膜蒸餾是一種以疏水微孔膜為分離介質,膜兩側蒸汽壓差為傳熱和傳質驅動力的膜分離技術。根據膜蒸餾過程中滲透側蒸汽冷凝方式的不同,膜蒸餾可分為直接接觸式膜蒸餾(DCMD)、氣隙式膜蒸餾(AGMD)、真空膜蒸餾(VMD)和掃氣式膜蒸餾(SGMD)4種類型,其中,DCMD兩側溶液與膜直接接觸,具有結構簡單、膜通量大、熱損失大等特點,可用于海水脫鹽、有機發酵廢水處理等;AGMD中,冷凝面與膜表面間存在停滯空氣隙,蒸汽穿過空氣隙會在冷凝面上冷凝,可應用于分離揮發性物質、富集水中同位素等;VMD具有較低的熱損、較高的膜通量且不易出現溫度極化等特點,可用于濃海水處理、焦化廢水處理等;SGMD具有膜表面疏水性良好、溫度極化較小等特點,可用于海水淡化等。另外,相較于微濾(MF)、超濾(UF)、納濾(NF)和反滲透(RO)等傳統膜分離技術,膜蒸餾具有以下優點:①理論上能完全分離大分子、膠體、離子及其他非揮發性物質;②操作壓力低;③較傳統的蒸餾操作溫度低;④成本低且節能。
然而,膜蒸餾過程和其他膜分離過程一樣,污水中存在的有機物、無機物及微生物等污染物黏附在膜表面上或膜孔內,導致膜滲透通量下降以及膜表面及膜孔污垢積累等膜污染問題,進而降低膜蒸餾性能。除此之外,當顆粒污垢在膜表面和膜孔內積聚,且膜滲透側壓力低于進料側壓力時,膜蒸餾過程會發生膜潤濕現象。即在膜表面和膜孔間形成鹽水通道,進料液作為液體流入滲透側,降低系統截鹽率。因此,為使膜蒸餾過程高效、穩定地運行,減緩膜污染尤其重要。
目前,減緩膜蒸餾過程中膜污染的研究主要有開發功能膜、預處理進料液以及膜清洗三大類。其中,功能膜制備過程復雜,工業化大規模制備較困難,嚴重限制其在膜蒸餾上的應用。相比較而言,預處理進料液和膜清洗技術更具可行性和可操作性。因此,分別概述膜蒸餾過程中膜污染的機制、膜污染物組成以及膜污染影響因素,然后重點討論預處理和膜清洗兩種膜污染減緩策略在膜蒸餾領域的研究進展,以期對膜蒸餾過程緩解膜污染的研究提供參考。
1、膜蒸餾過程中膜污染的成因及機理
1.1 膜污染形成機理
膜蒸餾過程中的膜污染是指當水在膜面上蒸發時,溶液中的各種污染物可吸附、沉積在膜表面或進入膜孔,從而造成膜表面結垢或膜孔變窄、堵塞,最終使鹽截留率和膜滲透通量下降的現象。在該情況下,膜表面污垢層提供了額外的熱阻,導致進料側膜表面溫度下降,從而降低了蒸汽壓差,即降低了膜蒸餾過程中蒸汽過膜的驅動力。膜蒸餾過程中驅動力(Δp)可表示如下:

式中:afm、apm分別為進料側和滲透側水分活度;p0fm、p0pm分別為進料側和滲透側中純組分(水)的飽和蒸汽壓,kPa。
蒸汽壓值來源于進料側和滲透側邊界層的溫度,此溫度與系統整體溫度不同,系統的整體溫度由溫度極化系數(TPC)決定。TPC計算公式如下:

式中:Tf、Tp分別為進料側和滲透側的整體溫度,K;Tfm、Tpm分別為進料側和滲透側膜表面的溫度,K。
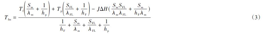
Tfm值的變化不僅取決于膜表面污垢層厚度(SFL),同時還取決于污垢層的傳熱系數(λFL),具體計算公式如下:

式中:Sm為膜厚度,μm;hF、hP分別為進料側和滲透側對流傳熱系數,W/(m2·K);λm為膜傳熱系數,W/(m·K);J為滲透通量,L/(m2·h);ΔH為蒸發熱,kJ/mol。
通常污垢層的λFL值很小,因此對于高傳熱系數h,只要形成污垢層就會使Tfm減小,進而降低膜滲透通量。因此,減緩膜污染對延緩膜蒸餾過程滲透通量下降和提高廢水處理效率具有重要意義。
1.2 膜污染的分類
根據污染物的組成,膜污染可分為無機污染、有機污染和生物污染三種。不同膜污染類型形成的污垢層具有不同的傳熱系數,對于有相似厚度的污垢層,不同膜污染類型對滲透通量的影響也不同。因此,精準區分膜污染類型有助于發展和運用針對性的防污策略。
1.2.1 無機污染
無機污染導致的膜結垢是固體無機化合物由于濃差極化作用而在膜表面或膜孔中富集的現象。根據膜蒸餾過程中膜無機污染形成的一般步驟,當無機鹽富集濃度超過其溶解限度后,進料液呈過飽和狀態,此時有限數量的離子、原子或分子開始相互吸引并形成晶體,而后晶體通過重力沉降進入膜孔或沉積在膜表面形成污垢層。此外,無機污垢層的形成還會使溶液過膜效率比單獨因熱阻增加引起的效率下降更快。為了減少膜結垢和膜潤濕對膜蒸餾過程的影響,可采用投加阻垢劑、過濾、混凝等預處理方法及水洗、曝氣、振動、酸洗等清洗方法。
1.2.2 有機污染
有機污染是由膠體態或溶解態有機物通過靜電力、親和力及疏水作用在膜表面上吸附、沉積引起的污染。常見的有機污染物主要有多糖、腐殖酸、蛋白質及其他天然有機物(NOM)等,其主要污染行為如下:①堵塞膜孔。污染物直接吸附在膜孔中,導致膜孔變窄或堵塞。②形成凝膠層。污染物在膜表面形成污垢層以堵塞膜孔。③形成濾餅層。污染物在膜表面形成低滲透性的污垢層。
1.2.3 生物污染
生物污染主要指細菌、微生物及其代謝產生的大分子在膜表面上積累和繁殖的過程。生物污垢對膜的影響與有機污垢類似,主要有兩種影響機制:①潤濕膜孔,一些顆粒物會通過膜孔污染滲透側水質;②堵塞膜孔,增加傳質阻力,導致滲透通量下降。此外,在實際的膜蒸餾過程中,進料液通常不止一種污染物,如還存在礦物鹽、膠體物質、有機物和微生物,它們之間往往具有協同作用。
1.3 膜污染的影響因素
膜污染是一種復雜的現象,了解膜污染行為是緩解膜上污垢層形成的必要條件。其中,影響膜蒸餾過程中膜污染的因素主要有污染物特性、膜特性及操作條件三類。
1.3.1 污染物特性
污染物的濃度、分子大小、溶解度、堿度、擴散率及親疏水性等決定著膜蒸餾過程膜污染的程度。例如,溶解度低的CaCO3和CaSO4等無機鹽類直接沉積在膜表面上可使膜表面結垢,從而引起膜污染。此外,由于膜蒸餾過程采用的膜為疏水膜,因此疏水性的腐殖酸類物質也易吸附在膜表面上而形成沉積,從而導致膜污染。
1.3.2 膜特性
膜特性主要體現在膜的材料、孔徑、厚度、疏水性以及表面粗糙度等方面,較小的膜孔徑所對應的污染物截留率較高,但孔徑較小往往更容易造成膜污染和膜潤濕。因此在對膜蒸餾過程膜的選擇方面,應在滿足截留要求的條件下,充分考慮膜孔徑等因素對系統通量及膜污染的影響。
1.3.3 操作條件
操作條件主要指過膜流量、水流速度及溶液溫度等。升高溶液溫度會使污垢粒徑逐漸減小,從而使膜污染作用發生相應變化。在低溫時污垢層起主要作用,在中低溫時主要是污垢層和膜孔堵塞起作用。因此,在膜蒸餾運行過程中,應合理設置各項操作條件,并充分考慮操作條件對反應系統穩定性和膜污染的影響。
