好氧顆粒污泥[1, 2, 3](aerobic granular sludge,AGS)是微生物在特定的環境下自發凝聚、 增殖而形成的顆粒狀生物聚合體,它具有許多普通活性污泥難以比擬的優點,如致密的結構、 良好的沉降性能、 多重生物功效(有機物降解、 脫氮、 除磷等)、 高耐毒性、 相對較低的剩余污泥產量等. 得益于這些優點,AGS已成為廢水處理領域的研究熱點[4]. 迄今為止,AGS的絕大部分研究成果都來自于間歇式運行反應器[5, 6, 7, 8, 9, 10, 11, 12, 13, 14],如SBR、 SBAR等. 然而,研究結果[15]表明,長期運行的AGS反應器會出現不穩定甚至解體現象,這說明間歇式反應器并非是好氧顆;淖罴堰x擇.
序半連續式反應器(sequencing fed batch reactor,SFBR)是近年來發展起來的一種新型反應器,主要特征是連續進水,反應完后一次性排水. 目前,在SFBR中利用活性污泥對廢水進行處理的研究已見報道[16, 17, 18, 19, 20, 21],也有針對連續進水[22]或分段進水[23, 24, 25]對SBR中的AGS穩定性影響的報道,而有關SFBR中成功實現好氧顆粒化的研究鮮有報道. 相比于SBR,SFBR運行靈活、 控制簡便,較容易建造、 實施,若能實現好氧顆;胺定運行無疑會增加AGS反應器的形式. 因此,本研究嘗試在SFBR中進行AGS的培養,并對AGS的特性進行研究,以期為AGS技術的發展提供理論支持.
1 材料與方法
1.1 試驗裝置及運行方式
1.1.1 試驗裝置
反應器總高度2.3 m,內徑8.4 cm,有效容積11.64 L(有效高度2.1 m),排水口距底座高度54 cm(換水率74.3%). 模擬污水由蠕動泵從反應器底部引入(進水口距底部高4 cm),壓縮空氣由空壓機提供,經硅膠管后由曝氣砂頭從反應器底部壓入. 試驗裝置見圖 1所示.

圖 1 試驗裝置示意
1.1.2 周期組成
反應器在09:00~21:00運行周期為6 h,其余為12 h一周期,厭氧/好氧(A/O)交替運行,厭氧期不攪拌,除沉淀、 排水外,反應器均為連續進水,當水位達到有效高度(2.1 m)時停止進水及曝氣,沉淀3~15 min后排出上清液,反應器進入下一循環周期. 培養過程中根據污泥的沉降性能逐漸減少沉淀時間. 具體見表 1所示.

表 1 反應器周期組成
1.1.3 其它運行參數
運行過程中根據反應器對污染物的去除效果而改變COD、 NH+4-N、 TP的濃度,具體見表 2.

表 2 反應器運行參數
1.2 接種污泥
接種5 L化糞池污水和500 mL序批式好氧顆粒污泥反應器(AGSBR)出水,連續曝氣1 d后采用SBR運行模式(6 h ·周期-1,4個周期 ·d-1),COD從500mg ·L-1逐漸增至800mg ·L-1,第2 d時反應器內即出現了細小的生物絮體,并夾雜著少量好氧顆粒污泥(SBR中排出的解體顆粒). 運行8 d后培養出沉降性能良好的活性污泥,顏色主要為黃色. 反應器污泥濃度達到2 558 mg ·L-1,SVI 30.11mL ·g-1,MLVSS/MLSS為0.45. 活性污泥的形成過程見圖 2.

圖 2 活性污泥培養過程數碼照片
1.3 模擬污水
模擬污水成分及濃度見表 3,對應的COD、 TIN、 TP濃度為1 000、 50、 10mg ·L-1,微量元素添加量為1 mL ·L-1模擬污水,根據反應器內污泥生長狀況不斷調整C、 N、 P的濃度配比,其它成分不變.

