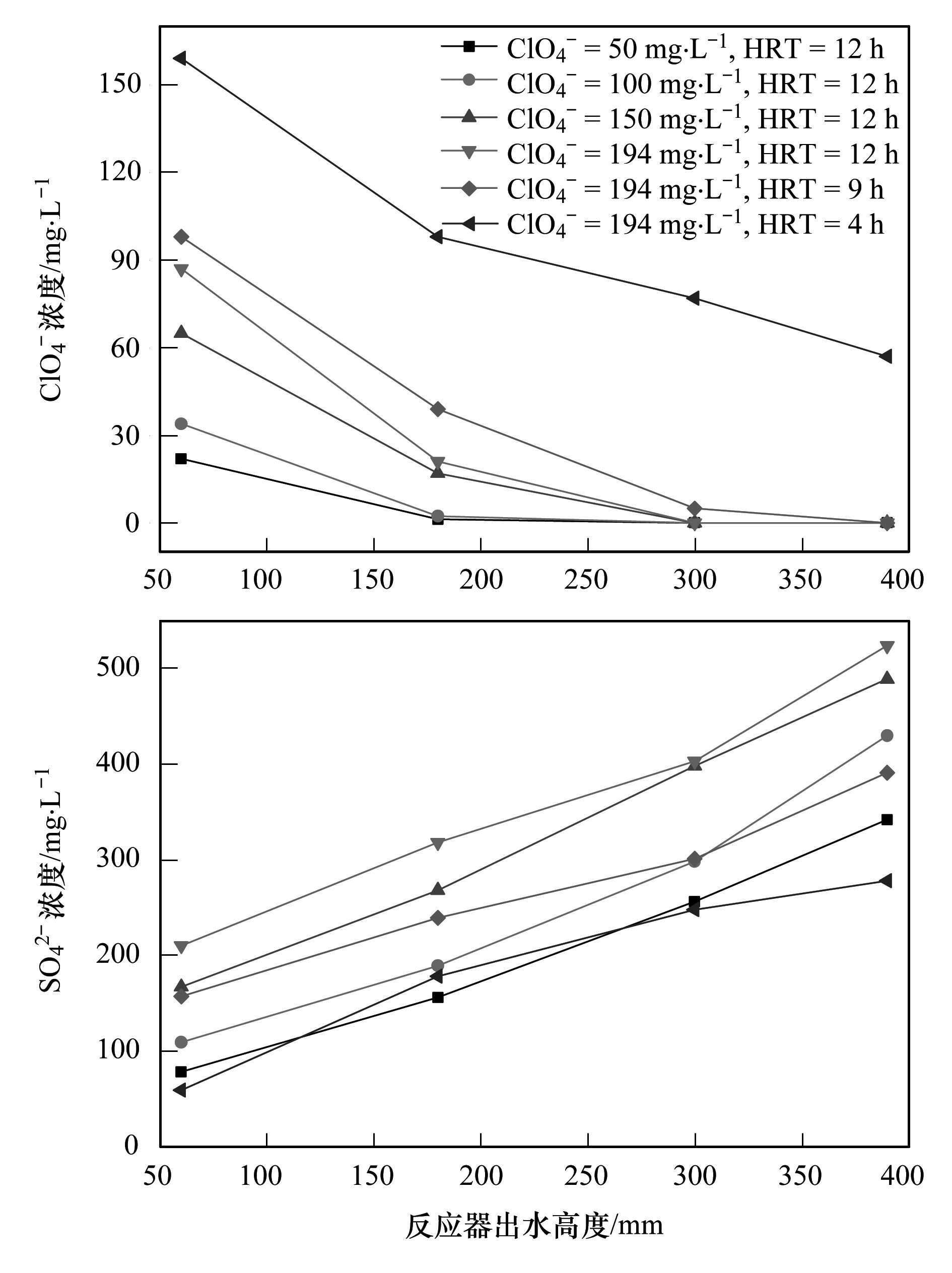
反應器在運行期間ClO4-的去除效果及SO42-的產生量如圖 2所示. 反應器在運行的前4個階段HRT為12 h,主要考察進水ClO4-的濃度分別為50、 100、 150和194 mg·L-1時對反應器降解ClO4-及生成SO42-的影響; 反應器運行的第Ⅳ、 Ⅴ、 Ⅵ 階段主要考察在進水ClO4-濃度為194 mg·L-1時,HRT分別為12、 9、 4 h時反應器降解ClO4-及生成SO42-的影響.

