1 引言(Introduction)
中國社會發展迅速, 用水量劇增, 2015年廢水排放總量達735.3億噸, 工業廢水排放量在2005—2015年里占總廢水量的27.14%~46.35%(國家生態環境部, 2015).我國已經對很多工業行業提出了水回用的目標, 比如零排放(Jin et al., 2013).水處理的目標已經不限于污染組分的達標, 而且還要脫鹽, 達到工業用水或特殊用水的目標要求, 所以水處理過程要關注鹽分的形成和歸趨, 盡可能不產生鹽分或少用鹽分.工業廢水, 如焦化廢水, 被認為是一種具有富氮缺磷特征的高濃度高鹽分有機廢水, 在處理過程中還要加入各種藥劑, 例如不同的脫氮工藝會表現出鹽效應的差異性需求, 后續脫鹽不僅要考慮總量還要考慮成分, 因此, 很有必要研究不同脫氮工藝中鹽分的形成和歸趨機制.
生物脫氮往往會伴隨著堿和電子供體物質的利用, 帶來了鹽分, 目前缺乏相關性研究.國內外學者對脫氮和減鹽都分別進行了研究, 對于脫氮方面研究的關注點主要集中在3個方面:其一, 側重于不同碳源/電子供體對脫氮效果的影響及其抑制作用的機理問題(Fernández-Nava et al., 2008; Bajaj et al., 2010; Omena et al., 2013; Chung et al., 2014; Bi et al., 2015); 其二, 集中于厭氧氨氧化與硝化、反硝化耦合實現主流脫氮的技術探討(Xie et al., 2016; Ma et al., 2017; Sun et al., 2019); 其三, 針對鐵/硫鐵礦等物質驅動自養反硝化提高脫氮效率進行應用研究(Chen et al., 2018; Zhu et al., 2018).此外, 本團隊(Pan et al., 2018a; 2018b; 2019)近期對自養反硝化同時脫除廢水中硫氰酸鹽和氮進行了研究并考察了微生物復合群落之間的相互作用和分工的現象.現階段, 脫氮方面的研究主要追求更高的脫氮效率和更深入地剖析微生物作用機理, 忽略了對各種脫氮方式所表現出的鹽分投入與產出的差異, 影響了后續脫鹽工藝的經濟有效性.迄今在減鹽方面的研究主要集中于不同方法去除污染物的性能, 例如以超濾、納濾、反滲透、正滲透為代表的膜法(Yin et al., 2011; Kumar et al., 2015; Sun et al., 2015; Wang et al., 2018), 以離子交換膜為基礎的生物脫鹽池(Zuo et al., 2014; Pradhan et al., 2015a; 2015b), 關注的重點是處理效果、水回收率以及膜污染等問題, 還沒有人關注廢水處理的過程減鹽/原位減鹽的重要性.值得注意的是, 大部分學者僅僅只針對其中一方面內容進行研究, 甚少綜合探究廢水處理過程中脫氮和減鹽及其相互作用.脫氮過程中涉及電子供體、電解質的投入, 廢水中的污染物的氧化還原狀態/化學形態, 由于反應原理的差異性, 表現出鹽分殘留量以及組分的差別, 過程的明確對于后續的脫鹽原理的選用及其工藝設計將會有幫助.
基于上述考慮, 本文以傳統硝化反硝化、短程硝化反硝化、厭氧氨氧化3種工藝為案例, 以總氮去除目標一致的條件下, 結合理論分析與實驗驗證來討論電子供體、碳源、堿/磷鹽投入對鹽分的貢獻, 同時考察HRT對脫氮減鹽效果的影響, 尋求原位減鹽的工藝途徑.
2 材料與方法(Materials and methods)
2.1 反應器的設置和運行
連續流反應器系自行設計, 使用UASB反應器(上流式厭氧污泥床), 反應器總高度為53 cm, 由有機塑料制成, 采用內外兩層雙層夾套, 內層為污泥作用區, 直徑為6 cm, 總有效反應體積為1.5 L, 底部設計有進水口和進氣口, 進氣口設有微孔曝氣器, 采用氮氣曝氣進行脫氧, 保持厭氧環境; 外層為恒溫水浴槽, 使用加熱棒控制溫度在30 ℃左右; 反應器遮光處理, 防止光養微生物的潛在生長.連續流反應器裝置示意如圖 1所示.
圖 1

