原油劣質化、重質化加劇,導致在原油開采與石油煉制過程中,含油廢水排放量大、乳化程度高、處理難度大。電脫鹽廢水是最為典型的含油乳化廢水,是煉廠需要控制的關鍵特征污染物質(油與脂、酚類、硫化物、氨氮和總懸浮顆粒物(TSS))的主要來源。通常,在廢水中浮油含量較高時,需要根據油水比重差對含油廢水進行一級除油處理,如重力分離、氣浮等。一級處理后,廢水中仍存在大量的乳化油,為高效破乳除油,需要對這類水包油乳化液進行二級處理,F有污水處理工藝難以解決含油廢水破乳問題,時常造成污水處理系統出水超標。高含油量、強乳化的電脫鹽廢水已成為煉廠最難解決的污染問題之一,如何強化電脫鹽廢水預處理是石油煉制行業面臨的巨大挑戰。
近年來,人們越來越重視電化學污水處理技術,包括電氧化、電絮凝、電氣浮等,所使用的電極涉及不銹鋼、鋁、鐵、鉑等常用金屬材料。部分電極材料處理工業廢水的實驗對比結果見表1。鐵、鋁電極常用于電絮凝工藝。當廢水組成復雜且含鹽量較高時,常規物理化學技術難以發揮正常作用,此時電絮凝處理技術則能突顯優勢,可通過化學反應、共沉淀或者膠體物質的物理化學附著等作用去除主要污染物。其中,極板溶解出的金屬離子可形成多種帶電的羥基化形態,吸附于Al(OH)3(s)或Fe(OH)3(s)等表面,發揮活性混凝劑作用。陰極產生的氫氣起到氣浮作用,可強化污染物分離。與化學混凝機理相似,在電絮凝過程中,廢水體系連續發生著污染物脫穩、顆粒物懸浮以及乳液破乳等反應。

電絮凝處理工藝的運行成本主要包括電極材料、電耗、人工、設備維護、污泥處理等費用,其中電耗和電極材料損耗成本最高。在對電鍍廢水進行電絮凝處理過程中,降低pH可增加陽極消耗,提高pH則導致能耗升高。利用電絮凝處理機械工業廢水時,若達到95%的COD去除率,鐵電極與鋁電極的成本分別為2.54歐元·m−3和7.16歐元·m−3,前者僅為后者的35%。在電絮凝過程中,陽極氧化形成的金屬陽離子與OH−發生反應,生成金屬氫氧化物膠體,這類物質的膠體性狀使氫氧化物吸附于電極表面,形成一層氧化膜,從而降低傳質效率而產生電極鈍化影響。當反應溫度較高時,電極表面的氧化膜被破壞,鈍化減弱,反應活性提高,電流效率隨之升高。由于電脫鹽廢水溫度通常高于60℃,在采用電化學處理時,能夠有效減緩極板鈍化。此外,利用脈沖電場也可有效控制極板鈍化與極化,提高處理效率并降低運行成本。
為解決石油石化含油廢液破乳難的問題,本研究以電脫鹽廢水為研究對象,利用脈沖電場,考察電絮凝技術對電脫鹽廢水的處理效果,分析電絮凝的破乳分離機制,明確最佳處理條件,旨在為電化學技術高效處理石油石化含油廢液提供參考。
1、實驗材料和方法
1.1 材料
本實驗水樣取自某煉廠電脫鹽反沖洗廢水,pH為7~8,電導率為700~950μS·cm−1,化學需氧量(COD)為4500~10000mg·L−1,溶解性有機碳(DOC)為300~500mg·L−1,總油為3000~5000mg·L−1。
實驗所用試劑包括正己烷、二氯甲烷等,均為色譜純;鹽酸、無水硫酸鈉、無水乙醇、四氯乙烯等,均為分析純。所用電極材料為鋁板和鐵板,購自實驗反應器加工廠。
1.2 分析方法
1)基本水質分析。采用水質多參數分析儀(美國哈希公司)測定pH值和電導率;采用化學需氧量儀(DR/2400型,美國哈希公司)測定COD;采用總有機碳分析儀(multiN/C2100S,德國耶拿公司)測定DOC;根據國家環境保護標準(HJ-637-2018),采用紅外測油儀(Oil480R,北京華夏科創儀器公司)測定總油;采用ICP-OES儀(OPTIMA7000DV,美國PE公司)測定Ca2+、Mg2+;采用離子色譜儀(ICS-2100,美國戴安公司)測定Cl−質量濃度。
2)顯微鏡分析。采用顯微鏡(BX53M,日本奧林巴斯公司)觀察電脫鹽廢水處理前后的基本性狀。分別取少量樣品置于載玻片上,在顯微鏡下觀察不同放大倍數時的形態。
3)GC-MS分析。根據《巖石中可溶有機物及原油族組分分析標準》(SYT5119-2008)對電脫鹽廢水進行飽和分分離,采用Trace1310氣相色譜與TSQ8000Evo三重四級桿質譜儀聯用(Thermo,美國)分析飽和分。色譜條件:載氣為99.999%的氮氣,流速為1mL·min−1(恒流條件),分流比為20∶1;色譜柱為HP-5MS彈性石英毛細柱(30m×0.25mm×0.25μm),初始柱溫為80℃,維持3min后,以6℃·min−1的速度升溫至280℃并維持5min;進樣量為0.2μL。質譜條件:EI離子源電壓為70eV,質荷比m/z為35~420。
4)光譜分析。樣品經0.45μm醋酸纖維膜過濾后,采用紫外可見吸收-三維熒光光譜儀(Aqualog,日本HORIBA公司)掃描紫外可見光譜(UV-vis)和三維熒光光譜(3D-EEMs)。使用1cm×1cm四面透光石英比色皿,以超純水為空白,對水樣進行連續掃描。激發波長(Ex)為200~500nm,發射波長(Em)為200~600nm,掃描帶寬均為5nm。
采集紫外可見光譜數據并進行分析,計算出250nm和365nm處吸光度的比值(E250/E365),可用來反映有機物的芳香度和分子質量。同時,計算出254nm波長下的吸收系數與DOC質量濃度的比值(SUVA254),可用來表示DOM的芳香度。
采集三維熒光光譜數據,去除拉曼散射和瑞利散射后,獲得三維矩陣數列數據與3D譜圖,以此分析特征熒光峰和熒光強度。
1.3 實驗方法
本研究選用板式電化學反應器,電極材料分別為Fe和Al,陽極與陰極均為同種電極材料。極板面積為10.5cm×14cm,極板間距為2cm,每組實驗廢水500mL,實驗裝置流程如圖1所示。本研究重點考察極板材料、電流密度、反應時間條件下電化學處理電脫鹽廢水的效果。在極板使用前,利用丙酮清洗表面。

