1 引言(Introduction)
含銅廢水因具有毒性、難降解性、遷移性和生物累積性等污染特性會對環境和人體健康產生一定的威脅(Al-Saydeh et al., 2017), 需要進行必要的處理后才能排放, 所以高效、經濟、實用的處理方法顯得尤為重要.在眾多的處理方法中, 傳統化學沉淀法由于具有處理成本較低、處理效果相對較好、操作管理簡單等優點(熊英禹等, 2014;邱陽, 2015), 現仍被多數企業采用.但由于該法存在沉淀物沉降性能較差、污泥產生量大、易產生二次污染等缺點, 故近年來學者們提出了螯合沉淀法, 以解決上述問題并能有效利用現有傳統化學沉淀法的處理構筑物(Chang et al., 2009;Liu et al., 2014;常青, 2015).高分子絮凝劑聚乙烯亞胺基黃原酸鈉(PEX)是一種新型的重金屬處理劑, 即采用化學方法對聚乙烯亞胺進行改性, 將重金屬離子的強配位基團二硫代羧基[—C(=S)—S-]接枝到其高分子鏈上(Wang et al., 2013), 可通過PEX對Cu(Ⅱ)的螯合沉淀作用有效地除去水中Cu(Ⅱ)(王剛等, 2017).腐殖酸(HA)是一種高分子聚合物有機質, 廣泛存在于天然水體中(丁文川等, 2012;Whitby et al., 2015;Manzak et al., 2017);由于HA結構中含有大量的羧基、酚羥基、氨基等活性官能團, 可與重金屬離子發生配位作用形成穩定的螯合物, 從而影響水體中重金屬的生物毒性、形態和遷移轉化(Zhou et al., 2005;Klučáková et al., 2015;謝彬彬等, 2017;Zhou et al., 2018), 在一定程度上也會影響水體中重金屬的處理.
本文以含Cu(Ⅱ)水樣為處理對象, 考察了共存HA對PEX去除Cu(Ⅱ)的影響;通過對絮體Zeta電位的測定和絮體紅外光譜的表征, 初步探討了HA共存時PEX去除Cu(Ⅱ)的機理, 以期對Cu(Ⅱ)和HA混合體系中Cu(Ⅱ)的處理提供實驗數據和理論指導.
2 實驗部分(Experimental section)
2.1 試劑與儀器
試劑:聚乙烯亞胺(PEI)、氫氧化鈉(NaOH)、二硫化碳(CS2)、氯化銅(CuCl2·2H2O)、腐殖酸(HA)、鹽酸(HCl), 實驗所用試劑均為分析純.
PEX由PEI、CS2和NaOH為原料在實驗室自制, 所得PEX為棕黃色液體, 固含量為9.04%, 含硫量為33.79%, 可溶于水、甲醇, 不溶于乙醇、丙酮、乙醚;為了盡量與實際廢水相接近, 含Cu(Ⅱ)水樣由CuCl2·2H2O和自來水配制, 且根據實際含Cu(Ⅱ)廢水常見的濃度范圍以及前期實驗研究(Bilal et al., 2013;王剛等, 2017), 選取含Cu(Ⅱ)水樣的初始質量濃度為25 mg·L-1;HA儲備液(10000 mg·L-1)由HA和蒸餾水配制(袁斌等, 2010;顧時國等, 2015), 然后根據實驗需求用自來水將其稀釋成所需濃度.
儀器:程控混凝試驗攪拌儀(TS6-1型, 武漢恒嶺科技有限公司), 原子吸收分光光度計(220FS型, 美國瓦里安公司), 紫外-可見分光光度計(Spectrum型;上海光譜儀器有限公司), pH測試儀(ORION828型, 美國奧立龍中國公司), Zeta電位儀(Nano-ZS90型, 英國馬爾文公司), 紅外分光光度計(IR Prestige-21型, 日本島津公司).