圖 1連續流反應器裝置示意
反應器運行模式為:配水-進水-反應-出水, 為一個周期.每個周期開始, 配置好的5 L水儲存于儲存罐中, 通過改變蠕動泵轉速控制進水的流量來調節水力停留時間, 使其滿足實驗要求, 在每個操作周期的開始和結束時取樣進行分析, 實驗重復2~3周期.
2.2 廢水及污泥的來源
針對3種不同的脫氮路徑, 實驗中所用的污泥是采用了本課題組3種獨立馴化、穩定培養的污泥.實驗采用人工配水, 根據實驗設計要求, 模擬厭氧氨氧化、傳統反硝化、短程反硝化水質, 用NaHCO3提供無機碳源, 以NaH2PO4·2H2O為營養鹽配制實驗水樣.
取樣及樣品預處理:每個周期開始前和結束后各取50 mL水樣, 經0.45 μm水系膜過濾后, 儲存于塑料圓底離心管中, 記錄實驗批次, 時間及取水位置等信息, 取樣后立即進行化學分析, 每個實驗重復取2~3個周期的樣品, 確保數據的可靠性.
分析方法:pH和電導率分別采用便攜式pH計、DDS-307電導率儀(上海雷磁儀器廠)進行測定, 電導率儀使用前需校準, 使用時樣品需恒溫至25 ℃.NH4+-N采用納氏試劑分光光度法(HJ 535—2009), NO2--N采用分光光度法(GB 7493-87), NO3--N采用離子色譜法, SCN-采用焦化廢水中硫氰化物的快速檢測方法進行測定.

(1)

(2)
式中, x為NO2--N、NO3--N或SCN-.
3 結果與討論(Results and discussion)
3.1 3種脫氮模式的反應原理
脫氮的3種路徑分別為傳統硝化反硝化、短程硝化反硝化及厭氧氨氧化, 其反應方程分別為式(3)、式(4)及式(5).因不同脫氮路徑參與的反應物、微生物及其他組分的不同, 其作用原理產生差異.

(3)
短程硝化反硝化是將氨氮氧化后停留在亞硝酸的階段, 進而直接反硝化脫氮的過程.比活性污泥法減少了1/4曝氣量以及40%左右的有機碳源, 有利于低C/N比廢水(如焦化廢水)的處理(袁林江等, 2000).

(4)
厭氧氨氧化是以氨氮和亞硝酸氮分別作為電子供體和電子受體(Mulder et al., 1995), 將廢水中氮素轉變為氮氣的過程.Strous結合了Van der heijden的計算方法, 得出Anammox的化學計量如式(5)所示(Van der Heijden et al., 1994; Strous et al., 1998), 該脫氮路徑與傳統硝化反硝化相比, 耗能少、藥劑用量少、產堿量少, 達到廢水中氨氮的完全自養脫氮.

(5)
3.2 不同電子供體作用下鹽分的歸趨分析
針對傳統硝化反硝化和短程硝化反硝化, 需要從外部投加電子供體, 結合焦化廢水性質和反硝化原理, 從單一SCN-電子供體、SCN-+苯酚復合電子供體兩個方面來考察電子供體對脫氮減鹽的影響, 而厭氧氨氧化利用廢水本身含有的氨氮和反應產生的亞硝酸氮作為電子供/受體, 因此, 有必要考察電子供/受體比例對減鹽效果的影響.
3.2.1 單一SCN-電子供體
以NO2--N 200 mg·L-1, NaSCN分別為558、531、503、475、433 mg·L-1作為進水條件, 設置SCN-/NO2--N的進水比例為2.00:1、1.90:1、1.80:1、1.70:1、1.55:1, 探究SCN-/NO2--N比例對脫氮減鹽的影響.從圖 2a可以看出, SCN-/NO2--N比例越大, 進水的電導率越大, 這是由于NaSCN在水中表現為電導率, 且電導率與濃度呈正比的關系; SCN-/NO2--N比例為1.80時, 出水NO2--N、SCN-的濃度同時達到最低, 分別為13.59 mg·L-1、85.09 mg·L-1; 反應后的pH均有所上升, 表明產生了一定的堿度.
圖 2

