水體富營養化及水資源短缺問題迫使污水處理廠的總磷排放標準愈來愈嚴. 2007年無錫市發生供水危機事件后, 國家對太湖流域城鎮污水處理廠的尾水排放提出了更加嚴格的要求.引起富營養化的主要因素是氮、磷, 其中磷對水體富營養化更具有顯著影響, 根據Liebig最低營養學限制定律, 磷濃度的高低是控制藻類生長豐度的最重要因子.而隨著我國工業化的迅猛發展, 含磷污染物被大量排入市政污水管網, 磷的高效去除成為制約污水處理廠尾水水質進一步提高的關鍵因素.
污水中磷的深度去除成為近年來污水處理領域的研究重點, 但現有技術對特殊含磷廢水的去除效果有限, 因此, 通過磷組分分析強化除磷成為有效方法, 而磷組分或存在形式的研究是表征其污染特征的關鍵.相關研究結果表明, 污水中的磷以PO43--P、Poly-P和OP的形態存在, Poly-P主要包括焦磷酸鹽、偏磷酸鹽等.在市政污水處理廠中, Poly-P含量一般較低, 污水處理廠化學除磷的方法是投加鐵鹽、鋁鹽等混凝劑與磷酸鹽形成不溶性沉淀物, 最終通過固液分離的方法使磷從污水中被去除, PO43--P可以經過生物除磷和化學除磷的協同作用實現極限去除, 但針對OP污染及強化去除問題的研究相對較少. Qin等[6]指出在Loudoun和Pinery的兩座污水處理廠二級出水中, 疏水性OP占比分別為64.8%和76.7%; Liu等利用藻類生物測定法提出了OP生物利用度, 其代表污水中易于微生物利用的OP比例. Li等利用藻類生長曲線法研究親疏水性OP的生物利用度, 發現疏水性OP更易被藻類等微生物利用, 進而促進出水中磷的去除.微生物首先通過堿性磷酸酶將污水中有機磷水解為PO43--P, 而后以聚磷酸鹽的形式儲存于胞內.一般常使用藻類生物測定法確定微生物對有機磷等底物的生物利用度, 但是存在實驗周期長、可操作性差的弊端.因此, 本研究使用活性污泥作為實驗對象, 分析生物處理過程中OP在水相和泥相中的遷移和轉化規律, 從活性污泥的角度闡述OP的生物利用度.
針對OP的強化去除, 活性炭吸附是較為可行的處理方式, 薛爽的研究發現活性炭吸附對洗消廢水中的特征污染物甲基膦酸二甲酯(dimethyl methyl phosphonate, DMMP)去除效率可達25%, 但活性炭應用成本較高, 會加重污水處理廠的運行負擔.而褐煤制備的活性焦作為一種新型的吸附材料, 其性質與活性炭相似, 但來源更廣且成本更低, 具有比表面積大、中孔發達的特點, 對難降解的大分子有機物具有良好的吸附性能.王東等的研究發現活性焦用于處理垃圾滲濾液, 垃圾滲濾液中產生惡臭和色度的物質被有效去除, COD去除率高達73.6%. O3氧化是污水處理廠常規消毒措施, 宋淑靜等的研究表明臭氧氧化法對污水中有機磷具有較好的降解作用, OP的去除率為78.46%.因此研究在適當的O3濃度下, 污水中有機磷的強化去除對于污水總磷超低排放具有現實意義.
本研究從污水處理廠OP污染特征及強化去除兩個方面出發, 闡述了OP的分布特性、親疏水特性、生物利用度等污染特征, 并針對性開展基于靜態吸附和高級氧化技術的有機磷深度去除技術分析, 以期為污水處理廠實現總磷超低排放奠定基礎.
1 材料與方法
1.1 樣品采集與處理
水樣采集于無錫某工業園區污水處理廠, 日處理規模為3×104 m3·d-1, 工業廢水占比30%, 采用AAO+MBR工藝, 出水將達到DB 32/1072-2018(總氮<10 mg·L-1, 總磷<0.3 mg·L-1).進出水及各工藝單元水樣均采用棕色玻璃瓶收集, 同時采集3組平行水樣, 經0.45 μm的無機纖維膜過濾后避光保存在4℃條件下, 并盡快完成相關水質指標測試.水樣采集于污水處理廠受到明顯有機磷廢水沖擊的1~15 d.