上述三種途徑對膜蒸餾過程中的膜污染有一定減緩效果,但在實際應用時上述途徑存在明顯的局限性。例如,疏水性污染物也是膜蒸餾的重點研究方向,膜的選擇還應考慮成本問題,操作條件調整較為復雜。相比之下,膜前預處理和膜清洗適用于所有膜蒸餾過程中膜污染的控制。
1.4 膜潤濕
大量研究證實,膜污染會加快膜蒸餾過程中膜表面的潤濕速率。因此,長期運行過程中膜潤濕可在一定程度上反映膜污染的行為,且抑制膜潤濕的措施也具有減緩膜污染的作用。膜潤濕主要是指膜孔中的氣液界面從進料側不斷向滲透側推移的過程,通常采用液體滲透壓力(LEP)來評價膜的抗潤濕能力,其計算表達式如下:

式中:B為膜孔的彎曲因子;γ1為液體的表面張力,mN/m;θ為潤濕液體在膜表面上的接觸角,(°);rmax為膜的最大孔半徑,μm;Pf為進料側壓力,Pa;Pp為滲透側壓力,Pa;ΔPinterface為進料側與滲透側之間的壓力差,Pa。
由式(4)可知,LEP與膜表面疏水性成正比。當膜表面或膜孔嚴重結垢時,污垢層會降低膜的接觸角并導致膜潤濕,進而影響膜蒸餾過程的分離效果。此外,減小膜孔徑也可提高LEP,但會降低膜通量。因此,通常還是以提高膜表面疏水性來提高LEP,從而增強膜的長期抗潤濕能力。
基于對膜潤濕的認識,可將緩解膜潤濕的策略分為制備抗潤濕膜和膜蒸餾過程的控制。在制備抗潤濕膜方面,研究主要集中在膜改性上。此類方法減緩膜潤濕效果顯著,但由于其操作過程復雜或需要特殊設備,因而在商業化應用上受到限制。此外,在長期膜蒸餾運行過程中,膜材料會受到進料液中溶質的污染,從而降低或喪失原膜的抗污染、抗潤濕性能。因此,在膜蒸餾運行控制中,通常采用完善的預處理或膜清洗技術去除可能造成膜潤濕和膜結垢的污染物。
2、預處理技術
在膜蒸餾長期運行中,嚴重的膜污染會導致滲透通量下降,加速膜潤濕,從而抑制膜蒸餾過程。因此,為了延長膜蒸餾過程的有效運行時間,同時提高膜的使用壽命,對膜蒸餾中的進料液進行預處理很有必要。
常見的預處理技術有混凝、膜過濾、吸附、高級氧化及投加阻垢劑,其作用機理、特性及能耗如表1所示。

2.1 混凝
混凝技術通過向溶液中投加混凝劑或絮凝劑以聚集水體中的各種小尺寸污染物,使污染物聚集形成較大絮凝體,從而降低膜表面和膜孔內污垢形成的風險。因此,通常將混凝技術作為深度處理的預處理工藝來保證出水效果。
Cho等對實際頁巖氣廢水進行絮凝預處理后,膜蒸餾過程通量下降14.7%,說明相對于27.7%的原廢水通量下降率,通過絮凝預處理能有效減少膜蒸餾過程中膜污染物的沉積。此外,Zhao等提出了一種氣浮絮凝/真空膜蒸餾耦合工藝,并探究了不同電性絮凝劑對預處理效果的影響。結果表明,當分別投加12mg/L的聚丙烯酰胺和聚丙烯酸鈉時,系統對十二烷基苯磺酸鈉的去除率分別為65%和57%。此外,絮凝劑的加入能顯著延緩發生膜潤濕的時間,即能增加膜蒸餾過程的有效運行時間。
值得注意的是,混凝具有選擇性,對于帶負電的疏水高分子有機物則易形成絮體;而對于親水性有機物則絮凝能力有限。此外,混凝過程產生的化學污泥可能會引起二次污染。因此,混凝預處理技術的應用需嚴格關注混凝劑/絮凝劑的種類和投加量,這對膜蒸餾過程中的運行效能及工藝成本都具有重要意義。