圖 2不同SCN-/NO2--N比例下短程反硝化進出水的指標(a)及對短程反硝化脫氮減鹽效果的影響(b)
從圖 2b中可以看出, 以NaSCN單獨作為電子供體對NO2--N進行反硝化在SCN-/NO2--N比值為1.80時效果最好.數據表示, SCN-/NO2--N比例為1.55、1.70、1.80、1.90及2.00時, 相應的減鹽率分別達到9.77%、9.92%、10.49%、7.69%及4.4%;SCN-/NO2--N比例為1.80時, SSR、DR(NO2--N)及DR(SCN-)都達到了最大值, 分別為10.49%、93.15%及77.50%.在該比例下, SCN-會有剩余而導致不完全降解.
3.2.2 SCN-+苯酚復合電子供體
高濃度的含氮物質在焦化廢水中廣泛存在, 而苯酚和SCN-作為共污染物對反硝化過程的脫氮減鹽的影響尚不清楚.SCN-是具有毒性的物質, 并有學者考察到, 酚類物質在硝化階段對硝化菌的活性和效率具有抑制作用, 對反硝化過程的酶活性和污泥毒性也會造成影響(Omena et al., 2013), 但缺乏對兩種物質共同影響以及對減鹽效果影響的研究.
傳統反硝化和短程反硝化進水分別采用200 mg·L-1的NO3--N、NO2--N作為目標, 以苯酚、NaSCN的混合液作為反硝化的聯合電子供體, 總電子供體量滿足將NO3--N/NO2--N完全反硝化為N2.設置SCN-:苯酚的電子供體分別為4:0(純NaSCN)、3:1、1:1、1:3、0:4(純苯酚), 探究兩種不同電子供體在同一體系中, 對于傳統/短程反硝化原位減鹽的影響, 結果如圖 3~4所示.
圖 3