2.2 絮凝實驗
取400 mL含Cu(Ⅱ)水樣于燒杯中, 根據實驗需求加入一定量的HA儲備液后, 用HCl溶液調節體系的pH值, 采用程控混凝試驗攪拌儀, 投加不同量絮凝劑PEX, 快速攪拌(120 r·min-1) 2 min, 慢速攪拌(40 r·min-1) 10 min, 靜置10 min后用移液管吸取液面下2 cm處的上清液進行分析測試.
2.3 分析方法
Cu(Ⅱ)的濃度采用火焰原子吸收法進行測定, HA的分析采用分光光度法測定波長254 nm處的吸光度A254(袁斌等, 2010;顧時國等, 2015), Zeta電位采用Zeta電位儀進行測定, 絮體采用KBr壓片法進行紅外光譜分析.
3 結果與討論(Results and discussion)
3.1 HA濃度和PEX投加量的影響
取Cu(Ⅱ)初始質量濃度為25 mg·L-1的含Cu(Ⅱ)水樣, 加入不同量HA儲備液使其質量濃度分別為0、40、80、120 mg·L-1, 調節體系pH值為6.0, 投加不同量PEX進行絮凝實驗, 研究不同HA濃度與不同PEX投加量對Cu(Ⅱ)去除效果的影響, 同時考察PEX對HA去除的影響, 結果如圖 1所示.
圖 1

圖 1 HA濃度和PEX投加量對PEX除Cu(Ⅱ)影響
由圖 1a可知, 當體系初始pH值為6.0時, 無論HA是否存在, Cu(Ⅱ)的去除率總是隨著PEX投加量增加而升高, 最后趨于穩定;在較低PEX投加量(<100 mg·L-1)下, HA的存在對PEX去除Cu(Ⅱ)表現出一定的抑制作用, 且同一PEX投加量下Cu(Ⅱ)的去除率隨著體系中共存HA濃度的增大而逐漸降低;當加大PEX的投加量(≥100 mg·L-1), 可消除HA的抑制影響, 不同HA濃度下Cu(Ⅱ)的去除率均能達到100%.圖 1b表明, 在PEX去除Cu(Ⅱ)的同時, 也可除去體系中共存的HA, 且同一HA濃度下HA的去除率均隨著PEX投加量的增加而先升高后趨于穩定, 共存HA的濃度越大, PEX對HA的去除率越高.PEX高分子鏈上含有能與Cu(Ⅱ)發生螯合反應并生成沉淀物(絮體)的基團二硫代羧基(王剛等, 2017), 當增大PEX的投加量, 相應的二硫代羧基數量增多, 與Cu(Ⅱ)發生螯合反應的幾率增加, 生成的螯合絮體增多, 絮體間碰撞機會增加, 絮體逐漸變大使其沉降性增強, Cu(Ⅱ)的去除率升高.HA在水體中常以帶負電荷的膠體形式存在(Maghsoodloo et al., 2011;楊虎城等, 2017), 作為絮凝劑的PEX會通過吸附架橋等絮凝作用除去水樣中部分的膠體狀HA, 此時會消耗一定量的PEX, 且共存HA濃度越高, 消耗PEX量越多, 抑制作用越大.故在較低PEX投加量下HA的存在會抑制Cu(Ⅱ)的去除, 當逐漸增大PEX投加量, HA的去除率逐漸升高;繼續增加PEX投加量, HA的去除率趨于穩定, 由于體系中PEX量充足可使HA被除去的同時不影響Cu(Ⅱ)的去除, 消除了HA對PEX去除Cu(Ⅱ)的抑制作用.具體聯系污水寶或參見http://m.dongaorq.cn更多相關技術文檔。
3.2 pH值和PEX投加量的影響
取Cu(Ⅱ)初始質量濃度為25 mg·L-1的含Cu(Ⅱ)水樣, 加入一定量HA儲備液使其質量濃度為40 mg·L-1, 調節體系初始pH值分別為2.0、3.0、4.0、5.0、6.0后, 投加PEX進行絮凝實驗, 研究不同pH值與不同PEX投加量對Cu(Ⅱ)去除效果的影響, 結果見圖 2.