在Fe-電絮凝處理過程中,采用響應曲面方法(RSM)設計實驗方案,對電絮凝處理工藝進行條件優化。根據前期單因素實驗確定的變量范圍,利用Design-Expert8.0軟件設計了2因素5水平的響應曲面中心復合實驗。電流密度和反應時間是電絮凝處理過程中的重要影響因素。CHEN指出,電流密度越高,原位絮凝劑產生量越大,可以產生較好的處理效果,并減小裝置體積。因此,本研究重點以反應時間(X1)和電流密度(X2)為影響電脫鹽廢水電絮凝處理效果的因變量,以COD去除率(Y1)和總油去除率(Y2)為響應值,根據RSM分析實驗數據獲得響應值的預測值(表2)。

對實驗結果進行分析后,可以獲得與各個影響因素相關的響應值的線性或多項式模型(式(1))。

式中:Y為響應值;β0為截距;β1和β2為線性回歸系數;β12為交互系數;β11和β22為二次回歸系數。
2、實驗結果與討論
2.1 極板材料優選
電脫鹽廢水的COD和總油初始質量濃度平均為5100mg·L−1和3000mg·L−1。設定電流密度為3mA·cm−2,檢測不同反應時間COD與總油質量濃度,對比Fe電極和Al電極對COD與總油的去除效果,結果如圖2所示?梢钥闯觯S著反應時間的增加,COD和總油去除率逐漸升高。當反應20min時,Fe電極和Al電極的COD去除率分別為52%和50%,總油去除率分別為90.3%和88.5%。綜合來看,采用Fe電極時,電脫鹽廢水的COD與總油去除率略高于Al電極。