圖 3不同電子供體配比下傳統反硝化進出水的指標(a)及電子供體配比對傳統反硝化脫氮減鹽效果的影響(b)
圖 4

圖 4不同電子供體配比下短程反硝化進出水的指標(a)及電子供體配比對短程反硝化脫氮減鹽效果的影響(b)
結果顯示:①對于兩種路徑, 復合電子供體在配比不同的情況下對其脫氮減鹽的影響趨勢相同, 但傳統反硝化的減鹽效果總體上弱于短程反硝化, 原因是兩種路徑使用的污泥, 其污泥來源、馴化濃度、馴化過程都基本相同, 因此其中微生物的種類雖有所不同, 但其性能類似, 傳統反硝化過程中會造成NO2--N的累積, 減鹽效果不明顯.②兩種脫氮模式減鹽最優的電子供體比例為SCN-:苯酚 = 1:3, 此條件下傳統反硝化的SSR、DR(NO3--N)、DR(SCN-)分別為11.16%、100%、100%, 短程反硝化的SSR、DR(NO2--N)、DR(SCN-)分別為26.12%、82.95%、100%, NO2--N未完全反應, 其減鹽率比NO3--N完全反應時高的原因可以解釋為, 在NO3--N的反硝化過程中會造成NO2--N的累積, 導致廢水的減鹽率較低.③短程反硝化中SCN-的降解率與其投加濃度呈負相關關系, SCN-所占比例越多, 降解率越低, 原因可能是:體系中同時存在的自養菌和異養菌存在著競爭關系, 自養菌在體系中占優勢, 對體系中的NO3--N/NO2--N的降解貢獻較大, 而異養菌的競爭性不強, 但它也在發生作用, 系統中需要有機碳源的存在.具體聯系污水寶或參見http://m.dongaorq.cn更多相關技術文檔。
3.2.3 自有電子供體
厭氧氨氧化進水以200 mg·L-1 NO2--N為固定值, 分別投加100、150、200、250 mg·L-1 NH4+-N, 從而設置NO2--N/NH4+-N的進水比例為1:0.5、1:0.75、1:1、1:1.25, 探究電子供/受體比例對脫氮減鹽的影響, 其結果如圖 5所示.可以看出, 進水的亞硝酸鹽氮和氨氮的比例直接影響了鹽分的削減, 亞硝酸鹽的降解率隨著氨氮的增加而增大, 而在滿足亞硝酸鹽氮的降解率達到99%以上時, NO2--N/NH4+-N的進水比例在1:0.75時, NO2--N與NH4+-N充分反應, 總氮去除率最高, 出水中幾乎不存在這兩種物質, 此時鹽分削減率達到最高, 平均為40.17%.當比例低于1:0.75時, NO2--N反應不完全, 溶液中殘余NO2--N的鹽分, 而NH4+-N濃度高于比例1:0.75時, 氨氮過量, 出水中殘留NH4+-N濃度越高, 鹽分削減率越低.通過理論計算反應前后的溶液中離子濃度與電導率的關系, 該實驗結果與理論化學方程式相符.
圖 5

圖 5不同電子供體/受體比例下厭氧氨氧化進出水的指標(a)及電子供受體比例對厭氧氨氧化脫氮減鹽效果的影響(b)
3.3 NaHCO3的用量分析
碳源在反硝化過程中對于促進微生物降解污染物具有重要作用.根據厭氧氨氧化的理論方程, 少量的無機碳源是反應過程所必需的.在不添加無機碳源的條件下, 厭氧氨氧化菌在系統中被還原, 系統中不存在COD, 厭氧氨氧化細菌本身的代謝不能提供足夠的碳源, 而反應過程中, NO2--N轉化成羥胺后, 與NH4+-N反應生成肼則需要消耗無機碳源, 因此, 需要通過額外的碳源來維持正常的反應.同時, 在短程硝化反硝化系統中, 存在自養反硝化細菌, 需要外部投加無機碳源, 提供系統的能量.基于上述兩個方面, 很有必要探究無機碳源的用量對脫氮減鹽的影響.本研究以NaHCO3作為無機碳源, 在不考慮微生物的生長, 僅考慮其在反應過程中的消耗的情況下, 探究NaHCO3用量的影響.
研究中, 厭氧氨氧化電子供受體比例為1:0.75作為該實驗的基礎, 得到的結果如表 1所示.結果表明:60 mg·L-1的NaHCO3理論上滿足反應的需求, 實際上無法達到理想的效果.無機碳源投入量少, 厭氧氨氧化菌的反應受到抑制, NO2--N的降解率低于90%, 效果較差, 說明反應器中厭氧氨氧化菌的代謝在一定程度上受到了抑制.隨著NaHCO3的增加, 達到100 mg·L-1以上時, 情況得到緩解, 氨氮和亞硝酸態氮的處理效果較為穩定, 亞硝酸態氮的降解率保持在99%以上, 保證厭氧氨氧化的正常進行.在滿足亞硝酸態氮的降解率在99%以上時, NaHCO3的投加量為100 mg·L-1時, 鹽分削減效果最好, 削減率達到平均41.84%.對比100、200、500 mg·L-1的脫氮減鹽效果, 基于物料消耗最低、鹽分投加最少、原位減鹽最好的理念, 結合經濟實用的目標, 認為100 mg·L-1是最適合的NaHCO3投加量.
表 1(Table 1)
表 1 NaHCO3用量對厭氧氨氧化脫氮減鹽的影響
研究考察了250 ~600 mg·L-1 NaHCO3的用量對短程反硝化脫氮減鹽的影響, 結果如表 2所示.可見, 過低無機碳源的投加, 無法滿足系統對于碳源的需求, 微生物的功能受到抑制, 反應到一定程度, 污染物降解停滯, 微生物活性降低.從數據中看出, 投加量小于500 mg·L-1時, 3種物質的降解效果都較差, 投加量為600 mg·L-1時的脫氮減鹽效果略低于500 mg·L-1, 此系統中最佳的NaHCO3用量為500 mg·L-1左右.
表 2(Table 2)
表 2 NaHCO3用量對短程反硝化脫氮減鹽的影響
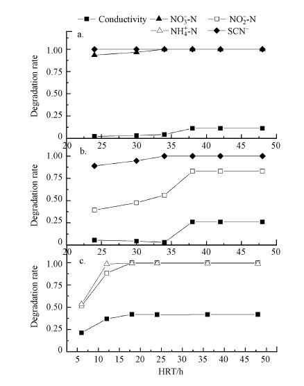
3.4 水力停留時間(HRT)的影響
水力停留時間(HRT)關系到微生物反應的速度和效率, 水力停留時間過短或太長都不利于廢水的處理, 因此有必要考察HRT對脫氮減鹽效果的影響, 其結果如圖 6所示.
圖 6

