酵母菌在處理高濃度有機廢水時具有一定的優勢,如處理負荷高、需氧量低、可降解油和脂肪以及可回收單細胞蛋白等,但系統運行的穩定性問題一直限制著該技術的工程化應用. SRT是活性污泥法處理廢水中一個重要參數,影響著系統中的污泥濃度、污泥產率、污泥沉降性、微生物群落結構以及胞外聚合物 (EPS) 的組成及含量等. EPS是活性污泥絮體中促使微生物凝聚的關鍵物質,是影響活性污泥絮凝沉降性能及表面性質的重要因素.目前關于活性污泥中EPS與污泥沉降性的研究表明,EPS總量與污泥絮凝性存在正相關性.但對于酵母菌廢水處理系統而言,主體微生物是酵母菌群,有別于以細菌為主體的活性污泥.迄今為止,尚未見有關SRT對酵母菌在廢水處理系統中產EPS及EPS對酵母沉降性的影響的報道.本研究在小型SBR反應器中考察不同SRT對酵母菌產EPS、EPS組成以及EPS對酵母沉降性的影響,并利用PCR-DGGE及克隆測序解析了長、短SRT下的酵母群落結構,試圖探明SRT對酵母菌處理油脂廢水穩定性的影響,以期為建立高效穩定的酵母廢水處理系統奠定基礎.
1 材料及方法1.1 實驗材料
本研究使用3株酵母菌:分別是O2(Candida tropidalis)、G1(Candida lipolytica)、W1(Candida halophila).菌株活化方法參見文獻.
油脂廢水取自寧波市某油脂生產企業的堿煉車間,廢水COD在20 000 mg ·L-1左右.將所取廢水根據實驗所需進行稀釋,稀釋后的廢水水質為:COD 6 500~8 500mg ·L-1;TN 3.4~5.8 mg ·L-1;TP 32.4~45.4 mg ·L-1;BOD5 1 950~3 200mg ·L-1;油1 817~2 258 mg ·L-1;pH 6.5~8.8.
1.2 實驗裝置以及運行條件
實驗在4個有效容積為2 L的小型SBR反應器中進行,由程序控制器控制周期性運行.廢水稀釋后,根據廢水的BOD5添加 (NH4)2SO4、KH2PO4使BOD5 :N :P為100 :5 :1.一個運行周期為曝氣9 h,靜置沉降3 h,排水比為1/2.靜置期間更換新配制的廢水,同時將混合液pH調整至5.0~5.5,溫度控制在28℃左右,溶解氧維持在0.5~1.5mg ·L-1.
1.3 實驗方法
將活化的復合酵母培養物投入到一個有效體積為10 L的有機玻璃容器內,加入COD為3 000~4 000 mg ·L-1的含油廢水,添加氮源、磷源使廢水BOD :N :P為100 :5 :1,同時調節廢水的pH至5.0~5.5,進行曝氣培養.培養4 d后將廢水COD逐漸提升至7500mg ·L-1左右,待系統的MLSS增長至5.3 g ·L-1,轉移酵母至小型SBR反應器中.本實驗酵母的MLVSS/MLSS為90.93%,接種MLSS為4.5 g ·L-1.本實驗采用每天定時定量排泥的方式控制SRT,各反應器的SRT依次設計為5、10、20、40 d.為保證反應器基本進入穩態運行,每個SBR基本運行兩倍以上的SRT時間 (除了SRT=40 d的系統,后期出現了SVI急劇上升).
1.4 分析方法
COD:采用快速消解儀DRB200及DR1010 COD (美國HACH) 分析儀測定,處理后出水經過5 000 r ·min-1,5 min離心后取上清液測定COD;油含量:采用四氯化碳萃取法,使用OIL480紅外測油儀 (北京華夏科創) 測定;BOD5采用BOD Trak (美國HACH) 測定;pH: HM-30P便攜式pH儀 (日本DKK-TOA);MLSS及MLVSS采用國家標準方法測定.
本實驗中,緊密黏附胞外聚合物 (TBEPS) 中蛋白質和多糖含量視為TBEPS總量;松散附著胞外聚合物 (LBEPS) 中2種組分之和視為LBEPS總量. LBEPS提取方法:分別取一定體積的污泥混合液,8 000 r ·min-1離心10 min,去上清液.將上述污泥沉淀重新懸浮于0.9%NaCl溶液中,放置于超聲分離器中,超聲分離5 min, 然后在12 000 r ·min-1離心15 min, 上清液即為LBEPS,收集上清液測定其中多糖及蛋白質含量. TBEPS提取方法[14]:將提取LBEPS后的污泥重新懸浮,然后在80℃下水浴提取30 min, 在12 000 r ·min-1離心15 min,獲得的上清液即為TBEPS,收集上清液測定其中多糖及蛋白質含量.多糖含量采用苯酚-硫酸法測定,蛋白質含量采用考馬斯亮藍法測定.
