某公司從事各類膠原蛋白腸衣的生產,產品應用于生產各式各樣的香腸和其他肉類產品,年產量為1200t。產品加工中產生的廢水主要來源于產品原料清洗、設備器具洗滌等工序。生產過程中,廢水呈間歇排放,水質、水量不均勻,并且受季節影響較大,夏季為淡季,冬季為旺季。水中較難處理的因子是總氮。日廢水處理量為200m3。廢水排放執行《污水綜合排放標準》(GB8978—1996)中的三級標準和污水處理廠的接管標準。實際處理過程中執行內控標準,具體水質及排放標準如表1所示。主要監測指標有化學需氧量(COD)、五日生化需氧量(BOD5)、總氮(TN)、氨氮(NH3-N)、總磷(TP)、懸浮物(SS)和pH。

1、廢水處理工藝流程
廢水處理工藝流程如圖1所示,關鍵工段設計參數如表2所示。下面分析廢水處理工藝的具體流程。


生產廢水經車間篩網攔截大部分大顆粒膠原蛋白團后經過管網進入污水處理站的集水池,集水池的提升泵根據液位及時將廢水提升至轉鼓格柵,廢水經格柵格除大部分懸浮顆粒后進入調節池,廢水在該池中進行水質、水量的調節,使得廢水的水質、水量相對穩定。
調節池的廢水通過提升泵提升至反應氣浮池A進行混凝氣浮,反應器采用的是進口的高效管道反應器,這個反應器能保證藥劑與廢水充分混勻,同時占地面積小,沒有用電設備,故障率小。投加氯化鐵、液堿、聚丙烯酰胺(PAM)藥劑,使廢水中殘余的懸浮物及膠體狀物質絮凝成團,有利于通過氣浮池將其從水中分離,減少后續處理單元的負荷。
廢水經預處理后進入生物選擇池,在該池中,廢水與回流污泥充分混合。設置該池體的作用有三方面。首先,可以將廢水及污泥回流中攜帶的多余氧氣釋放出來,減少泥水混合物的溶解氧,提高后續缺氧池的去除效率;其次,可以抑制絲狀菌的過度繁殖,防止后續A/O(厭氧/好氧)工段發生絲狀膨脹;其缺氧環境有利于反硝化細菌的增殖,提高整個生化系統的脫氮能力。
生物選擇池的廢水經泵提升至缺氧池,缺氧池設置潛水攪拌機,將泥水充分混合,同時設置溶氧儀,實時掌握水中溶解氧的情況,盡早發現運行的異常情況。廢水總氮較高,廢水的BOD與總氮比值低于脫氮所需的比值(3~5倍),需要向廢水中投加碳源,以便順利完成脫氮任務。廢水中回流過來的混合液中的硝態氮和亞硝態氮通過反硝化細菌轉化為氮氣,從而保證廢水總氮達標排放。
廢水自流入好氧池,廢水中的氨氮在硝化細菌和亞硝化細菌的作用下轉化為硝態氮和亞硝態氮。同時,好氧池中的好氧細菌將有機物分解為二氧化碳和水,從而降低廢水中的有機物濃度,保證廢水達標排放。該廢水屬于缺磷型,為了保證微生物健康生長,要向廢水中定期補充磷,建議補充農藥型磷酸二氫鉀,在補充磷的同時,可以補充Cu、Mn、Cr、Co、Mo、Zn微量元素。
該系統采用進口管道混合器及氣浮池代替傳統二沉池對生化污泥進行分離回用,在管道混合器中投加陽離子絮凝劑,將細菌絮凝成團,以便在氣浮池中高效分離。浮渣(即生化污泥)利用污泥泵輸送,一部分泵至生物選擇池,一部分泵至污泥濃縮池,中層清液自流入消毒池。采用該泥水分離設備,可以大大節約用地,對于土地緊張的公司是一個非常不錯的選擇。
污泥處理期間,系統產生的柵渣通過柵渣桶收集,定期委外處置;系統產生的物化及生化污泥通過污泥濃縮池收集,然后經過污泥調理池調理,調理池投加陽離子絮凝劑,增強污泥的脫水性,最后通過離心機進行處理,使得最終污泥含水率降至小于85%,脫水后的污泥經收集后定期委外處置。
2、污水處理站運行過程中遇到的問題及改造措施
2.1 格柵運行問題
冬季,膠原蛋白容易凝結在轉鼓格柵上,造成轉鼓格柵的篩網堵塞,影響其正常使用。改造措施如下:增加一套熱水沖洗系統。設置一個加熱水池,采用蒸汽加熱,在蒸汽管上設置蒸汽比例閥,與加熱池中的溫度計聯動,控制加熱水池的溫度,保證水池內溫度穩定在58~62℃,然后采用熱水泵及高壓噴淋裝置,將熱水噴淋在轉鼓格柵上,清洗上面凝結的膠原蛋白。
2.2 曝氣問題
好氧池采用表曝機,冬季,生化池熱量散失過大引起水溫過低,影響系統的脫氮效果。改造措施如下:采用鼓風機及微孔曝氣裝置代替表曝機。冬季,羅茨鼓風機出口空氣溫度達到80℃左右,這部分熱量可以通過管道傳輸到水中,為生化池提供2~4℃的溫升。與表曝機相比,該曝氣方式不僅不會使得廢水溫度降低,反而為系統提供了一定的溫升,有效解決了表曝機冬季所帶來的問題。
2.3 生化池水溫問題
廢水站所處理的廢水量及水質超過設計值,當冬季溫度低于20℃,尤其低于15℃時,廢水出水總氮明顯升高,有一段時間該數值已經超過內控指標,接近排放標準。改造措施如下:在生物選擇池增加溫升裝置。通過在該池設置蒸汽加熱裝置將廢水溫度控制在20℃以上,維持反硝化菌的活性,保證系統出水總氮低于內控指標。
3、工程運行結果分析
3.1 2018-2019年月平均運行數據2018年月平均運行數據如表3所示,2019年1-6月的運行數據如表4所示。


