水資源是人類社會生存的基礎,有著無法代替的自然社會地位,對人類的發展方向以及城市的發展進程有著深遠的影響。為此利用PVAR模型對經濟指標與水環境指標以及生活污水排放量進行研究分析,對產業結構進行調整,對生活污水排水工程進行治理。根據環境政策的構成要素以及管理體制,制定生活污水排水工程的治理方法,在有規劃的指導下進行生活污水的治理工作,有效解決水資源污染問題,改善城市水生態環境,保證水資源的合理利用,為人們提供健康舒適的生活環境。
一、基于PVAR模型的生活污水排水工程治理方法
對生活污水排水工程進行治理,改建污水排水網,合理選擇其管道材料,采用PVAR模型分析生活污水治理與經濟增長間的相關性,完成生活污水排水工程治理。
1.1 污水排水管網改建
由于大多數城市中的生活污水排水管網覆蓋率較低,結合部分地區未建設污水排水管網設施的現狀,采用PVAR模型分析城市經濟發展與生活污水治理工程間的關系,對污水排水管網進行優化,結合城市道路的具體分布,對道路中的坡向以及生活污水的受納水體的地理位置,依照污水處理廠及其分水線之間的建筑障礙物對城市中的生活污水排水系統進行區域劃分。在城市道路及其建筑無明顯分水線的情況下,按照土地面積以及人口密集程度對生活污水的排水區域進行劃分,當區域內的道路及建筑分布復雜,城市內地勢起伏較大時,使其地形的分水線與水流流域的分界線保持一致。結合城市道路及周邊建筑的具體情況,在城市中設置污水泵站,利用地勢的坡度值,使生活污水根據自身的重力作用從高處流向低處的污水處理站,減少污水泵站的設置數量以及其對于生活污水的提升次數,從而減少運行成本節約能源。
為了更好的對其進行優化,首先需要對城市生活污水的排放量進行計算,具體計算過程如下所示:

其中W為生活污水排放總量,W1為城市居民日常生活污水排放量,W2為公共建筑污水排放量,W3為工廠生活污水排放量。
城市居民日常生活污水排放量為:

其中w1i為城市居民日常所產生的生活污水排放標準量,HZ為系數,N1i為城市居民人數。
公共建筑污水排放量為:

其中w2i為公共建筑污水排放標準量,N2i為公共建筑污水排放人群的人數,Hki2為所對應的變化總系數,T2i為公共建筑最高日排水小時數。
工廠生活污水排放量為:

其中w3i為工廠生活污水排放標準量,N3i為工廠生活污水排放人群的人數,T3i為工廠生活污水最高日排水小時數。
通過上述計算能夠得出,中國城市居民每日所產生的生活污水排放量較大,為此采用截流式合流制排水方法對其進行治理。沿河岸搭建污水截流管道,在截流管道上設立溢流井,并一同設立生活污水處理廠。在無降雨影響時,將全部生活污水排放至污水處理廠,將其進行處理后直接排入受納水體。在受到降雨影響,生活污水與雨水混合的流量超過截流管道所能承受的輸水范圍時,將部分污水通過溢流井排出,并在溢流井后設立貯水池,防止排出的污水對受納水體造成污染,具體情況見圖1。

如圖1所示,將截流管道無法排出的污水暫時排入貯水池中,再將所儲蓄的污水送至生活污水處理廠,進行處理后排入受納水體。至此完成污水排水管網的改建。采用PVAR模型對截流式合流制排水方法的經濟效益進行分析,雖然截流式合流制排水管道與其他排水管道相比,其造價高出百分之二十到四十,但其泵站與污水處理廠所需成本較低,最終所消耗的經濟成本遠低于分流制排水方法,達到了低成本高回報的節能效果。
1.2 排水管道材料選擇
由于上述中截流管道所能承受的輸水范圍有限,按照«城市綜合用水量標準»,根據城市人口、土地面積以及經濟發展程度三個方面,計算排水管道的排水能力,其計算過程如下:

其中W為所設計的排水流量,S為所排放污水水流有效斷面面積,v為水流流速。
為完成該式需要計算水流流速:

其中n為系數,N為排放污水水力半徑,K為水力坡降。
系數n的取值見表1。

為保障排水管道所受的壓力在其可承受范圍之內,重力流生活污水排水管道的徑流指數按照非滿流計算,污水排水管道的最小直徑,以及其相應的最小設計坡度按照表2的范圍綜合徑流系數取值:

確定各項取值范圍后,按照規定對排水管道進行選材。目前混凝土材質的排水管道在中國各個城市的應用廣泛,但其連接管道的接頭部分耐久性差,容易損壞,導致排水管道滲漏現象時常發生,污染城市地下水質。為此改用其他材質管道,表3為部分發達國家對排水管道材料的應用情況。