1.5 系統中酵母群落結構分析1.5.1 DNA提取
取各SBR中混合液1.5 mL于2 mL的離心管中,8 000 r ·min-1下離心2min,棄上清,使用FastDNA SPIN Kit for Soil試劑盒 (美國Mpbio) 提取生物樣的DNA.提取的DNA存放于-20℃冰箱保存.
1.5.2 PCR-DGGE
PCR擴增:上游引物GC1-NL1(5′-GCATAT CAA TAAGCG GAG GAA AAG-3′) 和下游引物LS2(5′-ATT CCC AAA CAA CTC GAC TC-3′).引物由上海生工生物技術有限公司合成. 50 μL PCR反應體系包含:1 μL模板DNA,1 μL引物 (正向和反向引物各0.5 μL),23 μL RNA Freewater, 25 μL Premix (Takara Taq Version 2.0 plus dye).
PCR反應條件:預變性條件為95℃ 5 min;30個循環為變性95℃ 60 s退火52℃ 45 s,延伸72℃ 60 s;最后在72℃下延伸7 min. PCR擴增產物用1.0%瓊脂糖凝膠電泳檢測.
DGGE電泳:在變性梯度凝膠電泳儀 (Bio-Rad) 上進行.丙烯酰胺凝膠濃度為8%,變性劑梯度為30%~50%.向PCR擴增的50 μL體系中加入6×loading buffer 10 μL,充分混合后點樣35 μL.電泳條件:60℃、120 V下運行6~8 h,電泳完畢后,將凝膠在含0.01% SYBR (Biotium) 的高純水中染色20 min,取出后用去離子水清洗2次,每次5 min,最后置于Gel DocXR (Bio-Rad, USA) 凝膠成像系統拍照.
1.5.3 16S rRNA克隆和測序
對DGGE凝膠中出現的新的條帶進行切膠回收及純化,純化后的樣品再用PMD19-T (Takara) 載體進行連接 (16℃連接16h),然后取-80℃保存的感受態細胞Escherichia coli DH5α(Takara) 迅速融合并置于冰上,加入10 μL連接液,輕輕搖勻置于42℃水浴鍋靜置90 s,然后轉入冰浴1~2 min后加入新鮮LB培養基890 μL,放置在預設為37℃的恒溫振蕩器中170r ·min-1處理1 h.然后涂布到含有氨芐青霉素/IPTG/X-Gal的LB培養基平板上,37℃下培養16 h,并設置對照.隨機選取一定數量的白色陽性克隆子,經液體培養后送至上海英駿公司進行序列測定.將測定的目的基因片段序列與GenBank中已知序列進行比對 (http://www.ncbi.nlm.nih.gov/BLAST/).
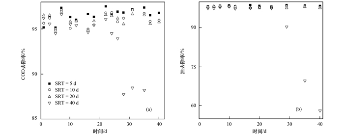
2 結果與討論2.1 SRT對COD和油去除率的影響
不同SRT下酵母菌對COD和油的去除效果如圖 1所示.從中可以看出,在運行初期,SRT為20 d的系統對COD和油的去除率均較高,第5 d后SRT為5 d的系統對COD和油的去除效果最好,而SRT為10 d和20 d的效果較接近.可能的原因是,將擴大培養好的酵母細胞投入到不同SRT的系統中時,細胞需要經過適應新F/M的調整期,而SRT為20 d的系統是最接近原培養系統SRT的,所以適應期短;而SRT=5 d的系統由于周期排泥量最大,因而對系統中酵母生物量沖擊較大,所以運行初期處理效果較差,而隨后酵母細胞適應此排泥周期,且該SRT條件下酵母新陳代謝快,所以處理效果逐漸變為最好.對SRT為40 d的系統,運行到30 d后處理效果逐漸變為最差,這是由于對于SRT為40 d的系統排泥量少,老齡化酵母細胞多,代謝活力低.就不同SRT對油去除率的影響來看,除了SRT為40 d的系統以外,其他SRT下油的去除率差異不大.