表 3 模擬污水組成
1.4 分析方法
COD、 NH+4-N、 NO-2-N、 TP、 電導率均采用國家標準分析方法測定[26],NO-3-N采用麝香草酚分光光度法,[TIN]=[NH+4-N]+[NO-3-N]+[NO-2-N]; SV、 SVI、 MLSS、 MLVSS采用標準方法; 顆粒污泥粒徑分布采用標準篩篩分測定,標準篩孔徑分別為:0.30、 0.60、 1.0、 1.43、 2.0、 4.0 mm,測量經篩分后各粒徑范圍內污泥的MLSS,計算其占總MLSS的質量分數后得到粒徑分布情況(>0.3 mm的視為顆粒,其所占質量分數稱為顆粒化率),平均粒徑從篩上累積質量分數曲線上查出,對應的累積篩上、 篩下污泥質量分數均為50%; 使用Canon數碼照相機記錄顆粒形態.
胞外聚合物(extracellular polymeric substances,EPS)的提取方法為:將搖勻后的污泥樣品25 mL放置于離心管中,在4℃,2 000 r ·min-1下離心10 min,沉淀物溶解于磷酸鹽緩沖液,放置于80℃ 恒溫水浴中加熱60 min,提取EPS,然后在10 000 r ·min-1下離心30 min,上清液過濾后用于EPS成分分析[27]. 蛋白質測定采用考馬斯亮藍試劑法,多糖測定采用硫酸-苯酚法.
2 結果與討論 2.1 污泥形態變化
培養過程中污泥的形態變化見圖 3. 觀察發現:隨著沉降時間的減小,松散的絮體污泥逐漸轉變為較大的菌膠團,11 d時幾乎全部以大片菌膠團和細小顆粒形式存在,28 d時AGS占絕對優勢(顆粒化率為86.12%),所形成的好氧顆粒污泥呈黃色、 形狀不規則,且粒徑較小(平均粒徑0.56 mm). 此后,反應器內始終以AGS為主,但當改變運行條件時,污泥會出現短暫的不適應期,部分AGS會變得很疏松,出現絮狀物. 43~53 d內由于進水濃度高致使反應器內液體含鹽量過大(測得混合液電導率為3.05 S ·m-1),液體比重的增加使得部分AGS懸浮在反應器上部難以下沉,造成污泥的大量流失,使得污泥負荷迅速增加,加之滲透壓的增加使得微生物細胞出現不適情況,以致部分AGS出現解體,降低負荷后(54~63 d)AGS形狀變得更加不規則,且污泥顆粒顏色變淺.

圖 3 好氧顆粒污泥形態變化數碼照片
2.2 污泥的理化特性
2.2.1 SVI
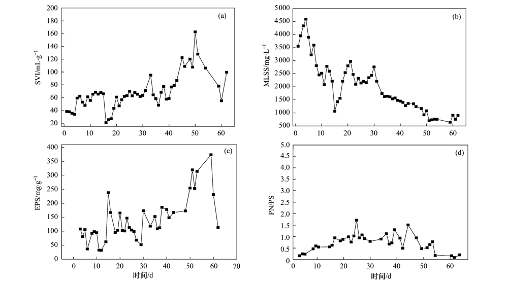
SVI變化情況見圖 4(a). 從中可知:正常情況下的污泥SVI保持在70mL ·g-1以下,但當運行條件改變時污泥的SVI會出現波動. 運行初期(1~4 d)由于污泥量較少、 污泥無機成分較高,造成SVI較小; 隨著污泥量的增加,SVI值趨于平緩. 第16 d時提高了氮負荷,污泥變得松散,沉降性能變差,反應器中混合液變得黏稠和渾濁,可能是異養菌難以承受氨氮突然增加造成的沖擊,出現細胞破裂及死亡,導致大量污泥隨出水排出反應器,SVI急劇下降,隨著污泥逐漸適應進水水質,SVI值趨于穩定. 第32 d實驗室停電、 反應器處于靜置狀態,33 d的SVI有所上升,隨著微生物逐漸適應周圍環境后SVI又逐漸降至80 mL ·g-1以下. 43 d后由于進水鹽度較高,AGS出現解體、 沉降性能變差,54 d降低進水負荷后SVI值出現一定下降.