1.2 分析方法
水樣預處理后, PO43--P和TP等指標均采用國標法測定, Poly-P的測定方法是將水樣一式兩份, 一份測定PO43--P, 另一份加等體積1 mol·L-1 HCl保持沸水水浴10 min后測定PO43--P, 前后兩次濃度差即Poly-P[18], OP的檢測方法是差值法, 計算公式為:
DOC測定采用島津Shimadzu TOC進行分析, 真空冷凍干燥機采用LABCONCO型, 臭氧發生器采用TOG C2B型, 磁力攪拌器型號為CJJ-843.
1.3 OP親疏水性分布及C/P
用6 mol·L-1鹽酸溶液將水樣pH調至2, 然后將水樣通入離子樹脂分級裝置中, 首先依次通過串聯的XAD-8和陰離子交換樹脂柱, 此時控制水樣流速為1 mL·min-1, 陰離子交換樹脂的作用為吸附無機磷組分, 其流出溶液為親水性OP, 然后將串聯的XAD-8和陰離子交換樹脂柱分離開, 并采用0.1 mol·L-1的NaOH溶液對XAD-8樹脂柱進行反沖, 控制水樣流速為0.5 mL·min-1, XAD-8樹脂柱流出溶液為疏水性OP.采用樹脂分離OP需進行回收率分析, 以OP、DOC計, 其回收率在80%~113%之間. C/P采用DOC/OP的計算方法.
1.4 OP可生物利用性
為考察OP可生物利用性, 排除無機磷的干擾, 出水水樣需先以1 mL·min-1的流速通過陰離子交換樹脂柱.水樣預處理后, 取等體積出水和經過反復漂洗的活性污泥于1 L燒杯內, 曝氣維持DO 3~5 mg·L-1.水相磷組分研究方法是定點取混合液并經0.45 μm濾膜過濾完成指標測定, 泥相磷組分研究方法是定點取混合液, 經冷凍干燥后采用酸提法測定污泥絮體吸附的OP和無機磷(inorganic phosphorus, IP)含量.
1.5 靜態吸附和臭氧氧化實驗
為考察OP強化去除效果, 排除無機磷的干擾, 出水水樣需先以1 mL·min-1的流速通過陰離子交換樹脂柱.
在25℃條件下, 在250 mL的錐形瓶分別加入不同量活性焦和150 mL出水水樣, 放置在搖床上振蕩一定時間, 過濾后, 取20 mL濾液, 測定各種磷組分濃度, 每組實驗進行3次平行實驗, 取3次實驗的平均值.計算活性焦吸附處理對出水OP去除率:
式中, η為OP去除率, %, c0為出水初始OP濃度, mg·L-1, c1為吸附后OP濃度, mg·L-1.
在25℃、初始pH=7.0條件下, 分別在裝有1 L出水水樣的燒杯中通入不同濃度的O3, 設置為5、10、15、20、25、30、50和100 mg·L-1, 用磁力攪拌器混合燒杯內水樣, 并分別在反應過程中的0、5、10、15和20 min時刻取20 mL樣品.其他實驗設置和計算方法同靜態吸附實驗.
