公布日:2023.11.14
申請日:2023.09.14
分類號:C02F11/12(2019.01)I;C02F11/143(2019.01)I;C02F11/147(2019.01)I
摘要
本發明屬于污泥處理技術領域,具體涉及一種污泥處理系統、處理污泥的方法和脫水污泥的應用。本發明提供的污泥處理系統,包括脫水裝置、出口與脫水裝置進口連通的炭漿容器、與脫水裝置進口連通的絮凝劑輸送單元、與脫水裝置進口連通的污泥濃縮池、與脫水裝置出口連通的污水池和與脫水裝置出口連通的脫水污泥容器。本發明還提供了一種利用上述技術方案所述污泥處理系統處理污泥的方法,包括以下步驟:分別將污泥濃縮池中污泥、炭漿容器中炭漿和絮凝劑輸送單元中絮凝劑輸送至脫水裝置中混合進行固液分離,得到脫水污泥。利用炭顆粒對污泥進行調質,改善了污泥脫水特性,在提高污泥脫水率的同時提高了脫水污泥的熱值。

權利要求書
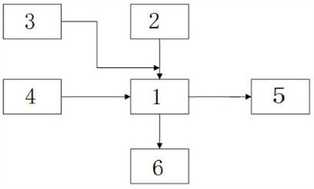
1.一種污泥處理系統,其特征在于,包括脫水裝置(1)、出口與所述脫水裝置(1)第一進口連通的炭漿容器(2)、與所述脫水裝置(1)第二進口連通的絮凝劑輸送單元(3)、與所述脫水裝置(1)第三進口連通的污泥濃縮池(4)、與所述脫水裝置(1)第一出口連通的污水池(5)和與所述脫水裝置(1)第二出口連通的脫水污泥容器(6)。
2.根據權利要求1所述污泥處理系統,其特征在于,所述炭漿容器(2)進口還連通有混合器(7),所述混合器(7)進口分別與定量器(9)出口、添加劑輸送單元(10)出口和脫水裝置(1)出口連通,所述定量器(9)進口與顆粒炭容器(8)出口連通。
3.根據權利要求2所述污泥處理系統,其特征在于,所述混合器(7)為球磨機、棒磨機、振動磨機或攪拌磨機;所述脫水裝置(1)為機械壓濾式脫水設備或離心式脫水設備。
4.根據權利要求1所述污泥處理系統,其特征在于,所述脫水裝置(1)和污泥濃縮池(4)之間設置有輸送泵。
5.一種利用權利要求1~4任一項所述污泥處理系統處理污泥的方法,包括以下步驟:分別將污泥濃縮池(4)中污泥、炭漿容器(2)中炭漿和絮凝劑輸送單元(3)中絮凝劑輸送至脫水裝置(1)中混合調質后進行固液分離,得到脫水污泥儲存于所述脫水污泥容器(6)中;所述炭漿含有顆粒炭和添加劑,所述顆粒炭的平均粒徑小于18mm,比表面積大于25m2/g,發熱量小于7000kCal/kg;所述添加劑包括分散劑和穩定劑。
6.根據權利要求5所述處理污泥的方法,其特征在于,所述炭漿的制備方法包括以下步驟:分別將顆粒炭容器(8)中顆粒炭、添加劑輸送單元(10)中添加劑和脫水裝置(1)固液分離得到的污水輸送至混合器(7)中混合,得到炭漿;所述顆粒炭經過定量器(9)輸送至混合器(7)。
7.根據權利要求5或6所述處理污泥的方法,其特征在于,所述分散劑和顆粒炭的質量比為0.5~1.5:100,所述穩定劑和顆粒炭的質量比為0.025~0.15:100;所述炭漿的固含量為50~60%。
8.根據權利要求7所述處理污泥的方法,其特征在于,所述分散劑包括萘系分散劑、腐殖酸系分散劑、木質素系分散劑、聚烯烴系分散劑和丙烯酸系分散劑中的一種或多種;所述穩定劑包括無機鹽穩定劑或有機高分子穩定劑;所述無機鹽穩定劑為可溶性鹽類穩定劑;所述有機高分子穩定劑包括聚丙烯酰胺、聚丙烯酸鈉、聚乙烯醇、纖維素、瓜爾膠、黃原膠和阿拉伯膠中的一種或多種。
9.根據權利要求5所述處理污泥的方法,其特征在于,所述絮凝劑為有機高分子絮凝劑和/或無機絮凝劑;所述絮凝劑和污泥的干基質量比為0.1~1:100;所述炭漿中的顆粒炭和污泥的干基質量比為0.1~0.5:1。
10.按照權利要求5~9任一項所述處理污泥的方法處理得到的脫水污泥在燃料中的應用。
