2011年我國污泥產量約2188萬t,預估到2015年我國污泥產量將超過3000萬t,已成為我國最緊迫的環境問題之一[1]. 其中接近70%的直接填埋,15%去向不明,存在突出的二次污染. 厭氧消化是一項廣泛應用的污泥穩定化、 減量化、 無害化、 資源化技術,并且能夠回收沼氣. 歐盟地區50%以上污水廠均采用污泥厭氧消化[2]. 各國厭氧消化比例:比利時67%,丹麥50%,法國49%,德國64%,希臘97%,意大利56%,盧森堡81%,西班牙65%[3].
厭氧消化也是我國鼓勵的主要污泥處理技術. 國家近年發布的《城鎮污水處理廠污泥處理處置技術指南(試行)》、 《“十二五”期間污泥處置建議》和《城鎮污水處理廠污泥處理處置及污染防治技術政策(試行)》等均明確提出“大中型廠宜優先選用厭氧消化污泥處理工藝”、 “鼓勵城鎮污水處理廠采用污泥厭氧消化工藝”等. 但目前為止,全國僅50余家污水廠建有污泥厭氧消化設備,且40%左右停運[4]. 全國經過厭氧處理的污泥不足2%. 高含固率的污泥厭氧消化(簡稱高固消化,進泥含固率8%以上)是近年受到關注的污泥消化新技術[5, 6, 7, 8]. 與傳統污泥厭氧消化(進泥含固率3%~5%)相比,單位投資可減少40%~50%[9],又明顯節省加熱量,故經濟優勢明顯. 另一方面,我國的污泥有機物含量明顯低于歐美,也是厭氧技術推廣難的原因之一. 考慮到污泥消化的速控步驟是污泥水解,而我國污泥有機物含量低的情況,提出了“熱水解-高溫厭氧消化”的高固污泥處理工藝. 該工藝的主要特點包括:①采用70℃熱水解作為預處理來促進細胞溶解; ②采用高溫厭氧消化來加快消化. 目前高固消化的研究還不夠充分,尤其缺乏設計和實際運行經驗. 本研究具有較好的參考價值. 1 材料與方法 1.1 工藝流程
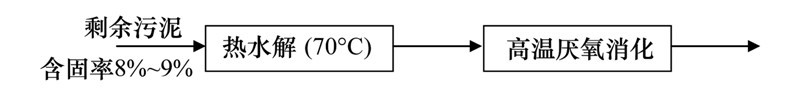
本中試在廣州市某水質凈化廠進行,共持續9個多月. 中試的工藝流程見圖 1. 進泥在水解罐中水解,之后用泵打入高溫厭氧罐. 熱水解罐和高溫罐的有效容積分別為0.6 m3和2.0 m3,前者的反應溫度為70℃±1℃,后者為55℃±1℃. 熱水解的固體停留時間(solid retention time,SRT)為3 d.
圖 1 工藝流程示意
1.2 接種污泥和處理的污泥
接種污泥為中溫厭氧消化污泥,接種揮發性懸浮固體(volatile suspended solid,VSS)濃度為17.01 g ·L-1,有機物含量為57%. 試驗所用進泥為污水廠的脫水剩余污泥配制,含固率為8%~9%,有機物含量為59.76%~69.94%,VSS為52.95~58.45 g ·L-1,SCOD為1268~3443 mg ·L-1,氨氮60~336 mg ·L-1. 該污水廠進水中工業廢水約占70%左右. 1.3 有機物去除率
有機物去除率以VSS去除率表示,其計算是基于相同SRT下的穩定運行階段的物料平衡得出:

