人工濕地憑借其低成本高產出和環境友好的優點已被證明可對多種污染物進行有效的去除,現已廣泛用于農業面源污染、工業廢水、生活污水、污水處理廠尾水和微污染水等各類水污染的處理。然而,從脫氮效果來看,傳統人工濕地脫氮效率難以令人滿意,總脫氮效率波動較大,脫氮過程的受限又會加劇N2O、CH4等溫室氣體的排放,進一步削弱了人工濕地的生態價值。同時,人工濕地除磷效果也會隨著基質吸附容量的飽和而出現除磷效率降低甚至解吸的問題。迄今為止,為了提高人工濕地的脫氮除磷效果,已經通過多種手段對傳統人工濕地進行了強化,包括開發曝氣人工濕地、潮汐流人工濕地、微生物燃料電池人工濕地、生物炭強化人工濕地、自養反硝化耦合人工濕地以及厭氧氨氧化耦合人工濕地等。然而,上述手段存在建設成本高、運行維護過程復雜、出水可能造成二次污染等問題,如何實現人工濕地高效脫氮除磷仍是一個挑戰。
零價鐵(ZVI)作為一種廉價易得、環境友好、資源豐富的金屬材料,因其強大的還原性能和易于操作的特點被用于還原水體中的硝酸鹽。近幾年,有學者將ZVI作為基質以強化人工濕地脫氮除磷效果,在濕地內部成功富集了與鐵有關的硝酸鹽還原菌以及自養反硝化細菌,強化了人工濕地的脫氮過程;同時,FeOOH等鐵氧化物的形成也有效提高了濕地基質對磷的吸附能力。但是人工濕地內部環境較為復雜,溫度、pH、溶解氧等條件都會影響ZVI在濕地內部的轉化過程和生成鐵氧化物的種類,進而影響濕地的脫氮除磷效果。到目前為止,有關ZVI強化人工濕地脫氮除磷效果的研究多集中于對實驗現象的描述,這些實驗研究均基于不同的實驗條件和參數,得到的并非基本且普適的結論。因此,全面理解ZVI在人工濕地中的作用機理、強化效果以及影響具有重要的意義。為此,綜述了ZVI在人工濕地中的應用現狀、ZVI在人工濕地中進行脫氮除磷的生物與化學途徑、零價鐵對人工濕地生態系統和溫室氣體排放的影響以及ZVI強化人工濕地脫氮除磷的影響因素,以期為強化人工濕地脫氮除磷效果提供新思路。
1、零價鐵在人工濕地中的應用現狀
ZVI是具有標準氧化還原電勢E0(Fe2+/Fe)=-0.44V的活性金屬,已被廣泛用于還原硝酸鹽。ZVI在濕地中不僅可以提供電子供體改善濕地反硝化效果,其自身的氧化還原過程還可與濕地內部厭氧-好氧交替環境耦合促進對氮素的轉化。在近幾年的研究中,已有學者將ZVI與人工濕地相結合,以探索ZVI對人工濕地的強化效果。Zhao等將固體碳源和納米零價鐵(nZVI)結合,在人工濕地內富集了自養反硝化細菌Thermomonas和Fe(Ⅱ)型反硝化細菌Azospira,通過強化濕地內自養反硝化和異養反硝化性能,濕地脫氮率高達91.1%;Ma等將ZVI(鐵屑)加入水平潛流人工濕地后,微生物與鐵-氮間的氧化還原過程相耦合,通過厭氧氨氧化和自養反硝化過程,TN平均去除率提高到71.46%;Zhao等使用蒙脫土負載的海藻酸鈉固定納米零價鐵(SA/Mt-NZVI)解決了垂直潛流人工濕地電子供體不足的問題,與對照組相比,SA/Mt-NZVI脫氮率提高了32.5%;Cui等在表面流人工濕地中投加ZVI(鐵屑),通過鐵碳微電解過程促進了鐵利用過程中的電子轉移,在濕地內部富集了自養反硝化細菌,將TN去除率提高了31.61%。
到目前為止,ZVI已經在不同類型的人工濕地基質中進行了應用,已被驗證在人工濕地內部可以通過自養反硝化、厭氧氨氧化、鐵碳微電解、鐵型反硝化等過程強化濕地脫氮效果。
ZVI作為人工濕地基質使用時,除了可以提高濕地脫氮效率外,對磷也有較好的吸附效果。Jiang等對比了海綿鐵(以ZVI為主要成分)和沸石對磷的吸附效果,證明ZVI氧化產生的Fe2+和Fe3+對磷有較好的吸附效果,并且解吸速率較低,與沸石相比,ZVI具有更高的飽和吸附濃度。王文樂等將小龍蝦殼生物炭與ZVI混合后作為垂直流人工濕地的基質,在ZVI氧化促進反硝化過程的同時消耗了H+,增加了體系的堿度,進而形成Fe(OH)2和Fe(OH)3與污水中的磷酸根發生共沉淀,對TP的去除率為49.71%。Ma等將ZVI加入水平潛流人工濕地中,ZVI在腐蝕過程中產生的Fe3+與H2O反應后生成了比表面積較大的FeOOH,并通過Fe(3PO4)2和FePO4沉淀作用實現了93.54%的TP去除率。
現有的研究已證明,ZVI在人工濕地內可以通過多種生物、化學途徑對脫氮除磷效果進行強化,在人工濕地領域具有廣闊的應用前景,但是ZVI在人工濕地內的作用機理、強化效果及其影響因素還有待進一步的深入研究。
2、零價鐵在人工濕地中的脫氮除磷研究
ZVI在人工濕地中通過生物和化學作用進行脫氮,其中,在反硝化過程中ZVI去除硝酸鹽的作用可分為非生物還原階段和生物反硝化階段。在ZVI強化作用下,人工濕地對磷的去除則主要通過吸附和沉淀作用。
2.1 零價鐵強化人工濕地脫氮機理
ZVI強化人工濕地脫氮機理如圖1所示。