進一步利用顯微鏡觀察Fe電極和Al電極處理電脫鹽廢水前后的樣品(放大50倍),結果如圖3所示?梢钥闯,電脫鹽廢水在顯微鏡下可見明顯的大小不均的油滴(0.5~15μm),并與黑色的顆粒物及水互相裹夾。采用Fe電極電絮凝處理后,廢水中已無明顯的油滴,僅可見少量細小的顆粒物懸浮于水相。而以Al電極處理后,水相中顆粒物較多,且可見細微油滴。

綜上所述,電絮凝可分離電脫鹽廢水的油、水、固混合相,其中Fe電極在去除COD和總油時效果較好,材料成本較低。因此,本研究選擇Fe電極處理電脫鹽廢水,進一步優化處理工藝參數,并探究作用機制。
2.2 電絮凝對污染物的去除機制分析
1)GC-MS分析。利用Fe電極處理電脫鹽廢水,電流密度為4mA·cm−2,取反應時間為5、15、20min的出水進行飽和分分離,飽和分占總油的比例≥70%。分別對飽和分進行GC-MS分析,并與Al電極反應15min的譜圖進行對比,總離子流如圖4所示。可以看出,電脫鹽廢水飽和分中含有碳數為10~27的烴類化合物及苯酚、甲基苯酚等含氧化合物。采用Fe電極時,電絮凝處理5min后,主要化合物種類及分布變化不大,但相對豐度降低,即污染物濃度降低,此時對應總油的去除率約為30%;電絮凝15min后,幾乎檢測不到碳數>11的有機物。電絮凝20min出水與15min出水的譜圖相似。而采用Al電極進行電絮凝時,反應15min后的飽和分中仍殘留系列烴類物質,這與圖2和圖3結果一致。可以推斷,Fe電極電絮凝可顯著去除電脫鹽廢水中的石油類物質,但對于酚類等碳數≤10的含氧有機物的去除作用并不明顯。

由于GC-MS僅能檢測出總油中極性油指標的部分微觀組成,因此電絮凝除了難以去除可檢測到的酚類物質,對于GC-MS無法檢測到的強極性有機物也難以發揮效果。
2)光譜分析。為進一步分析電絮凝對電脫鹽廢水中有機物的作用,分別取電流密度為4mA·cm−2、反應時間為20min前后的電脫鹽廢水,對其DOM進行UV-vis和3D-EEMs光譜分析。UV-vis可以利用污染物對紫外或者可見光的吸收特性來表征物質濃度和來源,3D-EEMs則能夠采用三維激發/發射矩陣對有機物進行特異性識別。
圖5為電脫鹽廢水電絮凝前后DOM的UV-vis譜圖以及SUVA254和E250/E365的變化圖。由于DOM含有多類不飽和結構,其中“π-π”電子躍遷在250~280nm之間有明顯的紫外吸收。由圖5可以看出,電脫鹽廢水反應前后DOM的特征吸收峰為266nm,電絮凝后DOM的紫外可見吸收明顯降低,266nm處的紫外吸收值由0.711降至0.319,去除率為55%。由圖5還可以看出,電脫鹽廢水電絮凝后E250/E365從6.8升高至11.7,SUVA254則從0.19降至0.07。E250/E365值的升高表明DOM的芳香度和分子量均降低,這與SUVA254降低代表芳香結構占比減少相一致。

電脫鹽廢水電絮凝前后三維熒光光譜對比結果如圖6所示。可以看出,電脫鹽廢水DOM主要有2個特征熒光峰,F1為Ex/Em=208nm/298nm,F2為Ex/Em=264nm/296nm,均為強激發波長熒光峰。原水中F1和F2的相對熒光強度分別為208919和77443。經過電絮凝處理后,2個主要熒光峰的位置未發生很大改變,同時F1和F2的相對熒光強度分別降為194783和76833,相對熒光強度的降低幅度不大。據報道,強激發波長熒光物質可見于煉油廢水,如苯類(Ex/Em=210nm/280nm,Ex/Em=260nm/285nm)和酚類(Ex/Em=270nm/300nm,Ex/Em=220nm/300nm)等。這類物質分子量較小,極性大、親水性強,而電絮凝對于該類極性物質的處理效果并不突出,這與圖4的分析結果一致。

