納濾技術作為近年來國內外研究和應用熱點的膜分離技術,可有效去除污染水體中化學需氧量(COD)、總磷(TP)、重金屬和部分鹽分,使出水指標達到《地表水環境質量標準》中Ⅲ類水標準,因而在污水深度處理、飲用水軟化等領域得到了廣泛應用,如納濾對大部分微量有機污染物的截留率達到70%以上,大部分再生水中的微量新污染物在經過納濾處理之后未檢出。然而,納濾濃水處理問題一直是影響其推廣應用的關鍵限制因素之一。面對納濾膜濃水COD值高、鹽分濃度大、BOD5/COD較低、可生化性差等特點,膜濃水常用的處理方式包括超濾反滲透、蒸發濃縮處理等,但這些處理技術仍面臨著污染物無法根本去除、能耗高、二次污染嚴重等缺點,因此,尋找高效水處理技術成為膜濃水深度處理的關鍵。
臭氧氧化技術是一種廣泛應用于飲用水消毒和污水處理的氧化技術,具有氧化活性高、應用范圍廣、生產操作簡單等優點。針對納濾膜濃水的高污染特征,單獨臭氧氧化技術仍存在臭氧利用率較低、氧化能力不足等限制。近年來發展的電催化臭氧氧化技術通過在傳統臭氧氧化體系內引入電催化劑,利用電場作用促進臭氧分解過程中活性氧物種的生成,可顯著提高氧化效率和反應速度,成為臭氧氧化技術關注的重點。利用電催化臭氧氧化技術實現納濾膜濃水高效處理表現出良好的潛力,然而,基于電催化臭氧氧化技術處理膜濃水的研究仍鮮見報道。
基于此,本研究以實際納濾膜濃水為目標水體,通過構建電催化臭氧氧化體系探究其對納濾膜濃水的深度凈化性能,評估其對實際納濾膜濃水中有機質和毒性的削減效果,為進一步完善膜法污水深度處理技術提供支撐。
1、實驗裝置與方法
1.1 材料與儀器
磷酸、濃硫酸、硝酸、無水乙醇、硝酸鈉、磷酸氫二鉀、碳酸鈉、二水氯化鈣、硼酸、檸檬酸、鉬酸鈉、硫酸銅等均為分析純。
GPC-6030D直流穩壓電源;CF-VG10臭氧發生器;LZB-3WB氣體轉子流量計;ESNA1-4040納濾膜組件;LRH-800-G光照培養箱;LDZX-75KBS壓力蒸汽滅菌鍋;T9S紫外可見分光光度計;F-7000熒光分光光度計;varioTOCcube總有機碳分析儀;DR3900多參數水質檢測儀。
1.2 納濾膜濃水制備
納濾裝置主要由過濾器、高壓水泵、膜組件、流量計、壓力表、配電箱等元件組成,其結構如圖1所示。納濾膜組件為美國海德能公司生產的ESNA1-4040系列高性能低壓納濾膜。再生水均取自北京市某再生水廠,其進水為周邊的居民生活污水和工業廢水。取得的實際再生水在進入膜組件之前,首先經過過濾器初步分離,以截留較大的顆粒污染物。再生水通過納濾膜后分別形成富集較多污染物的膜濃水和較為清潔的膜出水。在實驗過程中,通過調節流量計的截止閥控制產水率,即膜濃水和膜出水的比例。

1.3 電催化臭氧氧化處理膜濃水實驗
電催化臭氧氧化處理膜濃水的反應裝置如圖2所示。反應器為圓柱形玻璃容器,高40cm,直徑20cm,取10L納濾膜濃水置于反應玻璃容器中開展電催化臭氧氧化實驗。電極為平板電極,陽極為負載二氧化錫的鈦電極(Ti/SnO2),陰極為鈦網電極,電極規格5×10cm,電極間距設置為10cm。以穩壓直流電源為反應裝置供電,設置電流密度10mA·cm−2。空氣通入臭氧發生器制得O3與O2混合氣體,經曝氣頭均勻曝氣后通入到反應器中,通過調節流量計設定通氣流量為0.2L·min−1,氣態臭氧質量濃度8.3mg·L−1。催化臭氧反應器頂部安裝尾氣排放管,通入到裝有一定體積KI溶液(質量百分比為2%)的吸收瓶中,以吸收尾氣中未反應的臭氧。