2.2 膜過濾
膜過濾是一種以壓力差為驅動力、以膜為分離介質的液相分離過程,主要處理對象為膠體、微生物和懸浮顆粒等污染物。根據孔徑大小,可將膜過濾技術分為MF、UF、NF和RO。
Gryta等采用UF/膜蒸餾工藝處理艙底水的研究表明,經UF和膜蒸餾處理后,艙底水的TOC和TDS去除率均可達99.5%以上,并且膜蒸餾過程的滲透側電導率均可保持在1.5~2.5μS/cm范圍內。Karakulski等研究了NF預處理對膜蒸餾處理自來水的影響,結果表明,自來水經NF/膜蒸餾處理后水回收率可達90%以上,且延緩了滲透通量的下降。此外,NF還可用于抑制膜蒸餾體系中難溶組分(如Mg2+、Ca2+等)在膜表面的積累。
由此可見,膜過濾作為預處理技術能夠根據粒徑大小特定分離溶液中的污染物,提高處理過程的整體穩定性,進而有效緩解膜蒸餾過程中的膜污染。然而,膜過濾技術在實際應用中存在一定的局限性。例如,膜過濾過程中使用的膜同樣會不可避免地發生膜污染,從而導致跨膜壓差增大或膜通量降低。因此,在選擇膜過濾作為預處理時,應綜合考慮廢水的處理量、水質特性及處理成本等因素。
2.3 吸附
吸附預處理主要通過采用高比表面積材料吸附水體中的重金屬、有機物等污染物,從而去除污染物并減緩膜污染。常用的吸附材料有活性炭、樹脂、磁性納米粒子、金屬氧化物等。
Zhang等用吸附-膜蒸餾相結合的方法對頁巖油氣采出水進行預處理,發現預處理后膜蒸餾過程中膜可在3個連續處理周期內重復利用。Xu等以活性焦吸附作為預處理方式,研究其對膜蒸餾處理煤氣化廢水過程中膜污染的影響,其中,單獨膜蒸餾的TOC含量僅下降50%左右,而經過吸附預處理后,TOC的去除率可達85.9%。此外,預處理組還有效延緩了膜通量的下降。上述研究結果表明,吸附預處理對污染物的去除效果顯著,對膜表面結垢有良好的抑制作用。
綜上,吸附作為一種膜前預處理方式,在膜污染減緩及資源回收方面的發展前景非常可觀。但值得注意的是,吸附預處理效果受到吸附劑特性、吸附時間、吸附劑投加量及投加方式的影響。這些因素控制不當會影響預處理效率和膜污染減緩效果,甚至會使吸附劑在膜表面沉積,從而進一步造成膜通量的下降。
2.4 高級氧化(AOPs)
AOPs的核心是向溶液中傳輸能量(熱能、電能或光能等)或投加化學試劑(O3和H2O2等),然后經過一系列反應破壞有機污染物的分子結構,最終將有機污染物氧化為H2O、CO2和無機鹽等物質。AOPs按其反應條件和產生自由基的方式不同,主要分為Fenton氧化法、臭氧氧化法及電化學氧化法等。
Wang等研究了Fenton氧化法對膜蒸餾處理煤氣化鹽水的影響,結果發現,預氧化顯著減少了膜表面的鹽結晶數量,提高了系統的滲透通量。這表明Fenton氧化可削弱無機離子與腐殖酸之間的相互作用,對緩解膜污染具有積極效應。Chen等研究了電化學氧化法對膜蒸餾處理垃圾滲濾液的影響,發現預氧化2h內進料液中腐殖質類物質和芳香物質的去除效果顯著。由此可見,采用電化學氧化可最大限度地減少有機污染物在膜表面的結垢。