2.1.1 化學反硝化
ZVI通過化學反硝化作用去除硝酸鹽的方法因具有簡單有效且成本低廉的優點受到了大量關注,反應式如下:


人工濕地中厭氧-好氧交替環境的存在使得ZVI表面活性難以在濕地中長期保持,ZVI表面容易形成氧化膜進而影響反應的活性。同時,化學反硝化過程還會產生大量的Fe2+和NH4+-N,這些副產物可能會對環境造成二次污染,因此,ZVI的化學反硝化并非人工濕地中理想的脫氮途徑。
2.1.2 鐵驅動的氫自養反硝化
氫作為電子供體的自養反硝化在去除硝酸鹽時產物簡單且環保,造成的堵塞效應較小,在提高脫氮效果的同時不產生二次污染,反應過程如下:

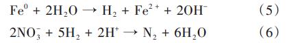
H2在運輸和生產過程中存在的風險和較高的成本限制了氫自養反硝化在人工濕地中的應用,而ZVI的腐蝕析氫可以驅動自養反硝化作用,當ZVI作為濕地基質使用時,可能會發生如下反應:

然而,ZVI與氫自養反硝化菌的復合體系去除硝酸鹽的過程可能會由于材料本身的板結、鈍化等造成NH4+-N以及NO2--N等二次污染。此外,由于H2水溶性較差并且H+/H2的氧化還原電勢(0V)遠低于Fe2+/Fe3+的氧化還原電勢(0.771V),因此,在鐵存在的情況下,H2很難作為電子供體被微生物利用,在零價鐵作為基質的人工濕地中,氫自養反硝化起到的脫氮效果十分有限。
2.1.3 鐵型反硝化
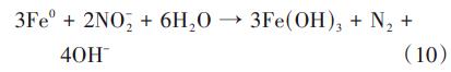
反硝化細菌以CO32-、HCO3-等為碳源,將Fe(Ⅱ)或Fe0作為電子供體、NO3--N或NO2--N作為電子受體進行的脫氮過程被稱為鐵型反硝化過程,化學反應方程式如下:


在零價鐵自養反硝化中,當電子受體為NO2--N時,所需Fe/N(物質的量之比)為1∶1,若電子受體為NO3--N,所需Fe/N(物質的量之比)為2∶3,零價鐵自養反硝化反應即式(9)與式(10)的吉布斯自由能ΔrGmθ分別為-3569.66和-871.58kJ/mol,遠低于式(7)和式(8)的-472.72和-441.55kJ/mol。同時,Liu等研究認為,以Fe0作為電子供體的反硝化過程其電極電勢均高于氫氣型反硝化、硫化物型反硝化和乙酸型反硝化,因此,從吉布斯自由能和電極電勢兩方面分析,以Fe0為電子供體的反硝化過程更易發生且Fe0比Fe(Ⅱ)反硝化更具供電子潛能。Zhao等采用改性后的固體碳源和nZVI組合對人工濕地的反硝化作用進行強化,在添加nZVI的濕地中觀察到了Azospira細菌的存在,這種細菌可以將Fe(Ⅱ)作為電子供體進行硝酸鹽的還原,進一步驗證了人工濕地中亞鐵型自養反硝化過程的存在。
2.1.4 鐵碳微電解
鐵碳微電解是利用金屬腐蝕電化學機理,通過微電池效應處置廢水的工藝,具有工藝簡易、成本低、除污率高的優勢,已被用于工業廢水和生活污水的處理。鐵碳微電解過程的陽極鐵產生的【H】以及ZVI氧化生成的Fe2+作為系統中主要的電子供體與NO3--N發生還原反應【見式(11)】。此外,該系統中還同時存在ZVI與NO3--N的反應【見式(1)】。

尚亞丹等研究了間歇曝氣時人工濕地聯合鐵碳微電解對生活污水的處理效果,結果證明,微電解可為脫氮提供電子,COD、NH4+-N、TN、TP的去除率分別達到98.58%、99.70%、78.49%、90.30%。Shen等使用微電解強化潛流人工濕地系統研究了氮磷的去除效果,當水力停留時間(HRT)為3d時,該系統對NO3--N的去除率可達到99.54%。鐵碳微電解耦合人工濕地在應用時由于ZVI及其氧化產物Fe2+會消耗水體中的溶解氧,限制了硝化反應的速率,同時,在含鐵系統中,NO3--N會被還原成NH4+-N,在鐵碳微電解人工濕地中發生式(1)的反應會進一步導致NH4+-N的積累,在濕地進水前配合預處理工藝或通過曝氣手段提高DO含量而提升硝化反應速率可以減少NH4+-N積累帶來的影響。
2.1.5 鐵氨氧化(Feammox)
鐵氨氧化是微生物利用Fe3+將NH4+-N氧化為NO2--N、NO3--N或N2,同時Fe3+還原為Fe2+的過程,反應式如下:

Shuai等使用Acidimicrobiaceaesp.A6對潛流人工濕地進行強化后,在Fe3+含量較高的濕地中觀察到了比對照組更高的NH4+-N去除率、更豐富的Acidimicrobiaceaesp.A6生物量以及更高的pH,并將其歸因為濕地中發生了Feammox過程。Ding等的研究也證明Feammox反應的速率與Fe3+含量顯著相關,在Fe3+含量較高的土壤中獲得了更高的鐵氨氧化速率。ZVI在人工濕地中通過氧化或解離過程產生Fe2+和Fe3+的同時,與Fe2+消耗濕地基質內的溶解氧,為厭氧氨氧化(Anammox)發生提供適合的環境,進一步提高脫氮率,該反應生成的Fe2+和NO3--N可以進一步發生式(8)和(9)的反應,實現硝酸鹽依賴型二價鐵氧化【Nitrate-DependentFe(Ⅱ)Oxidizing,NDFO】和Feammox或Anammox過程的耦合(見圖2)。