在單獨臭氧氧化實驗時,反應器中不放置電極;在單獨電催化實驗時,反應裝置中不通入臭氧。在實驗開始后的固定時刻進行取樣分析。
1.4 膜濃水毒性削減評價
電催化臭氧氧化處理膜濃水過程中毒性削減特性采用藻類生長抑制實驗進行評價。實驗按照《化學品藻類生長抑制試驗》標準方法(GB-T21805-2008)進行,培養基為常用淡水藍藻及綠藻培養基BG11培養基,在正式實驗之前首先對斜生柵藻母液按照標準方法進行接種培養。按照1:9的比例將斜生柵藻母液與滅菌后的培養基混合,光照培養箱的培養條件為:溫度22℃,白色日光燈,光暗比12h:12h,光強3000lux左右。當藻類處于對數生長期(細胞濃度為1×104~2×104個·mL−1,一般培養3~5d左右)時,按照相同的方法繼續轉接培養,培養至第3代時用于實驗。毒性評價時,以吸光度代替藻密度進行生態毒理分析,分別取90mL受試水樣或純水置于錐形瓶中,加入處于對數生長期的斜生柵藻培養液10mL,分別記為實驗組和空白對照組,而后將錐形瓶放入光照培養箱中,在設定好的條件下進行培養。在給定時刻測定680nm波長下斜生柵藻的吸光度表示藻類的生長情況。
通過測定的吸光度數據計算斜生柵藻在實驗期間的比生長率,以斜生柵藻的比生長率為基礎,計算水樣中的污染物對斜生柵藻生長的抑制率,斜生柵藻比生長率和抑制率計算公式分別如式(1)和式(2)所示。

式中:μi代表從開始到時間i時的斜生柵藻比生長率,%;Xi代表時間i時的生物量(以吸光度計);X0代表開始時的生物量(以吸光度計);Ij代表以比生長率為基礎的斜生柵藻生長抑制率,%;μc代表空白組的比生長率,%;μj代表實驗組的比生長率,%。
2、結果與討論
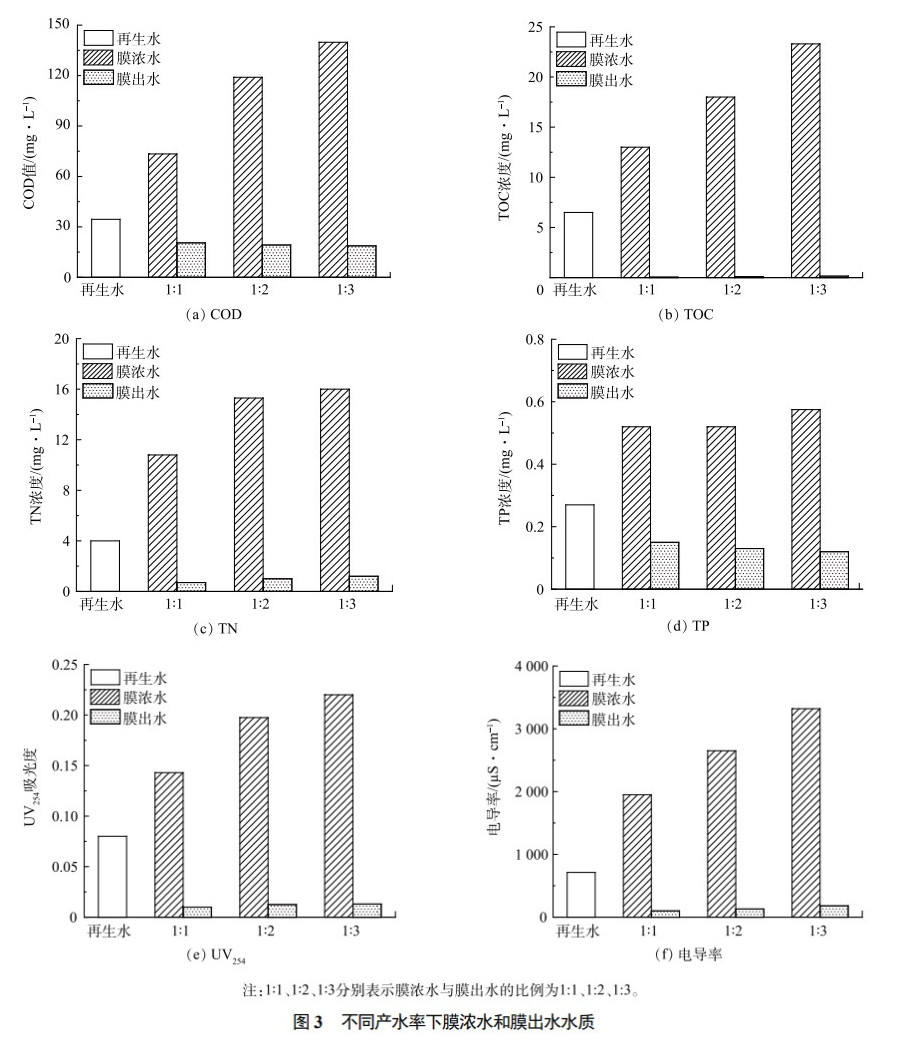
2.1 不同產水率下納濾膜濃水與出水水質分析
通過調節納濾裝置的流量計截止閥,將納濾膜出水的產水率調節為50%、67%、75%,對應的膜濃水與膜出水比例分別為1:1、1:2、1:3,在裝置穩定運行后取水樣分析。圖3所示為再生水及不同產水比例下膜出水與膜濃水的相關水質指標變化情況。可以看出,納濾膜可以截留再生水中大部分溶解性鹽類、有機污染物和無機污染物,提高再生水的品質。膜出水中相關水質指標可達到地表水環境質量標準Ⅲ類水的要求。而對應產生的膜濃水中各種水質指標明顯升高,說明其富集了更多的污染物。綜合考慮產水效率、出水水質和膜污染情況,以67%的產水率即膜濃水與膜出水的產水比例為1:2條件下獲得的膜濃水為研究對象,進行電催化臭氧氧化處理納濾膜濃水實驗研究。