3.2 2018-2019年運行數據分析
2018年,生化系統COD去除情況隨溫度的變化如圖2所示,生化系統TN及氨氮去除情況隨溫度的變化如圖3所示。2019年1-6月,生化系統COD去除情況隨溫度的變化如圖4所示,生化系統TN及氨氮去除情況隨溫度的變化如圖5所示。




由表3和圖2可知,該廢水的COD在生化系統中的去除率非常穩定,基本保持在92%~94%,去除率非常高,去除率的變化基本不受溫度的影響,說明該廢水的可生化性非常好。從廢水的有機物組成來看,有機物主要由蛋白質構成,蛋白質可以被水解成氨基酸,氨基酸可以直接被微生物利用,減少中間轉化過程,大大提高了微生物處理該廢水有機物的效率。
由表3和圖3可知,該廢水的TN和氨氮去除率隨溫度的變化而變化,當溫度大于20℃時,TN和氨氮的去除分別超過78%、99.2%,當溫度介于15~20℃時,去除率下降很明顯,TN和氨氮的去除率分別保持在50%~60%、70%~75%。這說明脫氮速率跟溫度關系很大,要想提高系統的脫氮效率,最有效的辦法就是將廢水升溫。雖然升溫能有效解決冬季系統脫氮效率差的問題,但是該方法能耗較高,僅適合于小水量、可用地面積小的工程。
2018年底,因為生產能力擴大,本項目廢水量和廢水污染物濃度都所有升高,原系統處理能力已達極限,尤其在冬季脫氮速率受溫度影響很大,為了不使生產受限,快速緩解生產能力與廢水處理站處理能力矛盾的問題,采用增加蒸汽溫升系統對廢水進行加熱,以便提升廢水處理站處理污水的能力。
由表4、圖4及圖5可知,廢水的溫升系統提高了廢水處理站的廢水處理能力,尤其是脫氮能力的提升非常明顯。1-6月的水溫基本維持在22℃以上,COD、TN及氨氮的去除率分別超過95%、75%、99.4%。系統在廢水量增加、廢水濃度增加的基礎上仍然能夠保持出水各項指標穩定達標。
通過工程實例數據分析可知,當廢水量較小時,為了應對食品行業旺季(往往是冬季)產能擴大的情況,采用蒸汽加熱系統對廢水進行升溫是最有效、最快捷的改造方式。該方式的優點是簡單、便于操作,比較靈活,可以只在冬季使用。
3.3 膠原蛋白腸衣廢水脫氮速率分析
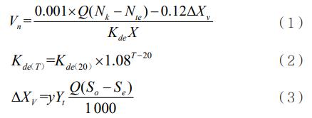
以2018年及2019年1-6月的數據為基礎,根據《室外排水設計規范》(GB50014—2006)中的三個公式進行計算。

式中:Vn為缺氧池容積,m3;Q為生化反應池設計流量,m3/d;Nk為生物反應器進水總凱氏氮濃度,mg/L;Nte為生物反應器出水總凱氏氮濃度,mg/L;ΔXV為排除生物反應池系統的微生物量,kgMLSS·d;Kde為脫氮速率,kgNO3--N/(kgMLSS·d);X為生物反應器內混合液懸浮固體平均濃度,gMLSS/L;T為設計溫度,℃;y為MLSS中MLVSS所占比例;Yt為污泥總產率系數,kgMLSS/kgBOD5;So為生物反應池進水五日生化需氧量,mg/L;Se為生物反應池出水五日生化需氧量,mg/L。
反推此廢水在20℃時的Kde(20)數據,如表5所示。表中有4個數據不具有代表性,做曲線圖時應該去掉這幾個數據,折線圖如6所示。


由表5、圖6可知,該膠原蛋白腸衣廢水在20℃時的脫氮速率基本在0.015~0.030kgNO3--N/(kgMLSS·d)波動,大部分數據在0.02kgNO3--N/(kgMLSS·d)附近,20℃時的平均脫氮速率為0.02kgNO3--N/(kgMLSS·d)。因此,在設計同類型廢水時,可以將20℃時的脫氮速率值設定為0.02kgNO3--N/(kgMLSS·d)。
4、結論
冬季可以用熱水噴淋轉鼓格柵,去除附著在轉鼓格柵上凝固的膠原蛋白。采用反應氣浮+生物選擇池+缺氧池+好氧池的復合工藝處理該廢水是成功的。水量和污染物濃度增加時,提高系統的水溫能使出水水質穩定達標,充分顯示了該處理工藝的優越性和靈活性。通過長達一年半的數據跟蹤分析可知,該類型廢水在20℃時的脫氮速率約為0.02kgNO3--N/(kgMLSS·d),這為同類型廢水的處理設計提供了非常寶貴的依據。(來源:蘇州市東方環境工程有限公司)