2 結果與討論
2.1 污水處理廠各形態磷污染特征分析
2.1.1 各形態磷濃度分布及OP與DOC相關性分析
圖 1(a)為采樣周期內該污水處理廠二級出水磷組分的變化情況, 其中TP、PO43--P、Poly-P和OP的出水平均濃度分別為0.62、0.22、0.03和0.37 mg·L-1, TP指標均超過現行標準(TP<0.5 mg·L-1), 出水TP中60%以上為OP, 其他形態磷則以PO43--P為主.高洋等的研究表明, 太湖流域污水處理廠二級出水磷組分以PO43--P為主, 其他形態的磷則以OP存在, 但本研究發現出水Poly-P含量最高達到0.10 mg·L-1, 因此出水磷組分的劃分和測定需更加嚴謹.無錫地區市政污水處理廠進水TP范圍為2~4 mg·L-1, 而該污水處理廠該段時間內TP和OP進水平均濃度分別達到8.45 mg·L-1和3.04 mg·L-1, 明顯超出其設計進水負荷.進水磷濃度出現明顯異常的原因是該污水處理廠位于無錫市某工業園區內, 工業廢水占比約30%, 且園區內有大量的金屬、機械加工類等企業, 該類企業在工件加工過程中的漂洗環節, 會產生大量富含磷酸單酯、磷酸二酯和其他難生物降解有機磷的廢水.具體聯系污水寶或參見http://m.dongaorq.cn更多相關技術文檔。
圖 1
(a)二級出水磷組分的變化情況;(b)工藝流程中磷組分的變化情況 圖 1 磷組分的變化情況圖 1(b)為工藝流程中磷組分的變化情況, 其中進出水TP濃度分別達到6.82 mg·L-1和0.83 mg·L-1, PO43--P、Poly-P和OP在進出水中的占比依次是54.4%、6.3%、39.3%和16.9%、14.5%、68.6%.經過生物除磷和化學除磷的協同作用, PO43--P的去除率達到了96.2%, OP的去除率卻僅為78.7%, 出水OP以難生物降解磷形態為主.
對污水處理廠出水OP和DOC指標之間進行了統計學相關性分析, 發現出水OP和DOC存在正相關性, 相關系數為0.65[圖 2(a)].說明使用DOC指標間接反映典型有機磷廢水沖擊污水處理廠OP的污染程度是較為可行的.同時發現, OP與PO43--P和Poly-P之間缺乏線性相關性[圖 2(b)和2(c)].
圖 2

2.1.2 OP親疏水性規律及C/P分析
出水OP的親疏水性組分及總體分布如圖 3所示.親水性和疏水性OP的平均含量分別是0.12 mg·L-1和0.31 mg·L-1, 其在OP中的占比(質量分數,下同)分別達28%和72%, 出水OP以疏水性組分為主, 這與Liu等的研究結果較為一致. Gigliotti等利用31P-NMR光譜證明了活性污泥中疏水性OP主要成分為磷酸單酯和磷酸二酯等, 而親水性OP則主要包含PO43--P、少量磷酸單酯和Poly-P等. Monbet等指出在污水處理過程中, 60%~95%的有機磷酸鹽會在水解酶作用下降解為低分子有機磷, 因此出水中OP可能主要以低分子磷酸單酯和磷酸二酯等形式存在[6].親水性和疏水性組分的C/P如圖 4所示. C/P可以在一定程度上代表污水中OP的生物利用度, 從而對后續深度處理技術的選擇具有指導意義.結果顯示疏水性組分的C/P均低于親水性, 表明疏水性組分的有機碳含量相對較低、有機磷含量相對較高, 意味著疏水性組分的OP具有較高的生物利用度. Qin等的研究發現, 污水處理廠出水中OP生物利用性較高的C/P范圍是15~20, 該污水處理廠出水OP的C/P處于較高水平, 生物利用度可能較低, 因此其出水OP可能以難生物降解形態為主.
圖 3

圖 4

2.1.3 OP生物利用度分析
OP的生物利用度結果如圖 5所示. 圖 5(a)表示在24 h實驗周期內水相中各種磷組分的變化情況, TP和OP濃度均降低了0.15 mg·L-1.反應初期(2 h), PO43--P含量出現了一定程度地上升, 由初始0 mg·L-1增加至0.09 mg·L-1, 這是由于部分易生物降解OP在堿性磷酸酶的作用下轉化為PO43--P, 6 h后水相中的PO43--P降為0 mg·L-1, 推測是PO43--P在好氧條件下被微生物所利用.同時6 h后水相中的TP和OP含量處于穩定狀態, 表明此時污水中磷的賦存狀態基本都是難生物降解有機磷. 圖 5(b)表示泥相中IP和OP組分的變化情況, 其中IP含量比較穩定, 反應期間維持在3.4 mg·g-1, 而OP含量則呈現增加趨勢, 由初期的30.4 mg·g-1增加至31.0 mg·g-1.經與MLSS核算可知, 泥相中OP含量增加了0.61 mg, 推測該部分OP是被活性污泥吸附.綜上, 出水OP在生物處理過程中的歸趨可分為3種途徑:①仍殘留在污水中, 占比66.7%, ②被水解為PO43--P而生物利用, 占比20.0%, 即OP生物利用度為20%, ③OP會被活性污泥所吸附, 占比13.3%.