圖 6 HRT對3種路徑脫氮減鹽的影響 (a.傳統反硝化b.短程反硝化c.厭氧氨氧化)
傳統反硝化和短程反硝化過程中, 反硝化菌作為一種功能性微生物, 必然有其作用的時間和濃度限制范圍, 因此探究HRT對其脫氮減鹽的影響, 結果表明:因傳統反硝化和短程反硝化在污泥的馴化過程中藥劑濃度、馴化時間等因素相同, 得到的結果也相同, 即隨著停留時間的增加, 減鹽率、NO2--N降解率及SCN-的降解率都呈現上升的趨勢, 在38 h后效果達到穩定, 且38 h后脫氮減鹽的效果達到最好.上述工作印證了微生物發生作用的周期限制, 短時間內, 進入系統的高濃度、高毒性污染物對微生物的功能首先起到了一個抑制作用, 微生物適應階段過后, 才能夠真正開始其對污染物的降解作用, 因此, 需要滿足微生物充足的適應性時間才能夠發揮微生物完整的功能.傳統反硝化和短程反硝化系統培養的微生物在水力停留時間38 h以上出水穩定, 效果最好, 因此認為, HRT為38 h對這兩種路徑脫氮減鹽效果最好.
在厭氧氨氧化反應中, 過短的停留時間對厭氧氨氧化菌有一定的抑制作用.當停留時間為18 h時, 厭氧氨氧化菌達到了最大的工作能力, 降解效率高且穩定, NO2--N和NH4+-N的降解率均在99%以上, 減鹽率達到41.97%;而當停留時間小于18 h時, 由于系統內細菌的代謝能力的限制, 脫氮效率隨著停留時間的縮短明顯下降, 停留12 h, NO2--N去除率為88.29%, 停留6 h時, NO2--N去除率僅為51.59%, 由此認為HRT設置為18 h最佳.
3.5 堿/磷鹽的用量分析3.5.1 堿的用量分析
廢水生物處理過程中, 因硝化細菌對pH極其敏感, 在中性或弱堿性的條件下其活性最強, 功能最活躍, pH大于9或者小于6時, 硝化菌的生物活性會受到抑制, 因此pH是硝化過程的重要影響因素.從硝化反應方程式可以看到, NH4+-N轉化為NO2--N或者NO3--N的過程中, 會產生部分H+, 這部分酸度會消耗部分堿度, 使廢水pH降低, 理論上每1 g NH4+-N轉化為NO3--N消耗7.14 g堿量(以CaCO3計).
對于具有富氮缺磷特征的焦化廢水, 其本身的堿度無法滿足保持脫氮過程微生物活性的要求, 需要外部投加適量的堿才能使硝化過程的pH保持在中性或者弱堿性狀態.硝化過程需要的堿量可以通過式(6)進行計算.本研究以200 mg·L-1的NO2--N/NO3--N為研究對象, 通過計算得出, 傳統硝化反硝化和短程硝化反硝化在硝化過程中所需要的耗堿量相等, 其耗堿量均為1.428 g·L-1堿度(以CaCO3計), 而去除相同濃度的總氮, 厭氧氨氧化過程僅需要轉化約86.21 mg·L-1的NO2--N, 其耗堿量為0.616 g·L-1堿度(以CaCO3計), 相比之下厭氧氨氧化過程耗堿量少, 經濟性強.