圖 2 硫自養反應器運行過程中高氯酸鹽及硫酸鹽的變化
反應器在運行的前5個階段分別在第23、 33、 48、 58和85 d時ClO4-的去除率達到了100%; 第Ⅵ階段,HRT減少為4 h,進水ClO4-濃度194 mg·L-1,ClO4-的去除率最終穩定在72%左右. 以上結果表明,在維持較長的HRT條件下,進水ClO4-的濃度增加至194 mg·L-1時,ClO4-的去除率并不會受太大影響,然而減少HRT,降低了ClO4-傳遞至生物膜內的時間,導致ClO4-的去除率受到了較大影響,所以傳質是限制ClO4-降解速率的主要原因. Sahinkaya等研究表明較高的上升流速會限制硫的溶解從而影響了硫自養的降解效率.
隨著進水ClO4-濃度的增加,SO42-的產生量也在增加,進水ClO4-濃度為194 mg·L-1時,由反應方程式(1)得對應的理論SO42-的量250 mg·L-1(國家飲用水標準),而實際產生的SO42-的量高達500 mg·L-1. 萬東錦等的研究表明在缺溶解氧及缺少電子受體的條件下,硫顆粒上的歧化菌即會發生歧化反應. Ju等通過序批式實驗觀察到了硫自養ClO4-還原過程中存在著硫歧化反應. 當進水ClO4-的濃度為194 mg·L-1,HRT由12 h減少到4 h時,由圖 2可得,出水SO42-的量由500 mg·L-1減少到250 mg·L-1. 其原因可能是進水流速增加抑制了硫歧化細菌的生長,并且在較快的水力沖刷速度下減少了硫歧化的反應時間. 同時由圖 2可得理論產生SO42-的量與實際產生SO42-的量的比值隨著進水ClO4-濃度的增加而增加,硫的利用率也在增加. 結果表明,增加進水ClO4-濃度及減少HRT都會提高硫的利用率,但當上升流速過快時,由于ClO4-的去除率低,對SO42-的產量影響較大.
2.2 pH和堿度的變化
如圖 3所示,反應器的進水pH穩定在8.0左右,出水pH穩定在6.5~7.0之間,反應方程式(1)表明硫自養降解ClO4-是一個產酸的反應,1 mol的ClO4-產生2.66 mol氫質子. 在前4個階段,堿度消耗隨著進水ClO4-濃度的增加而增加,進水ClO4-濃度由50 mg·L-1增加到194 mg·L-1時對應的pH變化不大,并且穩定在6.7左右,同時堿度(以CaCO3計)消耗由200 mg·L-1增加到450 mg·L-1,在后3個階段,HRT對出水pH波動較大,并且隨著HRT的減少而增加,堿度消耗量隨著HRT的減少而降低. 進水ClO4-濃度為194 mg·L-1,當HRT由12 h減少到4 h時,堿度(以CaCO3計)消耗由450 mg·L-1減少到300 mg·L-1. Sahinkaya等研究表明硫自養降解過程中會有硫歧化的發生,該反應是一個產酸的反應. 在缺溶解氧、 缺少電子受體的條件下,會發生硫歧化反應,增加上升流速,抑制了硫歧化菌的增長,縮短了硫歧化的反應時間,即減少了硫歧化反應的發生,同時減少了酸的產生量,也減少了堿度消耗. 結果表明,堿度消耗量隨進水ClO4-濃度的增加而增加,隨HRT的減少而減少.

圖 3 硫自養反應器中pH及堿度的變化
2.3 硫自養反應器內ORP的變化
ORP的變化與反應器體系內的反應相關,所以通過檢測反應器內不同位置的ORP能夠間接地反映反應器不同位置所發生的反應[25]. 通過檢測不同位置ORP、 出水SO42-和ClO4-濃度的變化,來表征反應器內不同位置主反應的變化,同時對反應器的不同位置進行菌群結構分析.
如圖 4所示,反應器下部(距反應器底部60 mm),在運行第10 d的時候基本穩定在-380 mV,并且隨進水ClO4-濃度的變化并沒有太大變化,但當HRT為9 h和4 h時,ORP分別為-360 mV和-330 mV. 溶解氧的減少會導致ORP的降低,減少HRT即增加進水流速,導致進水溶解氧的消耗減慢,從而使ORP增加. 反應器上部(距反應器底部300 mm)的ORP隨著馴化時間的增加,由反應器最開始的-370 mV增加到-260 mV,由此可得,反應器上部發生的主體反應在發生變化,同時反應器下部和反應器上部的菌群結構在發生變化.

圖 4 硫自養反應器中ORP的變化
如圖 5所示,在反應器的不同出水高度進行取樣測定,在前4個階段中,ClO4-在距反應器底部300 mm的高度時就已經降解完全,且在距反應器底部390 mm的高度中SO42-的產生量并不會隨著ClO4-已經降解完全而減少,說明在反應器的上部發生的是其他的副反應如硫歧化反應. 為了進一步分析硫自養反應器內不同位置發生的不同反應,從反應器上部和下部中分別采樣進行菌群結構分析,如圖 6所示,實驗結果展示了屬水平菌群分布隨反應器高度的變化,反應器下部與反應器上部的優勢菌群均為Sulfurovum,所占比例分別為57.78%和32.19%,但反應器上部Hydrogenophilaceae的比例為22.24%,而反應器下部Hydrogenophilaceae的比例僅為4.35%. Gao等得出Sulfurovum為硫氧化菌可以將硫氧化成SO42-,同時將ClO4-還原成無毒無害的Cl-. Hydrogenophilaceae為一種嗜氫菌,分析可能是由于反應器內存在硫歧化反應進而產生硫化氫,而反應器下部的比例要小于反應器上部的比例,所以反應器內下部主要是硫的氧化及ClO4-的降解,而反應器上部主要的反應體系為硫氧化及硫化氫的氧化.具體參見污水寶商城資料或http://m.dongaorq.cn更多相關技術文檔。

圖 5 高氯酸鹽及硫酸鹽濃度隨反應器出水高度的變化

圖 6 屬水平菌群分布隨反應器高度的變化
3 結論
(1) SO42-理論產生的量與實際產生的量的比值,由第Ⅰ階段的0.2最終增加到第Ⅵ階段的0.8,說明硫自養降解ClO4-過程中硫的利用率會隨著ClO4-的進水濃度增加及HRT的減少而增加.
(2) 進水pH值與堿度(以CaCO3計)分別穩定在8.0左右和500 mg·L-1,而出水pH值與堿度(以CaCO3計)分別為6.7和100 mg·L-1,說明硫自養降解ClO4-的過程是一個產酸耗堿的過程,同時堿度消耗隨進水ClO4-濃度的增而增加,隨HRT減少而減少.
(3) 硫自養反應器內的菌群結構隨高度的變化而變化,硫氧化菌Sulfurovum在反應器下部與上部的比例分別為57.78%與32.19%,硫化氫氧化菌Hydrogenophilaceae在反應器下部與上部的比例分別為4.35%與22.24%.