2.2 電催化臭氧氧化工藝對膜濃水中COD、TOC降解效能分析
圖4所示為電催化氧化、臭氧氧化和電催化臭氧氧化技術處理納濾膜濃水過程中COD和TOC去除率變化曲線。可見,單獨臭氧氧化體系反應180min時,TOC和COD的去除率分別為67%和59%,說明臭氧氧化技術可實現膜濃水中有機污染物的有效降解,而單獨的電催化氧化技術對膜濃水中的有機類污染物處理效果較差,經180min持續氧化降解后,TOC和COD的去除率分別只有22%和42%。這可能是在設置電流密度(10mA·cm−2)下,電催化過程中產生羥基自由基的能力較弱,因而對有機污染物的礦化降解能力有限所致。當在臭氧氧化體系中引入電催化反應后,COD和TOC的降解率大幅提高,反應180min時可去除膜濃水中72%的COD和71%的TOC,說明電催化作用可顯著提高臭氧氧化效率。

對不同氧化工藝下膜濃水TOC降解曲線進行動力學擬合(圖5),發現3種工藝下膜濃水中TOC氧化降解均符合準一級動力學方程。單獨電催化氧化技術的反應速率常數最低,僅0.05×10−2min−1,單獨臭氧氧化技術的反應速率達到0.47×10−2min−1,而電催化臭氧氧化技術降解TOC的速率顯著高于單獨的電催化氧化技術和單獨臭氧氧化技術,達到0.7×10−2min−1,其催化降解TOC速率分別是單獨電催化氧化的14倍,單獨臭氧氧化的1.5倍,說明電催化臭氧氧化技術具有顯著增強的膜濃水凈化能力。

2.3 電化學催化臭氧氧化處理納濾膜濃水的工藝優化
為優化電化學催化臭氧氧化工藝處理納濾膜濃水的性能,首先考察了電流密度對膜濃水中COD、TOC去除效果的影響。分別設置了4.0、10.0、20.0、30.0mA·cm−2電流密度,保持氣相臭氧質量濃度為8.3mg·L−1。不同電流密度下電催化臭氧氧化過程中COD、TOC的去除率變化曲線如圖6(a)~(b)所示。當電流密度由4.0mA·cm−2提升到10.0mA·cm−2時,反應體系在180min時的COD去除率從61%提升到了72%,TOC的去除率由65%提升到了73%。但當電流密度進一步增大到20.0mA·cm−2和30.0mA·cm−2時,對應的COD和TOC的去除率卻出現降低,造成這種現象的原因可能是伴隨著電流密度增加,施加的高偏壓導致反應體系中水發生分解反應,進而降低了參與催化臭氧分解反應的電子數量,極大地影響了臭氧分解產生活性氧物種的效率。