圖 2

圖 2 pH值和PEX投加量對PEX除Cu(Ⅱ)的影響
從圖 2可以看出, 當含Cu(Ⅱ)水樣中共存HA時, 相同PEX投加量下Cu(Ⅱ)的去除率均隨著體系初始pH值的升高而升高, 同一pH值下Cu(Ⅱ)的去除率均隨著PEX投加量的增加而升高;當PEX投加量為100 mg·L-1、pH值為6.0或PEX投加量為120 mg·L-1、pH值為3.0~6.0時, Cu(Ⅱ)的去除率均可達到100%, 共存的HA對PEX去除Cu(Ⅱ)無抑制作用.當體系pH值較低時, PEX高分子鏈上的二硫代羧基主要以—C(=S)—SH形式存在, 由于Cu(Ⅱ)與該基團上的H+發生配位競爭作用使得Cu(Ⅱ)的去除效果較差;且較低pH值時PEX與HA表面負電荷均較少, 二者間的靜電斥力作用較弱, 有利于吸附架橋作用發生, 而PEX絮凝去除HA的消耗量增加, 致使螯合除去Cu(Ⅱ)的PEX量相對減少, Cu(Ⅱ)的去除率較低.隨著pH值升高, PEX分子鏈中的二硫代羧基解離度增大, 主要以—C(=S)—S-形式存在, 其與Cu(Ⅱ)的螯合作用增強, Cu(Ⅱ)的去除率升高;且HA由于解離作用增強使其表面負電荷增多(龍良俊等, 2017), PEX與HA間靜電斥力作用增強, 不利于PEX絮凝去除HA, 而有利于PEX與帶正電荷的Cu(Ⅱ)發生螯合作用, 可促進Cu(Ⅱ)的去除.當PEX投加量增大后, 如前述原因, HA的去除率趨于穩定而不再消耗PEX, 與Cu(Ⅱ)發生螯合反應的二硫代羧基量相應增多, 螯合作用和沉降性能均增強, Cu(Ⅱ)的去除率升高, 共存HA對PEX去除Cu(Ⅱ)的影響減弱或消除.
3.3 pH值和HA濃度的影響
取Cu(Ⅱ)初始質量濃度為25 mg·L-1的含Cu(Ⅱ)水樣, 加入不同量HA儲備液使其質量濃度分別為0、40、80、120 mg·L-1, 調節體系pH值分別為2.0、3.0、4.0、5.0、6.0后, 投加100 mg·L-1的PEX進行絮凝實驗, 研究不同pH值與不同HA濃度對Cu(Ⅱ)去除效果的影響, 結果如圖 3所示.
圖 3

圖 3 pH值和HA濃度對PEX除Cu(Ⅱ)的影響
圖 3表明, 當PEX投加量為100 mg·L-1時, 相同HA濃度下Cu(Ⅱ)的去除率均隨著體系pH值的升高而升高;pH值為2.0~5.0時體系中共存的HA對PEX去除Cu(Ⅱ)均有一定的抑制作用, 且同一pH值下Cu(Ⅱ)的去除率均隨著HA濃度的增加而降低, 即抑制作用逐漸增強;但隨著體系pH值的升高, 該抑制作用逐漸減弱.當pH值為6.0時, 可消除抑制作用, 在不同濃度HA存在下PEX對Cu(Ⅱ)的去除率均可達到100%.當PEX投加量為100 mg·L-1時, 還未達到前述不同pH值(2.0~5.0)時的充足量, HA的存在會消耗一定量PEX, 抑制其對Cu(Ⅱ)的去除;共存的HA濃度越大, 消耗的PEX量越多, 抑制作用增強, Cu(Ⅱ)的去除率降低.當體系pH值升高后, 由于前述的PEX螯合能力增強以及PEX與HA間靜電斥力作用增強, 共存HA的抑制作用逐漸減弱, 在pH值為6.0時抑制影響可完全消除.
