申請日2013.08.23
公開(公告)日2013.11.27
IPC分類號E03F1/00; E03F5/00; B01D21/02; E03F5/22; E03F3/02; E03F5/14
摘要
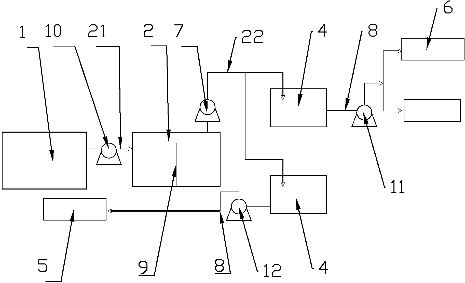
本發明公開了一種化工廢水不外排系統,其特征是,包括廢水收集池、二級沉淀池、用戶蓄水池、循環水池、循環水系統以及用戶,所述的二級沉淀池上分別設有進水管道和出水管道,所述的進水管道連接于廢水收集池,所述出水管道上設置提升泵,出水管道通過出水管道末端設置的分支管道分別連接于用戶蓄水池和循環水池,所述的用戶蓄水池和循環水池分別通過輸送管路連接于用戶和循環水系統。本發明能夠有效的去除廢水中攜帶的灰塵以及雜質,對廢水起到很好的靜置過濾的效果,雜質去除效果好,廢水回收利用率高,實現了廢水多次循環利用,對于改善企業周邊環境,增進企業的節能減排具有明顯的效果。
權利要求書
1.一種化工廢水不外排系統,其特征是,包括廢水收集池、二級沉淀池、 用戶蓄水池、循環水池、循環水系統以及用戶,所述的二級沉淀池上分別設有 進水管道和出水管道,所述的進水管道連接于廢水收集池,所述出水管道上設 置提升泵,出水管道通過出水管道末端設置的分支管道分別連接于用戶蓄水池 和循環水池,所述的用戶蓄水池和循環水池分別通過輸送管路連接于用戶和循 環水系統。
2.根據權利要求1所述的一種化工廢水不外排系統,其特征是,所述二級 沉淀池的內部設置擋板,所述擋板設置于二級沉淀池的中部,擋板的上端低于 二級沉淀池的上開口。
3.根據權利要求1所述的一種化工廢水不外排系統,其特征是,所述連接 廢水收集池與二級沉淀池的進水管道上設置壓力水泵。
4.根據權利要求1所述的一種化工廢水不外排系統,其特征是,所述連接 用戶蓄水池與用戶的輸送管路上設置凈化水外送泵。
5.根據權利要求1所述的一種化工廢水不外排系統,所述連接循環水和循 環水系統的輸送管路上設置循環水泵。
說明書
一種化工廢水不外排系統
技術領域
本發明涉及一種廢水處理系統,特別涉及一種化工廢水不外排系統。
背景技術
在鋼鐵、焦化、化工行業中,循環水熱量散熱主要靠冷卻塔水份的蒸發, 水份蒸發散熱占85%,其余15%熱量是靠熱傳導與熱輻射散發的。由于蒸發出去 的是純水,水中的礦物質以及從冷卻塔底部隨空氣帶入的灰塵等雜質也都留在 了循環水系統里。長時間運行后,水質會出現惡化,堵塞各種冷卻設備及管道。 目前,廠家大都采用在循環水管道上增加過濾器去除雜質,再間歇用反沖水沖 洗濾下來的雜質一起外排。不但在經濟上增加了水的消耗,成本上升,而且在 環保方面也增加了化工廢水的外排量,浪費了水資源,不利于企業的節能減排。
發明內容
本發明所解決的技術問題是提供了一種化工廢水不外排系統,該系統可以 去除廢水中攜帶的灰塵以及雜質,實現了化工廢水的再次循環利用,對于改善 企業周邊環境,增進了企業的節能減排具有明顯的效果。
為解決上述技術問題,本發明一種化工廢水不外排系統,其特征是,包括 廢水收集池、二級沉淀池、用戶蓄水池、循環水池、循環水系統以及用戶,所 述的二級沉淀池上分別設有進水管道和出水管道,所述的進水管道連接于廢水 收集池,所述出水管道上設置提升泵,出水管道通過出水管道末端設置的分支 管道分別連接于用戶蓄水池和循環水池,所述的用戶蓄水池和循環水池分別通 過輸送管路連接于用戶和循環水系統。
所述二級沉淀池的內部設置擋板,所述擋板設置于二級沉淀池的中部,擋 板的上端低于二級沉淀池的上開口。
所述連接廢水收集池與二級沉淀池的進水管道上設置壓力水泵。
所述連接用戶蓄水池與用戶的輸送管路上設置凈化水外送泵。
所述連接循環水池和循環水系統的輸送管路上設置循環水泵。
本發明的有益效果是:該發明能夠有效的去除廢水中攜帶的灰塵以及雜質, 對廢水起到很好的靜置過濾的效果,雜志去除效果好,廢水回收利用率高,實 現了廢水多次循環利用,對于改善企業周邊環境,增進了企業的節能減排具有 明顯的效果。