圖 5
圖 5 出水OP的可生物利用性2.2 OP強化去除效果研究
2.2.1 活性焦對OP的強化去除
如圖 6所示, 隨著活性焦濃度的增加, OP的去除效率先逐漸增加至32.6%左右, 后基本保持不變.活性焦對OP的去除機理是其比表面積相對較大、中孔發達, 對難降解的大分子有機物具有良好的吸附性能, 而出水OP以疏水性組分為主, 其與活性焦吸附結合的幾率更大, 且隨著活性焦濃度的增加, 提供的吸附點位增多, 所以OP呈現出濃度下降的趨勢.綜上, 活性焦用于強化去除污水處理廠出水OP, 最佳投加量是20 g·L-1, 去除率為32.6%.
圖 6

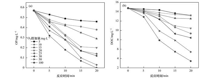
2.2.2 臭氧氧化對OP的強化去除
圖 7(a)所示為在不同O3投加量條件下, 反應過程中出水的各種磷組分變化規律, 隨著O3濃度的不斷增加, OP含量呈現快速降低的趨勢, 相應地PO43--P含量呈現快速升高的趨勢, 說明在臭氧產生的(·OH)氧化作用下[28~30], 生物利用性較差的OP被逐步降解為PO43--P.考慮實際工程應用中O3濃度不宜過大, 故O3的最佳投加量為30 mg·L-1, 反應時間為20 min, OP的去除率高達79.1%, 此后隨著O3含量的繼續增加(100 mg·L-1), 出水OP完全被氧化為無機磷.此外, 當O3濃度增加時, DOC也呈現出一定程度的降低趨勢[圖 7(b)], 說明在實現OP的臭氧氧化過程中, 有機碳也被部分礦化成無機碳.在O3濃度為30 mg·L-1時, DOC的礦化率為43.9%, 同步實現了有機物的深度去除. O3作為污水處理廠提標改造的常規工藝, 進行OP的氧化去除研究, 對其實際工程應用具有一定的指導和借鑒意義.
圖 7
圖 7 不同臭氧投加量下OP和DOC變化3 結論
(1) 污水處理廠受到明顯的外部有機磷廢水沖擊, TP、PO43--P、Poly-P和OP的出水平均濃度分別為0.62、0.22、0.03和0.37 mg·L-1, OP占比達60%, 且Poly-P含量最高達到0.10 mg·L-1.工藝全流程分析表明, PO43--P、Poly-P和OP在進出水中的占比依次是54.4%、6.3%、39.3%和16.9%、14.5%、68.6%, 出水OP以難生物降解組分為主.
(2) 出水OP和DOC存在正相關性, 相關系數為0.65, 使用DOC指標來間接反映OP的污染程度較為可行; OP以疏水性組分為主, 且疏水性OP的C/P比親水性低, 說明疏水性組分生物利用度更高, 進一步研究表明OP的生物利用度約為20.0%.出水OP在生物處理過程中的歸趨可分為3種途徑:①仍殘留在污水中, 占比66.7%, ②被水解為PO43--P而生物利用, OP生物利用度為20%, ③OP會被活性污泥所吸附, 占比13.3%.
(3) 污水處理廠出水OP強化去除結果表明, 活性焦最佳投加量是20 g·L-1, 去除率為32.6%; O3的最佳投加量為30 mg·L-1, 反應時間為20 min, 去除率可達79.1%, 且最佳投加量下, DOC的礦化率為43.9%, 實現了有機物深度去除.高級氧化技術較物理吸附更適合出水OP的深度處理.(來源:環科科學 作者:王小東)