3.4 共存HA對PEX除Cu(Ⅱ)影響機理探討
3.4.1 HA對Cu(Ⅱ)的去除
取質量濃度為25 mg·L-1的含Cu(Ⅱ)水樣, 調節pH值為6.0, 分別投加質量濃度為40、80、120 mg·L-1的HA進行絮凝實驗, 考察HA對水樣中Cu(Ⅱ)的去除性能, 結果見圖 4.
圖 4

圖 4 HA對Cu(Ⅱ)的去除
HA結構中因含有羧基、酚羥基、氨基等基團, 其本身對Cu(Ⅱ)具有一定的吸附作用, 吸附量取決于吸附條件(Li et al., 2010;Yang et al., 2014;謝發之等, 2017).圖 4是在相同的絮凝實驗條件下, 不投加PEX時HA自身對水樣中Cu(Ⅱ)的去除效果;當體系中HA質量濃度為40、80、120 mg·L-1時, Cu(Ⅱ)的去除率分別為4.2%、9.8%、17.9%, 即Cu(Ⅱ)的去除率隨著HA濃度的增大而升高, 但Cu(Ⅱ)的去除率總體上不高.由此說明在PEX處理含Cu(Ⅱ)水樣時, 共存的HA對Cu(Ⅱ)的吸附貢獻率較小, 不致以促進Cu(Ⅱ)的去除.
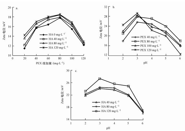
3.4.2 絮體Zeta電位的變化
分別取上述不同影響條件下絮凝實驗后的出水進行Zeta電位測定, 考察各條件下絮體Zeta電位的變化, 結果見圖 5.
圖 5

圖 5絮體Zeta電位變化(a. HA濃度和PEX投加量影響;b. pH值和PEX投加量影響;c. pH值和HA濃度影響)
由圖 5可知, 在同一pH值下, 當pH值為2.0~3.0時出水中殘留細小絮體的Zeta電位隨著PEX投加量的增加而升高;pH值為4.0~6.0時絮體Zeta電位隨著PEX投加量的增加先升高后降低, PEX投加量為80 mg·L-1時Zeta電位值達到最高;而pH值為2.0~6.0時絮體Zeta電位均隨著HA濃度的增加而升高.當PEX投加量或HA濃度相同時, 絮體的Zeta電位均隨著體系pH值的升高而先升高后降低, 且均在pH值為3.0時Zeta電位值達到最大.
當向含Cu(Ⅱ)水樣中投加PEX后, PEX會與Cu(Ⅱ)發生螯合反應生成微小的絮體;由于PEX為高分子絮凝劑, 自身會對這些微小絮體發揮一定的絮凝作用, 使小絮體變為大絮體, 增強沉降能力, 可促進Cu(Ⅱ)的去除.絮凝作用機理主要包括壓縮雙電層、吸附電中和、吸附架橋以及網捕卷掃等, 一般認為高分子絮凝劑主要以吸附電中和、吸附架橋絮凝作用為主.結合圖 1、圖 2中不同影響條件下Cu(Ⅱ)的去除率與圖 5a、圖 5b中相應影響條件下絮體Zeta電位變化規律可以發現, 當水樣初始pH值為2.0~3.0時, 投加PEX的量越多, 絮體Zeta電位越高, 絮體間的靜電斥力相應越大, 會阻礙螯合絮體間的聚集;但Cu(Ⅱ)的去除率反而升高, 由此說明吸附架橋占據了主導作用, 超過了因靜電斥力使絮體不易聚沉的作用.當pH值為4.0~6.0, 在PEX投加量<100 mg·L-1時, PEX投加量越多, 絮體Zeta電位越大, 而Cu(Ⅱ)去除率越高, 同樣說明絮凝作用機理以吸附架橋為主;PEX投加量≥100 mg·L-1時, 投加PEX的量增大, 絮體Zeta電位降低, 絮體間的靜電斥力減小, 螯合絮體更易于聚沉, Cu(Ⅱ)去除率升高, 表明絮凝作用機理除了吸附架橋外, 吸附電中和也發揮了一定作用.對比圖 1、圖 3和圖 5a、圖 5c可知, 當體系中共存的HA濃度增加時, 絮體Zeta電位增大, 絮體間靜電斥力增強, 對應的Cu(Ⅱ)去除率降低;由此表明體系中HA的存在會加強絮體間的靜電斥力作用, 使絮體不易沉降, 致使Cu(Ⅱ)去除率有所下降.