進一步通過調節臭氧發生器功率調整反應體系中氣相臭氧濃度,圖6(c)~(d)顯示了不同臭氧濃度下電催化臭氧氧化過程中COD、TOC的去除率變化情況。隨著氣相臭氧濃度由2.1mg·L−1增加至20.8mg·L−1時,當反應結束時(180min),電化學催化臭氧氧化反應體系對膜濃水COD的去除率由58%提升至72%,TOC的去除率從42%提升至77%,可以發現膜濃水中COD、TOC的去除率隨臭氧含量的升高而逐漸升高,但其增加幅度隨著臭氧濃度的升高而呈降低趨勢。這是由于過高的臭氧濃度雖然可以提高活性氧物種生成數量,但反應體系內臭氧分子間發生無效碰撞的概率也明顯升高,綜合考慮電催化臭氧氧化工藝運行成本和效能,臭氧濃度選擇為8.3mg·L−1。
2.4 不同處理工藝對膜濃水中有機質的削減效果分析
污水中代表性熒光有機污染物的最大熒光強度以及變化趨勢能夠表征可溶性有機污染物的含量和變化情況。圖7顯示了電催化氧化、臭氧氧化和電催化臭氧氧化處理納濾膜濃水時三維熒光譜圖變化情況。膜濃水中有機污染物在三維熒光譜圖上主要表現為2個熒光峰,分別落在了區域III(Ex380nm)和區域V(Ex>250nm/Em>380nm),表示主要的可溶性有機污染物為腐殖酸和富里酸類物質。對比分析三維熒光譜圖的變化趨勢可以看出,臭氧氧化和電催化臭氧氧化對有機物的去除效果明顯優于電催化氧化。根據膜濃水氧化處理前后熒光峰強度變化情況,經60min降解后,臭氧氧化和電催化臭氧氧化均可去除95%以上的熒光有機污染物。

2.5 不同處理工藝對膜濃水的毒性削減效果
圖8(a)所示是斜生柵藻在培養基中、未處理的膜濃水中以及不同氧化工藝處理180min后的膜濃水中的生長曲線。可以看出,斜生柵藻經電催化臭氧氧化處理180min后膜濃水中的生長繁殖狀況優于單獨的電催化氧化和臭氧氧化處理。與未處理的膜濃水相比,電催化氧化180min后的膜濃水更不利于斜生柵藻的生長繁殖,造成這種狀況的原因可能是有機污染物電化學氧化不徹底而產生的副產物影響了藻類的生長繁殖。圖8(b)所示為經氧化處理不同時間的膜濃水培養斜生柵藻96h后斜生柵藻的生長抑制情況。電催化臭氧氧化技術處理后的膜濃水對斜生柵藻的生長抑制率從28.75%逐漸下降到16.0%,說明電催化臭氧氧化處理可有效降低膜濃水生態毒性。但單獨的電催化氧化技術和臭氧氧化技術隨著處理時間的增加,表現為對斜生柵藻的生長抑制率逐漸增大,當反應180min時,二者對斜生柵藻的生長抑制率仍分別達32.8%和24.6%。表明電催化臭氧氧化技術不僅在處理效率上高于單獨的電催化氧化和臭氧氧化,在膜濃水毒性削減效果上也更具優勢。

3、結論
1)電催化臭氧氧化可實現納濾膜濃水的高效處理,反應180min時可去除膜濃水中72%的COD和71%的TOC,其氧化降解TOC速率達到0.7×10−2min−1,分別是單獨電催化氧化和單獨臭氧氧化的14倍和1.5倍。
2)以斜生柵藻生長抑制率評價不同氧化處理工藝對膜濃水的毒性削減效果,單獨臭氧氧化對膜濃水處理后的斜生柵藻生長抑制率達24.6%,而電催化臭氧氧化深度處理后斜生柵藻生長抑制率僅16.0%,電催化臭氧氧化處理顯著降低了膜濃水的生物毒性。(來源:北京師范大學環境學院,北京市水科學技術研究院,山東省海河淮河小清河流域水利管理服務中心)