綜上所述,電脫鹽廢水DOM由一系列不同結構和分子質量的有機物組成,其中芳香性不飽和結構在266nm處具有較強的紫外吸收,但顯現熒光的物質僅為極性較強的酚類、苯類等。電絮凝去除了大部分電脫鹽廢水中的不溶性物質,包括部分芳香性不飽和有機物,殘余在水相的DOM分子質量較低,極性強,且主要為能夠顯現熒光特性的酚類等物質。
3)電絮凝過程中主要離子質量濃度變化。電脫鹽廢水屬于含鹽含油廢水,富含有機物和無機離子,電絮凝處理過程中的多重作用導致無機物質如硬度離子、Cl−等發生變化,反過來又會影響有機物質的去除。為科學闡釋電脫鹽廢水中污染物的遷移轉化機制,本研究重點考察了電脫鹽廢水中共存離子Ca2+、Mg2+和Cl−在電絮凝(電流密度4mA·cm−2)處理過程中的變化,結果如圖7所示。電脫鹽廢水中Ca2+、Mg2+和Cl−的質量濃度分別為26.9、4.38和158mg·L−1,經電絮凝處理后濃度逐漸發生變化,其中Ca2+、Mg2+在反應15~20min時降至最低,去除率分別為86.2%和91.3%,隨后質量濃度變化甚微。電絮凝過程中Cl−的變化明顯不同,在0~25min內逐漸降低,達到最低后又有所升高,其在25min時最高去除率為24.7%,較Ca2+、Mg2+的去除率偏低。

電脫鹽廢水偏堿性,包含CO32−、HCO3−、OH−等堿性離子以及SO42−。在電絮凝過程中,廢水中的Ca2+和Mg2+在陰極附近富集,易與堿性離子形成CaCO3、CaMg(CO3)2、MgCO3、Mg(OH)2等沉淀物,使得廢水中硬度離子濃度降低。在同一電流密度下,反應時間增加,硬度離子的去除率也相應升高。但繼續延長反應時間,廢水體系pH降低,抑制了Ca2+和Mg2+沉淀物的生成,導致反應時間>20min的質量濃度變化不大。Cl−的形態變化是導致體系pH降低的一個重要因素。
電脫鹽廢水中的Cl−不僅是電荷載體,還能通過降低pH減弱HCO3−和SO42−與Ca2+和Mg2+的成垢副作用,抑制電極表面沉淀,形成不導電膜。此外,Cl−在電絮凝過程中產生氧化劑氯氣,具有消毒及氧化降解污染物的作用,反應式如式(2)和式(3)所示。氧化劑的生成在一定程度上可導致有機物結構變化,甚至礦化,從而使得部分溶解性COD降低,反應式如式(4)所示,此過程又會增加Cl−質量濃度。因此,在電絮凝過程中,Cl−質量濃度呈現先降低后升高的趨勢(圖7(b))。但Cl−質量濃度的最大去除率僅為24.7%,這表明,Cl−轉化成氧化形態的量較少,對有機物的礦化作用有限。

可以推斷,電絮凝過程中產生的活性絮凝劑和H2在去除大部分COD與總油中發揮了重要的混絮凝與氣浮分離作用,而Cl−轉化為氧化劑Cl2,對提升溶解性有機物的礦化效果也有一定的貢獻,同時能夠降低pH發揮電極結垢的抑制作用。CHEN通過研究發現,廢水中Cl−占總陰離子的20%以上時可以顯著改善電絮凝處理效果。
4)電脫鹽廢水電絮凝作用機制。電脫鹽廢水是一種典型的含油廢水,由顯微鏡照片可以看出,電脫鹽廢水由復雜的油包水與水包油的混合組成。在電絮凝處理過程中,電場破乳與原位絮凝作用使得電脫鹽廢水中的不溶性物質(如顆粒物、油類等)通過上浮或者沉淀進行分離,結果如圖8所示。

電脫鹽廢水中的乳化物在電場中發生極化作用,表面電荷平衡被破壞,體系脫穩,在水力作用及靜電吸引作用下持續破乳融合,小油滴增長為大油滴;溶解性電極在反應過程中還會生成高效的絮凝活性物種(如活性Fe2+),與電場破乳與油滴聚結作用相協同。廢水中的硬度離子易結垢析出,但共存的Cl−使得體系pH降低,可在一定程度上抑制Ca2+和Mg2+沉淀物的生成。Cl−在電絮凝過程中還會產生氧化劑,可進一步改變溶解性有機物結構,甚至生成CO2,但礦化程度有限。
電場破乳、絮凝、氣浮、氧化等作用能夠去除電脫鹽廢水中的油類物質和大部分弱極性、中等極性有機物,COD與總油含量降低效果顯著。電脫鹽廢水經過電絮凝處理后可分離為含油浮渣、溶液與沉淀,在去除上層浮渣與底泥后,溶液中殘存的有機物主要為分子質量較低、極性較強的溶解性有機物,且大部分為顯現熒光特性的碳數≤10的酚等物質,需經過氧化或者吸附作用進一步降解去除。
2.3 實驗條件優化
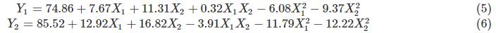
1)回歸模型分析。對表2的實驗結果進行回歸分析,可得到響應值(COD去除率與總油去除率)與2個因變量(反應時間和電流密度)之間的基于編碼值的二次多項式回歸模型,結果如式(5)和式(6)所示。