式中,ηMB:平均VSS去除率,%; VSSF:平均進泥VSS濃度,g ·L-1; VSSP:平均出泥VSS濃度,g ·L-1. 1.4 測試方法
pH采用精密pH試紙測量,含水率、 VSS采用重量法測量,COD采用快速消解分光光度法(蘭州連華環?萍加邢薰荆5B-1B)測量,堿度采用溴甲酚綠-甲基紅指示劑滴定法測量,氨氮采用納氏比色法測量,沼氣含量采用甲烷測定儀(北京恒奧德儀器儀表有限公司,HA80-CH4)測量,沼氣產量采用濕式流量計(長春汽車濾清器有限責任公司,LMF-1)測量. 2 結果與討論
試驗從2011年10月底持續至次年7月,時長近9個月. 2.1 熱水解
試驗期間,熱水解進泥的平均VSS為55.78g ·L-1,出泥為44.87 g ·L-1,平均去除率為19.6%. SCOD由進泥的4565 mg ·L-1增加至19969 mg ·L-1,增加337.4%. 這些顯示出熱水解在溶解細胞方面有明顯效果.
熱水解的去除率與進泥的VSS/SS有一定關系,當VSS/SS在50.0%~59.9%范圍內,平均為57.1%時,熱水解的平均VSS去除率為13.3%,而VSS/SS在60%以上,則差異不明顯,VSS/SS為60%~64.9%、 65.0%~69.9%和70%以上的污泥熱水解的平均VSS去除率分別為20.50%、 21.20%和17.63%. 2.2 高溫厭氧消化
2011年10月底,用接種污泥直接將高溫厭氧罐充滿,然后每天按有機負荷(以COD計)2 kg ·(m3 ·d)-1投加葡萄糖,促進厭氧細菌的活性恢復. 當沼氣產量達到理論值70%~80%時,逐步減少葡萄糖的投加量,同時增加污泥量,經過3周左右的時間,葡萄糖的投加量為零,至此啟動結束. 啟動期間,污泥的SRT為20 d,pH維持在7.0左右,進泥的VSS為12.86 g ·L-1,VSS/SS為52.43%.
待反應器啟動結束后,將進泥的含固率提高到8%~9%,依次進行了厭氧SRT分別為40 d、 35 d、 25 d、 20 d、 15 d的試驗. 每個SRT試驗的測試結果都是在反應器完成一個完整的SRT運行后,且穩定運行以后的平均值,結果如下. 2.2.1 有機物去除率
當高溫厭氧消化的SRT為15 d、 20 d、 25 d、 30 d、 35 d和40 d時,VSS去除率分別為27.5%、 32.5%、 29.8%、 34.6%、 25.3%和42.3%,有機負荷(以VSS計)分別為3.16、 2.36、 1.84、 1.58、 1.15、 1.18 kg ·(m3 ·d)-1. SRT為35 d時,去除率較低. 在這期間,污水廠的剩余污泥的VSS/SS由70%左右下降至50%左右. 污泥性質不穩定可能是去除率較低的主要原因.

圖 2 高溫厭氧消化的有機物去除率與SRT
2.2.2 VSS/SS
穩定化是污泥處理的重要目標之一. 王凱軍等[10]指出,污泥穩定化是有機物礦化的過程. 朱英等[11]推薦VSS去除率、 不穩定物質去除率、 腐殖質含量和植物毒性等作為污泥穩定化指標,而朱明權等[12]認為厭氧消化后污泥的有機酸含量可很好地衡量污泥的穩定化程度. 通常,有機物去除率越高,污泥穩定化越好,而污泥有機物含量(VSS/SS)越高,污泥就越不穩定,因此可以采用VSS去除率和消化污泥的VSS/SS評價污泥穩定化程度. 大量工程運行數據表明,穩定程度較好的污泥VSS去除率在40%以上,VSS/SS多在45%±5%.
當高溫厭氧消化的SRT為15 d、 20 d、 25 d、 30 d、 35 d和40 d時,高溫消化污泥的VSS/SS分別為47.49%、 57.98%、 54.00%、 47.15%、 52.93%和55.70%. SRT為20 d、 25 d、 35 d和40 d時,消化污泥的VSS/SS超過50%,這主要是因為進泥的有機物含量較高導致的. 由圖 3可知,消化污泥的VSS/SS與進泥的VSS/SS是相關的. 擬合結果表明,線性相關系數R2達到0.9168.

圖 3 高溫消化污泥VSS/SS與SRT的關系
2.2.3 甲烷產率
甲烷產率是評價厭氧消化回收能源的重要指標. 由圖 4可知,當SRT為25~40 d時,甲烷產率(以CH4/VSSadd計)變化不大,為0.20~0.24 m3 ·kg-1; 當SRT為15 d、 20 d時,甲烷產率下降,為0.12 m3 ·kg-1、 0.17 m3 ·kg-1. 這表明當SRT在20 d以下時,污泥有機物的消化還不夠徹底. 綜合甲烷產率以及前文的有機物去除率等結果,在實際工程中,本工藝的高溫厭氧消化的SRT可取25 d.

圖 4 甲烷產率
2.2.4 氨氮
氨氮是厭氧反應的抑制物質之一,而高固污泥消化的氨氮抑制風險要明顯高于傳統污泥厭氧消化. Hashimoto[13]研究發現,對于未經馴化的中溫和高溫厭氧反應器,當pH約為7.2時,氨氮濃度2500 mg ·L-1的抑制就很明顯. 而對于經過馴化的高溫厭氧反應器,氨氮濃度達到4000 mg ·L-1時才會產生抑制. Angelidaki等[14]也認為4000 mg ·L-1是氨氮抑制現象發生的臨界值. 在試驗中,進泥的平均氨氮為284mg ·L-1,厭氧的氨氮濃度平均為983 mg ·L-1,低于文獻報道的氨氮抑制濃度4000 mg ·L-1[14, 15]. 2.3 總體運行情況
工藝的總VSS去除率見圖 5. 從中可知,當高溫厭氧消化的SRT為15 d、 20 d、 25 d、 30 d、 35 d和40 d時,總VSS去除率分別為39.07%、 42.22%、 42.69%、 45.31%、 44.70%和47.87%,總去除率(ηMB)與SRT線性正相關(式2),相關系數達到0.9153. 厭氧消化的SRT在20 d以上時,總VSS去除率在40%以上,完全滿足《城鎮污水處理廠污染物排放標準(GB 18918-2002)》中污泥穩定的要求.