由表3能夠看出,隨著城市排水管網的改建,傳統排水管道材料逐漸被新型材料所替代,不同材料的管道具有不同的特性,結合實際情況根據所需進行選擇。
1.3 基于PVAR模型的排水工程實施
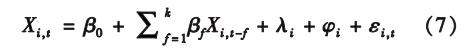
根據PVAR模型計算經濟指標與污水處理指標,分析污水治理對經濟效益所產生的影響,具體計算過程如(7):

其中i為城市,t為年份,βf為回歸系數,Xi,t為經濟指標以及污水處理指標向量,φi為時間效應,λi為該城市自然條件以及經濟發展條件等相關變量,εi,t為隨機干擾變量。
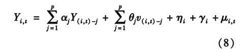
根據所得結果分析各指標數據的平穩性,若PVAR模型中的數據為非平穩性數據,則所得統計量的正確性將無法得到保障。為此在建立PVAR模型前對其進行檢驗,其具體過程如(8):

其中α以及θ為待計算系數,Yi,t為模型所要決定的變量,Y(i,t)-j為模型所要決定變量的滯后變量,vi,t為政策性變量,v(i,t)-j為政策性變量的滯后變量,ηi為個體效應,γi為時間效應,μi,t為隨機干擾變量。
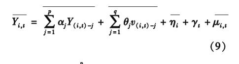
采用前向均值差分法以及組內均值差分法去除PVAR模型中的時間效應和個體效應,使計算得出的干擾變量與模型所要決定變量的當前數值及滯后變量不相關。利用組內均值差分法將時間效應所產生的隨機變量去除:

其中,Yi,t=∑pj=1Yi,t/N,N為樣本個數,其他變量定義與上式相同。
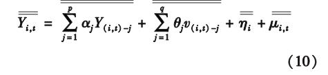
為去除時間效應變量,用公式(8)減去公式(9)得到:

其中,Yi,t=Yi,t-Yi,t其他變量定義與上式相同。
采用前向均值法對公式(10)進行處理得到:

其中Yi,t=∑tj=1Yi,t,其他變量定義與上式相同。
將個體效應變量去除,用公式(10)減去公式(11):

通過上述公式,將時間效應變量以及個體效應變量去除后,得到生活污水的排放與經濟增長之間關系的PVAR模型如下:

其中αj為系數矩陣,p為滯后階數。
PVAR模型所決定的變量為生活污水排放指標以及城市居民人均國內生產總值的對數形式,該模型將污水排放及經濟增長兩方面指標均作為其變量。將PVAR模型所決定變量的滯后項,作為該模型的解釋變量,模型中所決定變量受PVAR模型自身的滯后變量所影響。對該模型進行廣義矩估計,得到生活污水排放指標與城市居民人均國內生產總值之間的模型廣義矩估計結果。至此完成了基于PVAR模型的生活污水排水工程治理。
二、仿真實驗
為了驗證所提出的基于PVAR模型的生活污水排水工程治理方法的有效性,對基于PVAR模型的排水治理工程對lngdp的貢獻度進行實驗論證,并與傳統方法進行比較,完成模擬實驗。
2.1 實驗準備
該實驗采用Eviews軟件,根據所獲取的相關數據信息,進行模擬實驗。
為滿足以上要求,該實驗選取的實驗平臺為MV962CH/A型號計算機,該實驗平臺的各項具體參數見表4。

該實驗平臺能夠滿足Eviews軟件的相關需求,具體操作界面見圖2。

污水排水工程的治理與城市發展的經濟效益息息相關,對城市經濟增長的正影響程度被稱為lngdp貢獻度。分析基于PVAR模型的污水治理方法對lngdp的貢獻度,與傳統治理方法對lngdp的貢獻度對比,并根據實驗結果進行分析。
2.2 實驗對比分析
通過Eviews軟件進行分析,得到運行分析結果見表5。

將所得出的采用PVAR模型的生活污水排水工程的治理方法,與傳統治理方法的lngdp貢獻度進行比較。具體對比結果見圖3。

為了使實驗結果的嚴謹性得到保障,在實驗期間進行了多次對比實驗。由圖3可以看出,傳統的治理方法對lngdp的貢獻度,遠低于采用PVAR模型的生活污水排水工程治理方法對lngdp的貢獻度。因此,基于PVAR模型的生活污水排水工程治理方法更具有效性。
三、 結語
中國正處于全國性水資源短缺以及水污染嚴重的狀態,但城市的發展腳步依舊越來越快,加速了水資源的消耗。由于城市的經濟發展缺少科學性的規劃與建設,導致了水資源短缺問題日益加重,這種情況的出現,使政府機構以及排水工程相關工作人員認識到了污水治理工作的重要性,為此提出基于PVAR模型的生活污水排水工程治理方法。實驗表明該方法具有極高的可行性,希望該研究能夠為生活污水的排水工程治理提供理論依據,防治城市水污染問題,保護城市水資源,為人們提供良好的工作生活環境。(來源:上海城建職業學院)