圖 4 運行過程中SVI、 MLSS、 EPS含量及PN/PS變化情況
2.2.2 污泥濃度(MLSS)
MLSS的變化情況見圖 4(b). 從中可知,MLSS整體呈下降趨勢. 1~4 d時MLSS有短暫的上升,隨著沉降時間的縮短,沉降性能差的絮體污泥被排出反應器,MLSS逐漸減小,14 d時由于提高了NH+4-N濃度、 污泥出現短暫不適應而造成MLSS顯著降低,待污泥適應新環境后MLSS基本穩定在2 000~3 000 mg ·L-1之間(18~31 d),42 d以后由于反應器內高含鹽量導致污泥難以下沉而大量流失,MLSS持續下降最終低于1 000 mg ·L-1. 反應器運行過程中未能保持較高的污泥量,一方面是當運行條件改變使微生物不適應造成污泥流失所致; 另一方面是夜間連續進料使曝氣階段反應器內底物濃度較低、 易造成絲狀菌生長[37, 38, 39],為維持AGS的穩定需采取較短的沉降時間及時排出絮體污泥,也造成了一定的污泥流失.
2.2.3 胞外聚合物(EPS)
EPS含量及PS/PN分別見圖 4(c)、 圖 4(d). 由圖 4(c)可知:EPS含量(以MLVSS計)處于波動狀態,1~59 d內呈上升趨勢,59 d時達到最大值373.24 mg ·g-1 ,較培養初期增加了約2.5倍,這與大量研究得出的EPS有利于細胞之間的自凝聚及AGS的穩定性維持[28, 29, 30]是一致的,運行后期由于AGS出現解體,導致EPS急劇下降. 由圖 4(d)可發現PN/PS在1~16 d逐漸增大,17~52 d基本保持在1左右,53 d以后迅速下降至0.3以下,表明蛋白質在EPS中的比例先增加、 后趨于穩定,最后又急劇下降. 研究表明:EPS中蛋白質與多糖的組成對AGS的穩定性有顯著影響[29, 30, 31],但二者誰起決定作用還存在爭議. 本研究表明當AGS出現解體時蛋白質含量顯著下降,說明EPS中蛋白質對SFBR中AGS的穩定性有重要影響.
2.2.4 粒徑分布
反應器內污泥的粒徑分布見圖 5所示. 從中可知,隨著逐漸縮短沉降時間,反應器內污泥的粒徑逐漸增大,4、 14、 21、 28 d時對應的平均粒徑分別為:0.19、 0.43、 0.54及0.56 mm. 同時,粒徑小于0.3 mm的污泥的比例逐漸減少,反應器的顆;手饾u增大,可以看到污泥的顆;视沙跗诘18.17%上升到86.12%,但0.3~0.6 mm內AGS始終占主導,這可能與SFBR中較低的底物傳質梯度有關,粒徑大的AGS內部難以得到基質而極易解體. 隨后由于污泥量減少及沉降性能變差,未進行粒徑分析.

圖 5 第4 d、 14 d、 21 d、 28 d粒徑分布
2.3 反應器對污染物的去除效果
2.3.1 COD去除效果
反應器對COD的去除效果見圖 6. 從中可以看到,除異常波動外,反應器對COD的去除率基本維持在90%左右,正常情況下出水COD小于100mg ·L-1,表明連續進料下AGS對COD亦具有較好的去除效果,這主要得益于AGS致密的結構和較高的生物活性.

圖 6 出水COD濃度及去除率
2.3.2 脫氮效果
各態氮的濃度變化及TIN去除率見圖 7. 可以看出,反應器對NH+4-N、 TIN的去除效果波動較大,去除率分別為44.45%~94.72%及43.87%~93.13%. 分析原因:一是改變氮負荷時會有短暫的不適應,此時的脫氮效率較差; 二是連續進料使得部分NH+4-N未被氧化即排出反應器. 從圖 7中還可以看出,出水中NO-3-N濃度絕大部分時間均高于NO-2-N濃度,但也并未出現明顯的NO-3-N、 NO-2-N積累,分析可能是AGS的內部分層結構發生了同步硝化反硝化作用,而連續進料為反硝化提供了所需的碳源.

圖 7 出水NH+4-N、 NO-3-N、 NO-2-N、 TIN濃度
2.3.3 TP去除效果
反應器對TP的去除效果見圖 8. 從中可知,反應器對TP去除效果波動較大,去除率在44.50%~97.40%之間. 分析原因:一是改變運行條件會有短暫的不適應,此時的除磷效果較差; 二是連續進料使得部分TP未完全反應. 除14 d突然提高氮負荷造成系統短暫不適應外,TP去除率可維持在60%以上.

圖 8 出水TP濃度及去除率
2.4 典型周期污染物降解規律
2.4.1 COD周期降解規律
典型周期內COD的降解規律見圖 9(a). 可以發現,由于厭氧期內未曝氣、 也未攪拌,使反應器中COD逐步升高,90 min時達到321.95mg ·L-1,開始曝氣后積累的COD被AGS迅速吸附并降解,200 min以后反應器內COD濃度趨于平穩并維持在100mg ·L-1以下. SFBR中厭氧/好氧交替及連續進料的運行模式使其流態在時間上具有一定的推流特征,可為生化反應提供較大的傳質推動力,這被認為可有效抑制絲狀菌過度生長[37, 38, 39].
2.4.2 氮周期降解規律
典型周期內氮的降解情況見圖 9(b). 厭氧期內(0~80 min)由于連續進料且未攪拌,NH+4-N、 TIN的濃度逐漸升高,好氧期內二者均出現一定的波動,但波動幅度不大. 另外,硝氮、 亞硝氮呈交替升高、 降低情況. 分析原因包括:一是進水中的NH+4-N氧化不完全及混合不均勻使NH+4-N、 TIN上下波動; 二是發生氨氧化及硝化反應的同時,進水提供的碳源即可與NO-3-N發生反硝化,亦可與NO-2-N發生反硝化,由于兩種過程隨機進行,使得NO-3-N、 NO-2-N濃度上下波動.
2.4.3 TP周期降解規律
典型周期內TP的降解情況見圖 9(c). TP的濃度總體呈下降趨勢,但變化幅度較小,基本維持在3.0mg ·L-1左右. 雖然設置了80 min的厭氧期,但并未出現傳統除磷機制中明顯的厭氧釋磷及好氧吸磷狀況,厭氧段的長短對TP的去除效果及除磷機制尚需后續深入研究.