圖 1 SRT對COD和油去除率的影響
2.2 SRT對EPS的組成及含量的影響
EPS是活性污泥絮體中繼水分和細胞后的第三大組成部分,主要是細菌細胞新陳代謝分泌的高分子聚合物聚集在細胞外部,形成絮凝膠體物質,同時還含有廢水中的某些物質,即污泥所處的基質環境. Ravella等研究表明酵母菌也能產生EPS. TBEPS位于里層,與細胞表面結合較緊,穩定地附著于細胞壁外,具有一定外形;LBEPS位于TBEPS外層,具有較松散的結構,是可向周圍環境擴展、無明顯邊緣的黏液層. EPS的主要成分是糖類和蛋白質,兩者的總有機碳占整個EPS的70%~80%.有研究表明,SRT不僅影響著EPS的總量,還影響其組成成分及比例.
不同SRT條件下酵母系統中LBEPS的組成和含量的變化如圖 2所示,可以看出,對于酵母菌來說,LBEPS的主要成分是多糖,蛋白質含量很少,且EPS總量隨SRT的增大而減少.根據勞倫斯-麥卡蒂方程及其衍生關系式1/θC=Y×Nrs-Kd可知SRT與負荷呈負相關. Batstone等、李久義等認為EPS與污泥負荷呈正比 (即與SRT呈反比),所以在低SRT情況下F/M較高,微生物細胞不能將所有碳源用于細胞合成,多余的含碳基質可以轉化成胞內存儲粒子和在EPS中積累的胞外高分子.從圖 2可看出,對SRT為5 d、10 d的系統,在開始的4~5 d內,LBEPS呈遞增的趨勢,這可能是由于酵母系統對新環境的一種適應過程,為了適應較短的SRT,酵母細胞新陳代謝比較旺盛,所以將油脂廢水中脂肪酸轉化為多糖的量也增多,導致多糖積累,待系統穩定后,LBEPS也基本穩定.對于SRT為40 d的系統,從30 d后有大幅度的降低,這是由于隨著運行的持續,酵母產乳化劑能力相對于酵母增長能力減弱,表現為油脂降解能力下降[見圖 1(b)],同時酵母細胞的菌絲化也影響了油脂的代謝,此時酵母細胞為維持自身生理代謝,可能對EPS中的多糖類物質進行降解.
利用Matlab數據分析軟件將SRT為5、10、20、40 d作為因素X1, 不同時間段測得的LBEPS為X2進行差異性分析,得α=0.000(α < 0.01),即不同SRT條件下LBEPS含量具有顯著性差異,說明SRT對酵母處理油脂廢水LBEPS的產生影響顯著.