熱水解和高溫厭氧消化對總VSS去除的貢獻見圖 6. 由圖可知,當高溫厭氧消化的SRT為15 d、 20 d、 25 d、 30 d、 35 d和40 d時,熱水解的貢獻比例分別為51.92%、 46.45%、 63.52%、 44.77%、 60.66%和42.68%,而厭氧消化的貢獻比例分別為48.08%、 53.55%、 36.48%、 55.23%、 39.34%和57.32%,表明熱水解和高溫厭氧消化去除VSS的貢獻大致相當. 盡管熱水解的SRT只有3 d,僅占總SRT的6.98%~16.67%,但對總VSS去除率的貢獻明顯.

圖 5 總VSS去除率

圖 6 熱水解和高溫厭氧消化對VSS去除的貢獻
2.4 與實際工程的對比
文獻報道的國外的大型污泥消化工程的運行數據比較少,使用的經典設計手冊可以反映工程的實際情況. 美國《污水處理廠設計手冊》中明確指出污泥厭氧消化的有機物去除率應在38%以上,沼氣產率的范圍為0.5~0.75 m3 ·kg-1(以沼氣/VSSadd計) 和0.75~1.12 m3 ·kg-1[16](以沼氣/VSSrem計). 沼 氣中的甲烷含量一般為50%~70%,按平均60%計算,折算后的甲烷產率分別為0.30~0.45 m3 ·kg-1(以CH4/VSSadd計)和0.45~0.67 m3 ·kg-1(以CH4/VSSrem計). 中試研究結果表明,熱水解-高溫厭氧消化工藝處理高含固率的剩余污泥時,有機物去除率完全可以達到美國設計手冊的要求,但甲烷產率低于推薦值.
截止目前,我國建成并運行良好的污泥厭氧消化設施主要有大連東泰夏家河污泥處理廠、 北京小紅門污水處理廠污泥消化工程、 青島麥島污水處理廠污泥消化工程、 上海白龍港污水處理廠污泥處理處置工程和鄭州王新莊污水處理廠污泥消化工程等. 本中試的試驗結果與國內運行良好的部分實際工程運行對比結果見表 1.
由于我國城鎮污水處理廠污泥的有機物含量普遍較低,已建成運行的污泥厭氧消化設施,甲烷產率大多為0.18~0.24 m3 ·kg-1(以CH4/VSSadd計)[17],因此本工藝的甲烷產率要優于一般的消化工程. 由表 1可知,當停留時間接近時,高含固率的污泥厭氧消化的有機物去除率與運行良好傳統的污泥厭氧消化工程(含固率3%~5%)相當. 由于高固消化與相同停留時間的傳統消化相比,反應器的容積要縮小50%左右,加熱的污泥體積縮小40%~60%,抵消了大部分高溫多耗的能量,因此運行費也未明顯增加. 這顯示出本工藝具有明顯的經濟優勢.

表 1 中試與實際消化工程的對比
與同為高固消化的大連夏家河污泥處理廠相比,本中試的有機物去除率和甲烷產率基本相同. 夏家河污泥處理廠的進料除了城市污泥外,還有部分過期食品,這些物料有機物含量高,產氣率也高. 夏家河廠采用了德國技術.
本工藝采用了70℃熱水解和高溫消化,在降低污泥的衛生風險方面要明顯優于中溫消化.具體參見污水寶商城資料或http://m.dongaorq.cn更多相關技術文檔。
3 結論
中試結果表明,含固率8%~9%的剩余污泥進行“熱水解(70℃)-高溫厭氧消化(55℃)”具有較好的有機物去除效果和污泥穩定化效果,能滿足《城鎮污水處理廠污染物排放標準(GB 18918-2002)》的要求. 與此同時,高固消化污泥含固率較高,反應器小,投資較少,而運行能耗未明顯增加,值得推廣. 從有機物去除率和沼氣產率來綜合考慮,推薦的參數為:熱水解SRT=3 d,高溫厭氧消化的SRT=25 d.(來源及作者:清華大學環境學院環境模擬與污染控制國家重點實驗室 王廣啟、曹知平、李中華、胡玉瑛、王凱軍、左劍惡)