3.4.3 紅外分析
將PEX與含單一Cu(Ⅱ)水樣生成的螯合絮體(計為PEX-Cu)和PEX與含Cu(Ⅱ)、HA混合水樣生成的螯合絮體(計為PEX-Cu-HA)進行過濾、洗滌、干燥等處理, 然后采用KBr壓片法進行紅外光譜分析, 比較兩種紅外譜線的變化, 結果如圖 6所示.
圖 6

圖 6 PEX-Cu (a)與PEX-Cu-HA (b)紅外光譜
圖 6表明, 與絮體PEX-Cu的紅外光譜相比, 絮體PEX-Cu-HA的紅外光譜在3450.7 cm-1處出現了新的吸收峰, 且3547.1 cm-1處的吸收峰移動到3527.8 cm-1處, 峰值變強, 3500~3400 cm-1為HA中羧基和酚羥基的O—H鍵伸縮振動峰(龍良俊等, 2017);2827.6 cm-1處出現了新吸收峰, 為HA中脂肪族C—H鍵伸縮振動峰(周霞萍, 2007);1172.7 cm-1處為HA中脂肪族C—OH鍵伸縮振動峰(周霞萍, 2007);這些吸收峰的變化說明了在HA共存的體系中, PEX在捕集Cu(Ⅱ)的同時, 也將HA吸附或網捕到螯合絮體中.1660~1600 cm-1為HA中酰胺類、酮類、醌類的CO鍵伸縮振動峰、COO—的對稱伸縮振動峰以及芳香族不飽和CC鍵伸縮振動峰(周霞萍, 2007;龍良俊等, 2017), 1500~1380 cm-1為HA中脂肪族羥基的O—H鍵變形振動峰、酚羥基的C—O鍵伸縮振動峰、COO—的反對稱伸縮振動峰以及甲基、亞甲基的C—H鍵變形振動峰(周霞萍, 2007;龍良俊等, 2017), 1080~775 cm-1為HA中脂肪族C—C鍵伸縮振動峰以及芳香族C—H鍵彎曲振動峰(周霞萍, 2007);在PEX-Cu-HA的譜圖中均出現了上述吸收峰, 也表明了螯合絮體PEX-Cu-HA中含有HA.在659.7、599.9和669.3、563.2 cm-1處為C—S鍵特征吸收峰(盧涌泉等, 1989), 1417.7 cm-1和1396.5 cm-1處為CS鍵伸縮振動峰(盧涌泉等, 1989), 說明絮體PEX-Cu和PEX-Cu-HA中均含有二硫代羧基[—C(=S)—S-], 可推斷出PEX與Cu(Ⅱ)發生了螯合沉淀反應.
4 結論(Conclusions)
1) 改性聚乙烯亞胺PEX對水樣中Cu(Ⅱ)具有較好的去除性能;共存的HA對PEX去除Cu(Ⅱ)表現出一定的抑制作用, 可以通過增加PEX的投加量和升高體系pH值消除該抑制影響;PEX可同時除去體系中的Cu(Ⅱ)和HA.
2) 體系中共存的HA對Cu(Ⅱ)的吸附貢獻率較小;HA的存在會增強絮體間的靜電斥力作用, 使Cu(Ⅱ)去除率降低;混合體系中PEX除Cu(Ⅱ)的絮凝機理主要為吸附架橋作用, 增大pH值和PEX投加量后也伴有一定的吸附電中和作用.
3) PEX高分子鏈上的二硫代羧基與Cu(Ⅱ)發生了螯合反應;在HA共存體系中, PEX捕集Cu(Ⅱ)的同時, 也可將HA吸附或網捕到螯合絮體中.(來源:環境科學學報 作者:王剛)