圖 9 典型周期COD、 NH+4-N及TP降解規律
3 SFBR中好氧顆;臋C制探討及穩定性分析
對于好氧顆;^程來說,選擇壓假說[32,33]越來越受到學者們的認可. 選擇壓[34]分為水力選擇壓和生物選擇壓,前者是通過控制反應器結構特性和水力條件等將性能差的污泥淘汰出反應體系,后者通過改變混合液中營養成分的負荷來使適應此負荷的微生物生存下來而不能適應的微生物逐步消退. 本試驗主要是通過控制沉淀時間、 水力剪切力、 A/O交替運行等水力選擇壓來促進AGS的形成. 主要表現在:①通過逐漸縮短反應器的沉淀時間,逐漸將沉降性能差的絮體污泥排出,而沉降性能好的菌膠團逐漸得到富集; ②反應器采用較大的高徑比(H/D為25)及較大的曝氣量(0.24~0.40 m3 ·h-1),可為反應器內提供連續、 均勻的水力剪切力(1.2~2 cm ·s-1),研究表明它們能刺激細胞EPS的分泌及疏水性的增加,促進細胞之間的自凝聚[35,36]; ③A/O交替運行方式使SFBR在前80 min內呈理想的推流流態,而好氧期內呈完全混合狀態,相比于完全混合式反應器,這種模式可為生化反應提供較大的傳質推動力,使得菌膠團在同絲狀菌的生長競爭中處于優勢地位[37, 38, 39],有利于AGS的形成.
通過逐步提高選擇壓,28 d后在SFBR中成功培養出了AGS,但32 d后反應器內污泥量持續下降,42 d時反應器內出現AGS解體現象. 除操作條件不當,如檢修期靜置、 進水含鹽量過高造成污泥流失及解體外,后期反應器內絲狀菌過度繁殖,并在生長競爭中逐漸占優勢是AGS解體的主要原因. 主要表現在:通過提高進水濃度及A/O運行模式可在SFBR中創造較高的傳質推動力,這在白天12 h內可一定程度上維持AGS的穩定性,但限于自動控制水平,夜間存在635 min的好氧反應期,長時間的好氧饑餓期不僅不利于AGS的穩定性維持[40,41]、 亦容易造成絲狀菌生長[37, 38, 39],使得AGS在生長競爭中逐漸處于劣勢,為及時將沉降性能差的絮體污泥排出仍需維持較短的沉降時間(3 min),致使每天早上排水時較多污泥被排出,污泥的生長量難以補充污泥的流失量,最終導致了AGS的解體. 為維持SFBR中AGS的穩定性,后續研究需提高反應器的自動控制水平,并將有機負荷、 污泥負荷[42]控制在合理范圍內.具體參見污水寶商城資料或http://m.dongaorq.cn更多相關技術文檔。
4 結論
(1)利用自行培養的活性污泥作為接種污泥,采用厭氧/好氧交替、 逐漸縮短沉淀時間等策略(選擇壓法),28 d后在SFBR中成功培養出AGS. 所形成的AGS呈黃色、 形狀不規則,且粒徑較小. 正常情況下的污泥SVI保持在70mL ·g-1以下,運行中后期出現污泥流失及解體,AGS形狀變得更加不規則,且顏色變淺.
(2)在63 d的運行時間里,除異常波動外,反應器對COD的去除率基本維持在90%左右,正常情況下出水COD小于100mg ·L-1,反應器對NH+4-N、 TIN的去除效果波動較大,去除率分別為44.45%~94.72%及43.87%~93.13%,對TP的去除率在44.50%~97.40%之間,正常情況下TP去除率可維持在60%以上,表明AGS對污染物具有較好地去除效果.
(3)反應器中未能維持較高的污泥濃度,后期出現污泥解體,主要是夜間長時間的好氧饑餓期容易造成絲狀菌過度生長,使得AGS在生長競爭中處于劣勢,較短的沉降時間使大量沉降性能差的絮體污泥被排出,最終導致了AGS的解體.(來源及作者:華中科技大學環境科學與工程學院 龍焙、楊昌柱、濮文虹、楊家寬、白俊、王晶、周玄月、蔣國盛、李春陽、劉福標)