AOPs作為膜蒸餾過程的預處理技術顯著提高了系統對污染物的去除率,并有效減緩了膜污染。然而,AOPs在實際應用中仍存在局限性,如Fenton氧化法對溶液的pH要求較為嚴格。因此,實際應用中應根據具體情況選擇合適的AOPs來緩解膜蒸餾過程中的膜污染。
2.5 投加阻垢劑
阻垢劑是一種化學添加劑,通過與溶液中的溶解離子相互作用,吸附在晶體或晶核表面,從而抑制結晶生長和析出溶液。目前,在膜蒸餾脫鹽研究中,常用的阻垢劑有凝聚態聚磷酸鹽、聚電解質和有機磷酸鹽。
Gryta等在處理地表水的DCMD過程中研究了投加聚磷酸鹽阻垢劑對CaCO3在DCMD過程中膜上結垢的影響,結果表明,當溶液中投加阻垢劑濃度越高,抑制CaCO3在膜表面結垢的效果越明顯。然而,當溶液中阻垢劑濃度過高時,膜表面可觀察到一層薄薄的無定形沉積物,該污垢層會使膜滲透通量下降。此外,He等認為聚丙烯酸鈉-聚丙烯酸基化合物阻垢劑和含氮的有機磷化合物阻垢劑能顯著延長石膏及方解石在膜上的成核誘導期。可見,投加阻垢劑是一種有效減緩膜蒸餾過程中膜污染的預處理途徑。
阻垢劑在緩解膜結垢方面表現良好,但在膜蒸餾過程中阻垢劑的使用需要注意以下問題:①阻垢劑過量會在膜表面形成污垢;②部分阻垢劑(如六偏磷酸鈉、正磷酸鹽等)可作為某些微生物的營養源,可能會引起膜表面更多的生物污染;③在溫度和進料液變化的膜蒸餾過程中,阻垢劑的使用不易控制。因此,應根據具體需要合理選擇和添加阻垢劑。
3、膜清洗技術
為了恢復膜通量并延長膜的使用壽命,膜蒸餾過程中往往需要定期清洗膜表面及膜孔內的污染物。常用的清洗技術主要分為物理清洗和化學清洗兩大類,物理清洗指利用物理方法沖洗膜孔及膜表面,主要適用于膜污染初期階段。然而,當膜孔內結垢或膜污染嚴重時,采用物理清洗的方式往往達不到清洗要求,此時需對污染膜進行化學清洗。化學清洗主要通過化學試劑與膜表面及膜孔內的污染物發生化學反應,從而將污染物從膜上去除。對常用的清洗方法、清洗機制及主要針對的污染物類型進行了總結,并對其優缺點和成本進行了比較,結果見表2。

3.1 物理清洗
3.1.1 水洗
在用水洗法清洗污染膜時,通常直接將進料液替換為純水,然后在常溫下進行膜清洗。Naidu等用去離子水清洗了DCMD過程使用的污染膜,結果發現經水洗后沉積在膜上的無機晶體顯著減少,表明無機污垢在膜上的污染大部分是可逆的。此外,Charfi等研究發現,水流速度越大可獲得的通量就越高,但膜表面產生可逆污垢的風險也會增大。一般來說,當過膜流速較小時,膜表面附近的層流層厚度會增加,較厚的層流層能夠截留更多的污垢。然而,層流層厚度的增加延長了污垢與膜相互作用的時間,促使膜污染向不可逆方向發展。因此,在進行水洗時應確定最佳錯流速度以達到最佳的膜蒸餾處理效果。
水洗操作簡單,性價比高,可使用范圍廣,且清洗膜上污垢層的效果較好。但應注意,水洗只能對膜表面及膜孔沉積的疏松污染物進行沖洗,膜表面的致密污垢層仍需使用其他方法進行清洗。
3.1.2 曝氣清洗
曝氣清洗污染膜的工作原理是通過注入氣體到原料液中形成兩相(即液-氣)流,然后曝氣形成的氣泡對水流的分隔作用使原料液波動,從而增大膜表面的剪切速率,達到對膜表面污垢層沖洗的目的。因此,曝氣清洗只能處理以無機污染物為主的外部污垢。