圖 2 SRT對LBEPS的組成和含量影響
圖 3反映了各系統中TBEPS的變化.可以看出TBEPS仍然以多糖為主,結合圖 2,TBEPS的含量遠遠大于LBEPS,大約是后者10倍左右,這與一些研究的結果一致. TBEPS的組成及含量變化與LBEPS相同,含量隨著SRT的增大而減少.對于SRT為5、10、20 d的系統在最初5 d內TBEPS有所增加,這是酵母對新環境的一種適應,隨后逐漸穩定.對于SRT為40 d的系統,隨著時間的延長,酵母細胞老齡化及代謝產物的積累,酵母細胞有絲化現象,絲化后酵母細胞對油脂類代謝能力減弱,進而轉為利用和代謝TB多糖,導致在20 d后TBEPS逐漸減少.

圖 3 v
同樣以SRT為5、10、20、40 d作為因素X1,不同時間段測得的LBEPS為X2進行差異性分析,得α=0.00(α < 0.05),可以認為不同SRT條件下測得的TBEPS具有顯著性差異,說明SRT對酵母處理油脂廢水TBEPS的產生也有顯著影響.
2.3 SRT對酵母污泥SVI的影響
對不同SRT下4個系統的SVI進行了連續監測,結果如圖 4所示.從中可以看出, 在前20 d運行中SVI基本穩定,SVI值隨SRT的延長而增大,說明增大SRT會引起SVI值升高,與陶麗佳等的研究結論相同.但從18 d后,直至30 d間污泥的SVI值隨SRT延長反而減小,可見其規律有別于普通活性污泥,這可能與酵母細胞菌絲化有關.在這個階段,各SRT系統中酵母細胞均有不同程度絲化現象,由絲化導致了污泥質量濃度 (MLSS) 減小,所以總體SVI較運行前期要大;此時,各系統酵母污泥的SV30差異減小,而SRT越長對應系統中的MLSS越大,因而出現了SVI值隨SRT的增長而降低的現象.運行至30 d后,對SRT為40 d的系統,SVI值呈直線上升,一方面是由于較長的SRT條件下,EPS的濃度相對較低 (見圖 2和圖 3),不利于酵母細胞絮凝;另一方面酵母細胞由酵母型向菌絲態轉化導致污泥呈蓬松狀態,難以沉降,周期性排泥導致更低的MLSS. SRT為20 d的系統中SVI的變化與前者相似,但變化幅度稍微緩慢,推測與細胞不同的絲化程度有關.圖 5為不同SRT下各系統在運行后期的顯微鏡圖片.比較可以看出,在SRT為5 d時系統中酵母絮體中菌絲很少;SRT為10、20、40 d時菌絲化程度遞增,在SRT為40 d時可以觀察到明顯的細胞絲化現象.通過Matlab對SRT和SVI因素進行差異性分析,得α=0.45,可以認為不同SRT條件下測得的SVI不具有顯著性差異,說明在當前區間內SRT對酵母處理油脂廢水SVI的影響不顯著.因此,不同SRT對酵母系統的影響,可能更多地體現在SRT對酵母細胞菌絲化程度的影響,低SRT更有利于細胞絲化的控制.

圖 4 不同SRT下各SBR中污泥SVI的變化

圖 5 各SRT運行后期酵母污泥鏡檢圖片
2.4 系統中酵母群落結構解析
選取SRT為5 d和SRT為40 d系統,運行后期對其生物樣品進行PCR-DGGE分析,結果如圖 6.對比兩個系統的DGGE圖譜可以看出,初始添加的3株酵母O2、G1、W1在各系統中一直存在,前期研究也表明這3株酵母菌可以穩定存在于酵母菌處理含油廢水系統中.隨著系統的運行,大約在22 d后,3株菌株的條帶有所減弱,說明對應酵母細胞的濃度有所降低.但與此同時,在系統運行的第10 d,長和短SRT下均出現了另外3個條帶 (分別命名為1、2、3),特別對于SRT為40 d的系統,3個條帶亮度在運行后期有所加強,說明對應微生物的豐度增強.通過對這些新增條帶的切膠、克隆和測序并與GenBank中序列比對,初步判定新增的酵母分別是:1. Candida cylindracea(相似度100%);2. Candida intermedia(相似度99%);3. Yarrowia lipolytica(相似度99%),結果見表 1.通過查閱已有研究發現,這3株酵母均可以利用或者水解橄欖油等油脂,均可以產生脂肪酶,因此3株菌株的出現是系統運行過程中自然選擇的一個結果,菌株可能來源于廢水.對于SRT為40 d的系統出現的明顯的真菌絲,目前尚不能判定是系統中原有的酵母還是外源性酵母發生菌絲化而形成,但可以肯定的是,無論是哪種酵母細胞發生菌絲化,短SRT比長SRT更能抑制細胞的絲化程度,從而更有利于系統運行的穩定.相關研究結果表明,白假絲酵母 (Candida albicans) 的細胞在一定的物質條件刺激下可能發生細胞形態轉化.對于長SRT的系統,污泥濃度高,老齡細胞比例大,產生的代謝產物容易在系統中積累,這可能是誘導某些酵母細胞絲化的原因,具體情況還需要進一步的研究.具體參見污水寶商城資料或http://m.dongaorq.cn更多相關技術文檔。

圖 6 不同SRT下系統中酵母群落的DGGE圖譜

表 1 系統中外源性酵母16S rRNA基因序列比對結果
3 結論
(1) SRT為5~10 d時系統對油脂廢水COD和油的去除率較高;長SRT會使COD處理效果下降,但短期對油的去除率影響不大.
(2) 酵母污泥的EPS中以TBEPS為主,EPS的主要成分為多糖,蛋白質的含量較少;長SRT會導致EPS含量降低及酵母污泥的SVI升高.
(3) SRT在5~40 d區間內,SRT對酵母污泥的SVI影響差異不顯著;但長SRT有導致系統發生絲狀菌性膨脹的風險.
(4) 長期連續運行后系統中均出現了可以利用或降解油脂的外源性酵母菌株.