2.1.6 硝酸鹽異化還原成銨(DNRA)
人工濕地中的硝酸鹽異化還原成銨過程是NO3--N和NO2--N直接還原為NH4+的酶促氧化還原反應,與反硝化過程不同,DNRA將濕地中的氮素以NH4+的形式保存,直到被微生物/植物吸收或氧化為NO3--N。Negi等的研究認為在高C/N的條件下,DNRA是人工濕地中主要的脫氮途徑,脫氮貢獻率高于反硝化過程,相關研究已經證明Fe2+可以驅動DNRA過程,其反應過程式如下:

高濃度的Fe2+會破壞細胞內的電子傳輸作用,進而抑制反硝化過程。Robertson等研究發現在有氧條件下,Fe2+含量的增加會促進DNRA過程的進行,當Fe2+>400μmol/L時,硝酸鹽還原會從反硝化過程向DNRA過程轉變。
當ZVI作為基質時,人工濕地內的脫氮途徑較多,脫氮效率顯著提高。表1匯總了部分使用ZVI作為基質的人工濕地的脫氮效率。

由于人工濕地內存在好氧-厭氧的交替環境,脫氮過程較為復雜,常被認為是一個“黑箱模型”,而ZVI的加入進一步增加了濕地內的脫氮途徑,如何通過現有的研究方法和表征手段來剖析ZVI強化下的人工濕地脫氮途徑是未來需要解決的問題。
2.2 零價鐵在人工濕地中的除磷機理
盡管人工濕地植物根系吸收和微生物同化降解可以去除一部分的磷,但大部分的磷主要通過基質吸附、沉淀作用進行去除。在傳統基質的人工濕地中,聚磷菌和異養反硝化微生物因爭奪碳源而導致磷和硝酸鹽的積累,可能造成水體富營養化,長期運行時還存在除磷效率低以及解吸釋磷的問題。
ZVI在人工濕地中會被氧化為Fe2+和Fe3+,當pH為中性或堿性時,會生成Fe(OH)2和Fe(OH)3,反應方程式如下:

隨著反應的進行,Fe(OH)2、Fe(OH)3單核絡合物逐漸形成多核大聚絡合沉淀Fe【2OH2】4+、Fe【3OH4】5+、Fe【7OH11】10+、Fe【5OH8】7+,這些沉淀物可以通過吸附凝聚作用進一步吸附水體中的磷,Fe2+、Fe3+與PO43-反應可以生成Fe(3PO4)2和FePO4,具體反應式如下:

Ma等構建了鐵屑(主要成分為ZVI)基質的潛流人工濕地,以強化對農村生活污水的處理效果,在基質表面檢測到了表征FeOOH結晶礦物的XRD峰,在ZVI作為基質的人工濕地中,氧化產生的Fe3+與水形成的FeOOH具有較大的表面積,可以進一步促進磷的吸附,反應方程式如下:

ZVI強化人工濕地除磷有生物除磷和非生物除磷兩種路徑,機理如圖3所示。

Ma等的研究也認為ZVI除了吸附沉淀作用除磷外,還可以通過生物作用強化人工濕地的除磷效果,在零價鐵存在的人工濕地中,脫氯單胞菌(Dechloromonas)是主要的聚磷菌(PAOs)。表2總結了部分研究中ZVI對人工濕地除磷效果的強化作用。
在ZVI強化人工濕地除磷效果的應用過程中發現,隨著運行時間的延長,鐵的鈍化以及基質對磷吸附作用的飽和會降低除磷效果,FeOOH和水體中的Fe2+會逐漸轉化為Fe3O4,較厚的鈍化層會削弱對磷的吸附效果。

使用ZVI前后的SEM圖片如圖4所示。從圖4可以看出,使用前的ZVI表面結構清晰,具有微米級的孔和縫隙,而實驗后的ZVI顆粒其表面覆蓋有結晶沉淀,并且還有較多不規則的小孔。