Chang等認為曝氣時,氣泡可在進料側膜界面處提供較大的剪切力,從而削弱污垢在膜上的附著力,降低污垢層的厚度,進而顯著延緩通量的下降。此外,Choi等研究了在膜蒸餾過程中曝氣對膜污染的影響,在曝氣-膜蒸餾耦合試驗進行1h后,系統的滲透通量比未曝氣組高40%以上,同時水回收率提高了18%。上述研究結果表明,曝氣可減少膜上污垢,對膜污染有明顯減緩作用。但曝氣也受流速影響,較高的流速可能會因污垢晶體結構的變化而使長時間曝氣的操作效率降低。
曝氣作為一種膜清洗技術,有如下優點:①可減少溫度極化和濃度極化;②可沖洗松散污垢層;③可防止鹽晶體成核。盡管曝氣清洗具有如上優點,但其曝氣效果受氣泡直徑、溶液pH及污染物特性影響。因此,該技術在膜蒸餾過程中緩解膜污染應用方面仍需更多研究。
3.1.3 振動/超聲清洗
超聲清洗緩解膜污染主要通過超聲空化作用。超聲空化主要通過物理介質生成振蕩區域,在振蕩稀疏階段物理介質會受到凈負壓力,從而觸發超聲空化。當空化區發生內爆或坍塌時,產生的作用力可去除膜表面上附著的污垢層。
Naji等認為超聲可有效去除聚四氟乙烯膜和聚偏氟乙烯膜上的硅垢和鈣垢,還可使滲透通量增加50%~70%。該過程通量增加的原因是超聲可將超聲波的能量轉化為熱量,從而減少膜上的傳熱損失,降低溫度極化影響,提高過膜傳質效率。Park等通過直接振動膜組件來控制膜蒸餾過程中的膜污染行為,在加入頻率為100~200Hz的振動后,DCMD系統通量下降明顯減緩;且隨著振動頻率的增加,膜污染的減緩作用更加顯著。此外,由于膜上結垢機制存在差異,振動在膜蒸餾中比在MF中更能有效控制膜污染。
但需注意,振動/超聲清洗過程操作參數(如頻率)選取不當會破壞膜材料,使膜表面產生裂縫、孔隙變形甚至降解。因此,在使用振動/超聲清洗技術時,建議盡量選擇低功率,在保護膜的同時還可降低能量損耗。
3.2 化學清洗
3.2.1 酸/堿清洗
酸洗常用于去除無機污染物,其作用機制是通過與無機污染物發生化學反應,削弱污染物與膜間的相互作用,從而使污染物與膜分離。堿洗主要通過堿性清洗劑與有機物反應生成易溶于水的鹽,進而使其從膜表面去除。
Charfi等對DCMD系統處理厭氧消化廢液后的污染膜先后用去離子水、0.2%的NaClO和3%的檸檬酸進行了清洗實驗。研究發現,NaClO有助于去除膜表面上的有機污垢,而檸檬酸對膜孔中的無機污垢有很好的去除效果。Jia等用HCl(pH=2)和NaOH(pH=12)依次對DCMD處理反滲透廢水后的污染膜進行了清洗,研究發現,經酸堿清洗后膜通量可恢復至原通量的62.8%。然而,隨著系統的繼續運行,通量逐漸降低,滲透側電導率迅速增加。這個現象可能是由于膜經酸堿液清洗后,膜表面仍會形成污垢層堵塞膜孔,進而導致膜潤濕。
雖然酸堿清洗劑對膜上的污垢層清洗效果顯著,但高濃度的清洗劑會損傷膜結構,從而使膜潤濕性增加。但清洗劑濃度過低又很難達到理想的清洗效果。因此,在滿足清洗要求的前提下,應盡量選擇濃度較低的清洗劑,避免造成資源浪費及膜的二次污染。
3.2.2 表面活性劑/螯合劑清洗
表面活性劑是一種同時含有親水基團和疏水基團的有機化合物,可將有機污垢吸附在疏水側,從而使有機物從膜表面脫離。螯合劑可減弱金屬離子(如Ca2+)的橋接作用,破壞污垢層與膜的相互作用,從而使污垢從膜上去除。