發明內容
有鑒于此,本發明提供了一種污泥處理系統、處理污泥的方法和脫水污泥的應用,利用本發明提供的污泥處理系統處理得到的脫水污泥進行燃燒時具有較高的熱值,提高了污泥的利用率。
為了解決上述技術問題,本發明提供了一種污泥處理系統,包括脫水裝置、出口與所述脫水裝置第一進口連通的炭漿容器、與所述脫水裝置第二進口連通的絮凝劑輸送單元、與所述脫水裝置第三進口連通的污泥濃縮池、與所述脫水裝置第一出口連通的污水池和與所述脫水裝置第二出口連通的脫水污泥容器。
優選的,所述炭漿容器進口還連通有混合器,所述混合器進口分別與定量器出口、添加劑輸送單元出口和脫水裝置出口連通,所述定量器進口與顆粒炭容器出口連通。
優選的,所述混合器為球磨機、棒磨機、振動磨機或攪拌磨機;
所述脫水裝置為機械壓濾式脫水設備或離心式脫水設備。
優選的,所述脫水裝置和污泥濃縮池之間設置有輸送泵。
本發明還提供了一種利用上述技術方案所述污泥處理系統處理污泥的方法,包括以下步驟:
分別將污泥濃縮池中污泥、炭漿容器中炭漿和絮凝劑輸送單元中絮凝劑輸送至脫水裝置中混合調質后進行固液分離,得到脫水污泥儲存于所述脫水污泥容器中;
所述炭漿含有顆粒炭和添加劑,所述顆粒炭的平均粒徑小于18mm,比表面積大于25m2/g,發熱量小于7000kCal/kg;所述添加劑包括分散劑和穩定劑。
優選的,所述炭漿的制備方法包括以下步驟:
分別將顆粒炭容器中顆粒炭、添加劑輸送單元中添加劑和脫水裝置固液分離得到的污水輸送至混合器中混合,得到炭漿;
所述顆粒炭經過定量器輸送至混合器。
優選的,所述分散劑和顆粒炭的質量比為0.5~1.5:100,所述穩定劑和顆粒炭的質量比為0.025~0.15:100;
所述炭漿的固含量為50~60%。
優選的,所述分散劑包括萘系分散劑、腐殖酸系分散劑、木質素系分散劑、聚烯烴系分散劑和丙烯酸系分散劑中的一種或多種;
所述穩定劑包括無機鹽穩定劑或有機高分子穩定劑;所述無機鹽穩定劑為可溶性鹽類穩定劑;所述有機高分子穩定劑包括聚丙烯酰胺、聚丙烯酸鈉、聚乙烯醇、纖維素、瓜爾膠、黃原膠和阿拉伯膠中的一種或多種。
優選的,所述絮凝劑為有機高分子絮凝劑和/或無機絮凝劑;
所述絮凝劑和污泥的干基質量比為0.1~1:100;
所述炭漿中的顆粒炭和污泥的干基質量比為0.1~0.5:1。
本發明還提供了按照上述技術方案所述處理污泥的方法處理得到的脫水污泥在燃料中的應用。
本發明提供了一種污泥處理系統,包括脫水裝置、出口與所述脫水裝置第一進口連通的炭漿容器、與所述脫水裝置第二進口連通的絮凝劑輸送單元、與所述脫水裝置第三進口連通的污泥濃縮池、與所述脫水裝置第一出口連通的污水池和與所述脫水裝置第二出口連通的脫水污泥容器。利用本發明提供的污泥處理系統能夠對污泥進行調質,提高污泥脫水效率和脫水污泥的熱值。
本發明還提供了一種利用上述技術方案所述污泥處理系統處理污泥的方法,包括以下步驟:分別將污泥濃縮池中污泥、炭漿容器中炭漿和絮凝劑輸送單元中絮凝劑輸送至脫水裝置中混合進行固液分離,得到脫水污泥儲存于所述脫水污泥容器中;所述炭漿含有顆粒炭和添加劑,所述顆粒炭的平均粒徑小于18mm,比表面積大于25m2/g,發熱量小于7000kCal/kg;所述添加劑包括分散劑和穩定劑。本發明利用炭漿中炭顆粒對污泥進行調質,由于炭顆粒具有較大的比表面積和良好的吸附性能,可以與污泥膠體形成較大密實的聚團,在脫水過程中通過構建骨架結構,提高濾餅孔隙率,以保持其高滲透性、增強污泥疏水性,從而改善污泥脫水過濾比阻值,縮短污泥沉降時間,提高脫水效率;同時炭顆粒具有較高的熱值,在提高污泥脫水率的同時提高了脫水污泥的熱值,從而提高了污泥的利用率,實現綠色污水處理過程。
(發明人:杜宏德)