因此,如何實現長期運行后含ZVI填料人工濕地的原位鈍化修復是未來研究的重點。張美玲使用葡萄糖溶液厭氧再生處理運行150d的富鐵基質人工濕地,ZVI孔隙率上升了2%,基質表面附著物脫落,有效實現了填料的原位再生。通過厭氧再生利用基質內的微生物進行有機物厭氧反應,使附著物脫落,孔隙率升高,為人工濕地基質填料的原位再生提供了新的思路。
3、零價鐵強化人工濕地脫氮除磷的影響因素
零價鐵的理化性質、投加量、氧化還原電位(ORP)、溶解氧、pH都會影響人工濕地的污染物去除效果。
按照尺寸大小,可以將ZVI分為微米零價鐵(mZVI)和納米零價鐵(nZVI),但在人工濕地中用到的ZVI為了防止濕地基質堵塞,尺寸一般都大于1mm,零價鐵顆粒的尺寸越小,有效表面積越大,還原效率越高,在避免濕地堵塞的前提下,可以盡量選擇比表面積大的ZVI顆粒作為濕地基質使用。ZVI的制備方法會影響其成分組成,電弧還原法制備的nZVI顆粒為純ZVI,而NaBH4還原FeSO4法制備的nZVI顆粒中含有Fe3O4雜質,電化學和超聲波相結合制備的nZVI顆粒含有Fe2O3雜質。與水熱針鐵礦氫還原法制備的nZVI顆粒相比,天然針鐵礦氫還原法制備的nZVI顆粒含有一定的Al替代物。
pH也會影響以ZVI作為基質的人工濕地脫氮效率,一是因為硝酸鹽還原需要質子的參與,二是因為pH還會影響ZVI的腐蝕速率以及腐蝕產物。Liu等認為在較低的pH和ORP條件下腐蝕產物為Fe2+,Fe2O3出現在較高的pH和ORP條件下,而Fe3O4出現在高pH和低ORP條件下。若在沒有pH控制或緩沖溶液的情況下進行硝酸鹽還原,當pH升至中性或堿性時,ZVI會形成Fe2O3,這會抑制ZVI向硝酸鹽的電子轉移,進而降低脫氮效率。將ZVI作為人工濕地基質使用時應盡量將進水pH控制在中性范圍內,pH過高會導致ZVI鈍化,降低脫氮效率,而pH過低可能會對濕地生態系統內的微生物及植物造成脅迫作用。
溫度對硝酸鹽的還原也有顯著影響,ZVI對硝酸鹽的去除率隨著反應溫度的升高而提高,溫度的升高加速了硝酸鹽在ZVI粒子表面的遷移速率,促進硝酸鹽在鐵表面的擴散和吸附過程,提高了反應速率。
溶解氧對零價鐵反應速率的影響目前尚未有定論,一般認為,當溶解氧<5mg/L時,零價鐵的還原反應活性通常較高,有利于亞硝酸根和硝酸根的還原,能夠提高硝酸鹽的去除率。當溶解氧≥5mg/L時,零價鐵被氧化導致失去部分還原能力,從而使硝酸鹽的去除效率降低,抑制硝酸鹽的去除效果。通常較高的溶解氧濃度會降低硝酸鹽的去除率。但當溶解氧存在時鐵的腐蝕增加又會產生更多的Fe2+,促進硝酸鹽還原,在初始pH為2.0時,有溶解氧時硝酸鹽去除率為49.7%,無溶解氧時僅為12.1%。在人工濕地系統內,由于存在好氧-厭氧交替的環境,溶解氧對ZVI還原硝酸鹽的影響尚未得到一般性結論。在具有氧化條件的垂直流人工濕地中,磷可以與無定形鐵氧化物結合而滯留在濕地基質中保持相對穩定的狀態。然而,在嚴重堵塞或者缺氧條件下的水平潛流人工濕地中,由于鐵會被生物還原為亞鐵,與氧化還原過程敏感的鐵化合物所結合的磷可能會解吸進而回到水體中。
