某污水處理廠污水源熱泵工程位于滄州市迎賓大道以西,經一路與渤海路交口西南角的位置,小流津河東岸。一期工程的廠區綜合樓、污泥脫水間、加藥間、配電室值班等室內需要供暖,供暖面積3000余平米。原設計采用市政熱源,通過廠區新建換熱站為廠區提供熱媒。一次網供回水溫度為105/55℃,二次網供/回水溫度70/45℃。
污水處理廠的一期設計規模為6萬噸/天;二期設計規模也為6萬噸/天。二期工程建成后,運西污水處理廠的整體日處理規模可達到12萬噸/天。在一期工程建設運營中,發現污水排放的水質比較好,污水量比較穩定,冬季污水平均水溫在13℃左右,夏季污水平均水溫在20℃左右。按照保守的日處理污水量3萬噸/天計算,從排放的污水中提取3℃的溫差,冬季污水可提供4300kW的熱量,該熱量可供10平米小區冬季供暖使用。如果未來二期建成后,按照12萬噸/天排放量計算,污水的低位熱量至少可供30萬平米小區供暖使用,能產生極為可觀的經濟效益。
正是基于這一點考慮,結合廠區自身的供暖要求進行了調整,采用污水源熱泵系統進行供暖,同時,還考慮使用該系統解決廠區夏季空調的需求。
目前,市場上污水源熱泵設備已比較成型,設備冷凝側可提供50℃熱水,蒸發側最低可出5℃的冷水。因此,該工程的設計關鍵點在于污水側換熱器設計計算。污水換熱器可以分為兩種設計思路:
(1)把換熱器放在換熱機房里,污水池內設潛水泵將污水送入機房換熱器,換熱完畢后再排入污水池。該方案優點是比較好布局,施工簡單。缺點是增加了潛水泵的功耗,同時,污水換熱管線里始終流動的是污水,易腐蝕管路。進換熱器入口需要設置快速除污器,需要定期進行除污清洗,增加了售后維護工作。
(2)制作專門的污水源換熱器,將污水源換熱器直接放入污水池中,利用污水自身的水流進行換熱。這樣減少了一次水泵的循環功耗,提高了節能效果。另外,與熱泵機組進行換熱的循環水系統采用軟化水,既保證了水質干凈清潔,又避免了管路的堵塞和腐蝕。
運西污水現場實際情況是污水經過處理后,通過一段污水排放池后,排入市政污水管道。這段排放池長40多米,寬2米,內設紫外線消毒渠、巴氏計量槽,該裝置對污水排放流道有一定要求,如圖示。考慮這種特殊要求,將專門的污水源換熱器設置在污水進入排放池的前面,充分利用污水自身流速進行換熱(如圖1)。

一、方案設計依據
污水處理廠日處理污水量為60000噸/天,考慮尖峰和低谷的因素,按平均小時排水量1250m3/h計算,以此水量進行換熱器選型計算依據。污水源熱泵機組夏季冷凝器設計溫度為45/40℃,冬季蒸發器設計溫度為9/6℃,污水進行換熱器時,冬季參數較為不利,因此,以冬季工況進行選型計算。
室外氣象參數:供暖室外計算溫度-7.1℃;冬季通風室外計算溫度-3℃;夏季空調室外計算干球溫度34.3℃;夏季空調室外計算濕球溫度26.7℃;夏季通風室外計算溫度30.1℃;
室內設計溫度:
冬季:辦公、值班等生活房屋室內采暖設計溫度為tn=20℃;有人巡視而不久留的房間,室內采暖設計溫度為tn=12℃。
夏季:辦公、值班等生活房屋空調設計溫度:26℃;
按照目前采暖總面積,根據《全國民用建筑工程設計技術措施——暖通空調》及《民用建筑空調設計規范要求》,考慮外管網熱量損失,冬季熱負荷需170kW,夏季制冷量165kW。設計計算過程如下:
在污水池設置換熱器:污水池深1.5米,寬2米,將該換熱器直接放置在污水排放池中,污水池溫度11℃;熱泵機組蒸發器出水進該換熱器溫度為6℃,出該換熱器為9℃;換熱量為200kW,材質為不銹鋼。
機組選用兩臺污水源熱泵機組,單臺制熱量175kW,耗電功率36kW;蒸發器供回水溫度:6/9℃,循環水量50m3/h,冷凝器進出水溫度50/45℃,循環水量20m3/h;
室內熱水循環泵設置2臺,一用一備,循環水量40m3/h,揚程32m;污水源側循環泵設置2臺,一用一備,循環水量60m3/h,揚程30m。
二、換熱器熱力計算
(1)原始數據。
熱泵機組冷凍水進口溫度t1′=6℃;出口溫度t1〞=9℃;
污水側冷水流量G1=1250000kg/h;污水冷卻流入溫度t2′=11℃;污水冷卻流入出溫度t2〞=10℃。
(2)計算溫度及物性參數:
污水冷卻水的定性溫度t2=(t1′+t1〞)/2=(10+11)/2=10.5℃;
冷卻水的密度查物性表得ρ2=992.9kg/m3;
冷卻水的比熱查物性表得Cp2=4.174kJ/kg.℃;
熱泵機組冷凍水的定性溫度;
冷凍水的密度查物性表得ρ1=976kg/m3;
冷凍水的比熱查物性表得Cp1=4.192kJ/kg.℃
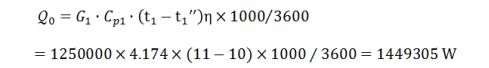
(3)傳熱量與水熱流量
取定換熱器熱效率為η=0.98;
污水側可提供的熱量:

完全可以滿足所需要提取的熱量。
污水換熱器二次側換熱量:

逆流平均溫差:
根據浸沒在液體中的盤管總傳熱系數大致值,W/(m2•℃)如表1。
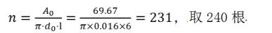
初定傳熱系數K0=1000W/m2•℃;

選用φ16×1.5無縫鋼管作換熱管;管子外徑d0=0.016m;管子長度取為l=6m;管子總數:

三、換熱器的設計制作
根據污水連續運行無堵塞換熱技術的要求,換熱器制作需要采用特殊設計,換熱管需要采用不銹鋼材質的高效換熱管,管徑相對于普通機組加大25%和璧厚加大20%,保證設備的運行效率和使用壽命。為避免換熱器與污水流通截面被污水內藻類雜質堵塞的可能,同時,便于以后清洗換熱管時,操作簡單方便,應當合理調整換熱管間的距離,保證長期使用的可靠性。因此,單根換熱管的長度取為6m,直徑Ф16mm,厚度δ=1.5mm;(如圖2)。

U形管的尺寸
①U形管彎管段的彎曲半徑
U形管彎管段的彎曲半徑R(見圖3)應不小于兩倍的換熱管外徑,常用換熱管的最小彎曲半徑Rmin可按GB151-1999表11選取,取Rmin=40mm。考慮污水側有時會有藻類雜質流通,防止U形管間距過小影響污水流通,取換熱管的彎曲半徑R=76mm。

四、換熱管間距
換熱管的中心距宜不小于1.25倍的換熱管外徑,根據GB151-1999要求,考慮污水流通性,取換熱管中心距為S=32mm(見圖4)。


污水側換熱器完成后,整體工程的安裝布局按照如下原理圖進行了布局和施工,考慮該系統需要解決辦公樓夏季制冷需要,因此,在辦公區室內增加了風機盤管系統,這樣可滿足辦公樓冬夏季使用(見圖5)。

五、運行情況分析
目前機組蒸發器側水溫14℃,冷凝器側水溫49℃,機組50%負荷運行,運行狀況良好。
污水源熱泵年運行費用:
主要機組設備冬季平均投運功率:43kW;年平均運行時間:12小時/天;120天/年;
電耗:43kW×12小時/天×120天/年×0.8元/kW.h=4.9萬元;
采用污水源熱泵系統進行供暖和空調使用,具有以下優勢:
(1)緩解能源消耗,利用城市污水作為熱源對建筑進行采暖,可以直接減少其他短缺能源的消耗。
(2)保護環境,污水源熱泵供暖系統是利用低溫污水作為熱源無燃燒、無排渣、無排煙等過程,從環保方面看,熱泵運行對環境是零污染。
(3)經濟效益顯著,如電價按民用電價計算,出水溫度在50度以下,與集中供熱相比可節省運行費用30%左右。
(4)社會效益顯著,可替代傳統的供熱鍋爐,避免建設新的集中供熱鍋爐房,對節約資源、提高能源利用、減少污染物排放,改善城市環境、提高居民生活質量。
六、結語
結語本次污水源熱泵是利用污水出水量大、水質穩定、溫度適宜等特點,以污水作為熱源進行制冷、制熱循環的一種空調系統。該系統具有熱量輸出穩定、COP值高、換熱效果好、機組結構緊湊等優點,是實現污水資源化的有效途徑。污水源熱泵比燃煤鍋爐環保,污染物的排放比空氣源熱泵減少50%,比電供熱減少75%。它節省能源,比燃煤鍋爐節省1/2以上的燃料。由于污水源熱泵的熱源溫度全年較為穩定,其制冷、制熱系數比傳統的空氣源熱泵高出40%左右,其運行費用僅為普通中央空調的50%~60%。因此,該項目的實施,有著很高的經濟效益。(來源:滄州市供水排水集團有限公司)