式中:Y1為COD去除率;Y2為總油去除率。
可以看出,模型中X1與X2的線性回歸系數均為正值,表明COD去除率與總油去除率均與反應時間、電流密度呈正相關關系。COD去除率模型與總油去除率模型中電流密度系數分別為11.31和16.82,明顯高于反應時間變量的系數,說明2個影響因素中電流密度對響應值的影響程度較大。
根據二次回歸模型,對COD去除率模型與總油去除率模型的各項回歸系數進行顯著性檢驗和方差分析(ANOVA),結果見表3和表4。


模型的顯著性檢驗結果以F值和P值表示,F值越大,P值<0.05,即表示自變量對響應值的影響具有高度的顯著性,具有較高的統計學意義。在表3和表4中,因變量Y1和Y2的F值分別為106.62和106.22,P<0.0001,表示通過擬合得到的二次回歸模型顯著性較高。此外,2個因變量模型的多元決定系數R2為0.97,校正決定系數R2(adj)為0.96,同樣說明該模型擬合度較好,可用來對實驗條件與結果進行分析和預測。
在以COD去除率為響應值的模型中,反應時間和電流密度2個變量的F值分別為135.96和295.97,表明電流密度對電脫鹽廢水COD去除率的影響最為顯著。同樣,在以總油去除率為響應值的模型中,反應時間和電流密度的F值分別為158.74和269.16,也體現了電流密度對響應值的顯著影響。
2)工藝參數優化。采用響應曲面法研究2個變量及其交互作用對COD去除率和總油去除率的影響。圖9反映了反應時間和電流密度之間交互作用對COD去除率的影響?梢钥闯,增加電流密度、延長反應時間均能提高COD去除率,且在電流密度為3.5~4.5mA·cm−2和反應時間為22~33min時,COD去除率≥80%。

反應時間和電流密度之間交互作用對總油去除率的影響如圖10所示?梢钥闯,在電流密度≥2.2mA·cm−2、反應時間≥13min時,總油去除率≥80%,且隨著電流密度和反應時間的增加,總油去除率隨之升高并達到峰值。

由此可以看出,提高電流密度有利于污染物去除,同時較高的電流密度又增加了處理能耗,反而降低了電流效率。因此,基于處理成本控制,利用RSM對設定的影響因素進行優化設計,得到最佳工藝運行參數:反應時間為25.4min,電流密度為4.2mA·cm−2,此時COD去除率與總油去除率的模型預測值分別為80.8%和93.5%。這與實際COD去除率(82.3%)和總油去除率(93.6%)接近。
3、結論
1)石油煉制電脫鹽廢水為含油復雜廢液體系,采用Fe電極構建的電絮凝系統處理電脫鹽廢水的效果較好。電絮凝過程中產生的活性絮凝劑和H2在去除大部分COD與總油中發揮了重要的混絮凝與氣浮分離作用,而Cl−轉化為氧化劑,對提升溶解性有機物的礦化效果也有一定的貢獻,同時也能夠降低pH以抑制電極結垢。
2)電場破乳、絮凝氣浮與氧化等作用能夠去除大部分油類物質和弱極性、中等極性有機物,殘存在溶液中的有機物主要為分子質量較低、極性較強且大部分為顯現熒光特性的碳數≤10的酚類等。基于處理成本控制,利用RSM對反應時間和電流密度進行優化設計,其中電流密度對電脫鹽廢水處理效果的影響更為顯著,此時COD與總油去除率分別達到80.8%和93.5%。(來源:中國石油集團安全環保技術研究院有限公司,石油石化污染物控制與處理國家重點實驗室)