在一定范圍內,硝酸鹽去除率會隨著ZVI投加量的增加而增大,但ZVI投加量過高會因其板結而造成濕地基質的堵塞,同時過多的ZVI會對微生物以及濕地植物產生抑制作用,進而降低濕地的脫氮效率。
4、零價鐵對人工濕地生態系統的影響
鐵作為一種微生物生長所需的必要營養元素,常用于輔助蛋白質起到氧化還原、催化和調節的作用,適量的鐵可以促進濕地中的脫氮過程。Zhang等比較了不同投加量的ZVI對脫氮過程的影響,研究結果顯示,當ZVI投加量為0.2g/L時脫氮效率最佳,同時副產物最少,當ZVI投加量超過0.2g/L時,NH4+-N和NO2--N的產量會增加。Si等在投加海綿鐵(以ZVI為主要成分)的人工濕地中也觀察到了類似的現象,NH4+-N是主要的還原產物,同時,投加海綿鐵的人工濕地脫氮效率均高于普通礫石作為基質的人工濕地,當海綿鐵與礫石的質量比為1∶5時,總無機氮的去除率最高,在海綿體更高的投加量下氮去除率出現了下降,可能是由于海綿鐵造成的非生物脅迫抑制了異養反硝化菌的活性,進而導致NH4+-N的積累增加。ZVI作為濕地基質時還可以促進某些細菌的富集,增強廢水中氮和難降解有機物的去除,ZVI促進了鞘氨醇單胞菌科(Sphingomonadceae)的生長,改善了分解有機復合物的效果。此外,ZVI的投加也顯著提升了根瘤菌(Rhizobium)、不動桿菌(Acinetobacter)及Dechloromonas、Thauera和Saccharimonadales等反硝化菌屬的相對豐度,進而提高了脫氮效果。但是,ZVI在促進細菌生長方面具有選擇性,投加ZVI的濕地系統中具有聚磷酸鹽作用的Rhodocyclaceae和Geobacter豐度都顯著低于對照組,可能是由于鐵碳微電解過程中陽極的反應導致自由基的過度產生進而阻礙了厭氧聚磷菌的代謝,致使投加ZVI的濕地除磷效果變差。
除了影響濕地系統的微生物群落結構外,ZVI還會對濕地植物造成影響。研究者將擬南芥暴露于nZVI中,ZVI可以通過產生活性氧(ROS)使細胞壁松動,通過激活質膜H+-ATPase增強氣孔開放,促進了幼苗生長。當ZVI的濃度過高時,ZVI會對植物產生毒性,其毒性不僅取決于ZVI的性質和濃度,植物種類、微生物元素循環等環境條件也會影響ZVI的毒性,不同的植物對ZVI的耐受程度也不同。ZVI對植物的毒性機制一方面是ZVI可以黏附在根表面,阻斷根的膜孔并抑制植物對水和養分的吸收,影響種子萌發和幼苗生長,ZVI氧化生成的Fe2+、Fe3+也會在植物根系形成不溶性磷酸鹽和氫氧化物的覆蓋層并影響植物正常生長;另一方面,ZVI可能會通過吸收作用進入細胞,過量的ZVI可能觸發細胞內ROS的生成,從而抑制光合作用,破壞細胞結構、影響細胞器的功能,最終導致細胞死亡。Si等在種植美人蕉的人工濕地中探究了ZVI對植物的脅迫作用,結果顯示ZVI的增加顯著提高了美人蕉葉片細胞中丙二醛(MDA)的含量,隨著ZVI投加量的增加,MDA和H2O2濃度升高,植物葉綠素a含量出現了急劇下降,凈光合速率顯著降低,植株生物量的增加受到抑制。因此,濕地基質中ZVI的長期存在會導致美人蕉出現明顯的氧化應激,進而減緩美人蕉的生長。Wu等在富鐵基質的水平潛流濕地處理富硫酸鹽氯代烴污染地下水的長期研究中發現,在濕地運行初期,孔隙水中累積的Fe2+濃度高達35mg/L,但經過6年的運行,由于基質中的鐵耗盡,孔隙水中的Fe2+下降到0.3mg/L,整個過程中鐵對植物并未表現出負面影響。