(6)
式中, 7.14為單位氨氮硝化需堿量(g堿度/ g NH4+-N); V為進入系統的廢水體積(L).
3.5.2 磷鹽的用量分析
磷是一種不可更新、難以替代的資源, 截至2007年, 已探明的全球磷礦儲量為500億噸, 根據目前的磷開采速度及其增長趨勢, 預計100~250年內全球將無磷礦可用(European Fertilizer Manufacturers Association, 2000).雖然我國的磷資源儲量多, 但據統計富磷礦儲量僅能維持我國10~15年的消耗.基于此, 減少磷鹽的使用量, 提高磷鹽的回收率顯得格外重要, 同時, 從減鹽的角度出發, 磷鹽的減少使用也非常必要.
此外, 磷是微生物的重要組成部分, Mc Carty將含磷元素的微生物細胞表示為C60H87O23N12P, 根據微生物增長及其基質利用之間存在的微生物學理論, 可知在C:N:P比為100:5:1時, 有促進微生物的活性及其增長的作用(Lawrence et al., 1970; Goodman et al., 1974).一般地, 好氧條件下, C:N:P為100:5:1時, 微生物的性能最好; 在厭氧條件下, C:N:P為200~300:5:1時, 微生物凈化污水的性能最佳.
韶鋼二期的生物系統中投加的磷含量為13.43 mg·L-1, 其C:P僅為100:0.42, 以NaH2PO4作為磷鹽, 其貢獻的電導率不容小覷, 為2400 μS·cm-1(李湘溪等, 2016).我們發現, 在實際焦化廢水的生化處理系統中, 磷鹽的用量只需達到100:5:(0.3~0.5)范圍內即可滿足微生物生理對營養的需求.本研究采用短期實驗的模式, 微生物群落的數量和類別變化不大, 以200 mg·L-1 NO2--N/NO3--N為目標, 投加的磷含量為10 mg·L-1, N:P為20:1, 結果表明, 在該短期實驗過程中磷鹽的投加量滿足微生物的需求, 3種模式的平均脫氮效率在90%以上, 在脫氮的同時滿足了鹽分投入的最小化目標.
4 結論(Conclusions)
1) 對比了3種脫氮路徑, 不論是以減鹽量還是以減鹽率為標準, 減鹽效果從大到小依次為:厭氧氨氧化>短程反硝化>傳統反硝化, 其中厭氧氨氧化減鹽范圍為:21.27%~41.97%, 短程反硝化:4.4%~26.12%, 傳統反硝化:-21.46%~11.16%.
2) 對于傳統反硝化和短程反硝化, SCN-+苯酚作為復合電子供體時的脫氮減鹽效果優于單一SCN-和單一苯酚作為電子供體; 兩種路徑在電子供體SCN-:苯酚為1:3, HRT = 38 h, c(NaHCO3) = 500 mg·L-1時, 所取得的減鹽效果最優, 減鹽率分別達到26.12%和11.16%.以自有物質及其轉化物質作為電子供/受體的厭氧氨氧化, 其電子供受體比例為NO2--N/NH4+-N = 1.33, HRT = 18 h, c(NaHCO3) = 100 mg·L-1時其減鹽性能最好, 減鹽率達到41.97%.(來源:環境科學學報 作者:何美玲)