Jia等研究發現,針對DCMD處理反滲透濃縮廢水后的污染膜,采用SDS清洗可有效恢復70%以上的滲透通量及近100%接觸角,說明SDS有效破壞了有機污染物與Ca2+之間的相互作用,從而顯著減緩了有機物對膜的污染。Lu等用EDTA清洗了VMD處理冶金廢水后的污染膜,清洗后污染膜的通量恢復率可達99%,說明EDTA可有效緩解微溶性硫酸鹽引起的膜污染。
在使用表面活性劑和螯合劑清洗時,需要注意表面活性劑可能會改變膜的疏水性,降低膜的表面粗糙度。此外,表面活性劑和螯合劑分子大小若與膜孔徑接近,則可能堵塞膜孔,造成通量衰減。
3.2.3 氧化劑清洗
氧化劑是一種強力清洗劑,常用于去除膜上的有機和生物污垢。通常使用次氯酸鈉(NaOCl)來清洗膜,此外過氧乙酸(CH3CO-COOH)、過氧化氫(H2O2)等也可作為膜清洗的氧化劑。其主要機理是通過將有機大分子官能團氧化為羧基、酮基和醛基,從而提高污染物的親水性,促使其從膜上分離和降解。Charfi等采用0.2%的NaClO對DCMD過程中的污染膜進行了清洗,發現經過NaClO清洗后滲透通量恢復了11.95%,同時NaClO不僅有助于去除膜孔內部的污染物,還可以有效去除膜表面上的污染物。然而,Jia等使用2%的NaClO進行膜清洗,雖然實現了高達97.9%的滲透通量回收率,但電導率迅速升高,說明鹽分快速流失導致了潤濕現象。綜上所述,盡管使用氧化劑對污染膜進行清潔非常有效且無毒性產物生成,但仍需注意合理選擇適當類型和用量的氧化劑以避免對膜材料及其分離過程造成不良影響。
4、結論與展望
在使用膜蒸餾淡化海水及處理廢水中,無機物、有機物或微生物沉積在膜表面或堵塞膜孔會導致膜結垢和膜潤濕,進而降低膜蒸餾的工作效率。因此,可以根據實際情況采用各種預處理和清洗方法對膜蒸餾過程中的膜污染進行緩解和抑制。混凝預處理工藝簡單,但對親水性有機物的絮凝能力較差,易形成化學污泥;膜過濾技術預處理效果較好,出水水質穩定,但預處理膜的膜污染也是需重點考慮的問題;吸附預處理應用領域廣泛,但其效果受吸附劑種類、濃度等條件的制約;AOPs技術能高效處理污染物,但反應條件較為嚴格;在進料液中投加阻垢劑的效果受阻垢劑的性質和實驗操作條件的影響。除上述預處理技術外,膜清洗技術也可有效緩解膜蒸餾過程中的膜污染。水洗操作簡單,但只能清洗膜上疏松污垢層;曝氣清洗、振動/超聲清洗、酸洗/堿洗等技術清洗效果顯著;但是這些技術受操作參數及溶液條件的影響較大。因此,膜前預處理和膜清洗技術在減緩膜蒸餾過程中膜污染方面仍有很大的研究空間。
①膜蒸餾作為一種新型膜分離過程,其研究廣度和深度不及壓力驅動膜分離過程,因此應發展和開拓更多的預處理和膜清洗技術。
②目前對預處理與膜清洗技術結合的相關研究較少,因此預處理聯合膜清洗技術用來緩解膜蒸餾過程中膜污染是較有前景的研究方向。
③混凝、酸堿清洗等技術在緩解膜污染方面效果顯著,但化學試劑使用不當可能會引起環境問題。因此,效果顯著和對環境友好的膜污染緩解策略將是下個階段的研究重點。(來源:重慶工商大學國家智能制造服務國際科技合作基地,重慶南向泰斯環保技術研究院,重慶大學環境與生態學院)