在一定的ZVI投加量范圍內,以ZVI作為基質的人工濕地脫氮除磷效果以及植物生長并不會受到顯著抑制,但考慮到人工濕地生態系統長期可持續發展,未來的研究應集中于篩選ZVI耐受性較高的濕地植物,并通過ZVI改性、優化ZVI投量等手段降低ZVI對濕地的負面影響。
隨著碳中和與碳達峰目標的提出,人工濕地在大規模應用時必須考慮溫室氣體的影響,ZVI作為濕地基質不僅可以提高污染物的去除效率,還可以減少溫室氣體的排放。ZVI在濕地中產生的鐵氧化物不僅可以通過與產甲烷菌競爭產甲烷底物,還可以直接提供電子受體以降低CH4的排放量;Fe2+的氧化與反硝化作用會通過電子轉移影響N2O的排放,鐵碳微電解中大分子有機物可被轉化成小分子有機物,為微生物的異養反硝化提供碳源,促進反硝化過程完全進行,ZVI介導的自養反硝化過程也有利于減少N2O的產生。趙仲婧等通過構建鐵碳微電解填料和以沸石為基質的曝氣人工濕地系統,實現了人工濕地溫室氣體的減排,鐵碳微電解基質的人工濕地減少了30.29%~73.87%的N2O排放。CH4產量隨著ZVI投加濃度的增加而降低,這可能是由于ZVI可以使鐵離子濃度升高并降低細胞膜的流動性,致使細胞活性和產甲烷關鍵輔酶活性變差,從而對產甲烷過程造成抑制,降低甲烷產量。Antwi等的研究認為,當ZVI的濃度為20g/L時CH4產量會受到抑制。
5、挑戰與展望
人工濕地作為低能耗的生態友好型污水處理技術已被廣泛用于各類污水處理,ZVI作為基質在人工濕地中的使用通過將鐵的氧化還原過程與氮素的硝化反硝化過程以及磷的吸附降解過程相耦合,為提高人工濕地的脫氮效率提供了新的思路,也有效降低了人工濕地的溫室氣體排放量。國內外相關學者已經對ZVI強化人工濕地的脫氮除磷效果進行了相關研究,但對ZVI強化下人工濕地內的脫氮路徑還需要進一步研究討論。
①優化ZVI的投加量以及投加方式,在提高脫氮效率的情況下避免對濕地生態系統造成脅迫作用。
②ZVI的板結是影響其大規模應用的重要原因,如何通過包埋、固定化以及改性等方式解決ZVI在濕地中長期使用存在的板結問題可能是未來的研究方向。
③ZVI作為基質在除磷過程中形成的沉淀物可能會造成濕地堵塞,進而降低濕地的除磷效果,如何通過原位再生的手段恢復濕地的除磷效果需深入探討。
④ZVI在人工濕地中的應用目前仍停留在實驗室階段,由于鐵投加量較少且實驗條件理想,但該技術應用于實際工程時,ZVI的投加是否會造成出水中的鐵含量超標進而造成環境二次污染還需進一步的探究。
⑤除了對常規污染物進行去除外,還需探究ZVI強化下的人工濕地是否具有對抗生素、內分泌干擾物(EDCs)以及持久性有機污染物(POPs)等新污染物進行有效去除的潛力。(來源:蘭州交通大學環境與市政工程學院,甘肅省非常規水資源化利用技術重點實驗室,西安理工大學西北旱區生態水利工程國家重點實驗室)



