1 引言
人工濕地是人工設計建造的由填料、植物和微生物組成的可控制工程化的污水處理生態系統,依靠系統中物理、化學及生物共同作用實現對污水的凈化.人工濕地具有投資少、運行費用低、維護方便的特點,且對有機物有較強的降解能力,對N、P去除率較高,對負荷變化適應性強,以及兼具美學價值,因而受到了越來越多的關注.
我國華北、東北、西北地區冬季氣候寒冷漫長,冰凍期長達3~6個月,其中,北部邊陲地區年最低氣溫可達到-30 ℃以下.嚴酷的氣候條件使該地區人工濕地系統中的植物在冬季基本上都會枯萎死亡,系統中微生物的數量也會大幅度減少;同時,微生物代謝外源物質的能力也有所降低,導致污水處理效果變差,甚至不達標.因此,如何保證人工濕地在冬季的污水處理效果成為亟待解決的問題.
微生物作為人工濕地除污的主體和核心,完成物質的礦化、硝化、反硝化等轉化的作用不言而喻.根據微生物生長溫度特性可將其分為高溫微生物、中溫微生物和低溫微生物3類.其中,低溫微生物是極端微生物之一,其具有獨特的生理功能適應環境,因此,研究這類微生物不僅具有重要的理論意義,而且在實際推廣應用中還產生了日益明顯的經濟效益和環境效益.在寒冷的冬季,這些低溫微生物在人工濕地生態系統中起著非常重要的作用,為人工濕地污水處理提供了嶄新的發展途徑.
降解菌能否在自然環境中發揮降解作用是降解菌投入實際應用的關鍵,也是水污染生物修復技術能否成功的關鍵.外源投加的微生物本身在環境中的行為和對環境的影響如何也是關系到降解菌使用的一個重要問題,目前也越來越受到關注.然而人工濕地是一個復雜的生態系統,既要充分發揮降解菌的降解作用,同時又要防止破壞濕地自然的生態結構,就有必要研究降解菌對濕地土壤中土著微生物的影響,為評價外源投加菌在水污染修復過程中對人工濕地生態系統的影響提供基礎數據.基于此,本研究在山東南四湖人工濕地的底泥中分離馴化出一株在低溫條件下生長速率及代謝速率最高的菌株,并對其進行形態特征、生理生化特性及16S rDNA序列分析鑒定.同時,探索在北方冬季條件下,該菌投加到人工濕地中在提高廢水處理效率的同時,對濕地中土著可培養微生物類群數量和酶活性的影響.
2 材料與方法
2.1 復合垂直流構建濕地結構
實驗人工濕地采用復合垂直流結構設計,底部相通,污水由下行池表面均勻投配,垂直下行,經連通層到達上行池,再垂直上行,通過收集管排出.其中,下行流池長150 cm、寬100 cm、深65 cm,上行流池長120 cm、寬100 cm、深55 cm,卵石層深20 cm,投配負荷 2~20 cm · d-1,有機負荷 15~20 kg · hm-2 · h-1(以BOD5計).濕地基質選用了不同粒徑的礫石和砂土特別組配而成,濕地結構如圖 1所示,其中,圖中箭頭表示污水流動方向.
圖1 復合垂直流濕地系統結構示意圖
系統所選植物為除污能力強的常見濕地植物美人蕉(Canna generalis)和菖蒲(Acorus calamus),在2012年4月份種植于人工濕地反應器中,種植密度為8 株· m-2,濕地植物生長狀況良好,已完全遮蓋基質表面,根系發達,至實驗時為止,該系統已穩定運行半年時間.系統進水來源為取自山東省曲阜市生活污水處理廠的進水.當水力停留時間為10 d 時,系統進出水參數見表 1.
表1 人工濕地系統進出水參數
2.2 菌種的來源
菌株Pseudomonas flava WD-3 于冬季從南四湖人工濕地的底泥中培養、分離、篩選出來,經鑒定為黃假單胞菌(Pseudomonas flava),命名為Pseudomonas flava WD-3,基因登陸號為JX114950(唐美珍等,2013).該菌株為好氧微生物,其對污水中有機污染物具有很好的凈化效果,同時兼顧有較好的脫氮除磷能力.本文分別對菌株生長的時間、溫度、pH、鹽度、碳源和氮源進行了研究,確定其最佳的生長條件為:培養時間48 h,溫度16 ℃,pH 6.0~8.0,鹽度為1%,最佳碳源和氮源分別為蔗糖、蛋白胨.
2.3 Pseudomonas flava WD-3菌的投加
將斜面保存的Pseudomonas flava WD-3菌種于30 ℃下活化培養24 h后,接種到裝有100 mL LB液體培養基中,6~8 ℃條件下恒溫培養至達到對數生長期(約48 h),再將菌懸液在1.2×103 r · min-1下離心(去除培養基的營養成分),收集菌體細胞,取濕菌體細胞再懸浮于無菌生理鹽水中,在600 nm波長下其吸光度為1.0~1.2,菌懸液的濃度為4.575×108個 · mL-1.
人工濕地系統穩定運行半年后,于2013年1月中旬(水溫的變化范圍為6~8 ℃)開始投入Pseudomonas flava WD-3,接種方法采用一次性投加.接種量V(菌液)/V(污水)為1.5%~10%,以未接菌的人工濕地為對照組.
2.4 土壤樣品的采集
投菌后采用梅花形布點法在上、下行池分別取第1、3、5、7、10 d的土樣,上、下行樣混合后,一部分立即測定土壤微生物的數量;另一部分經自然風干-研磨-過篩(20目)-保存,用于土壤酶活性的測定.
2.5 土壤微生物數量及酶活性的測定方法
土壤中細菌、真菌、放線菌計數采用平板培養法(混菌法)測定,硝化細菌和反硝化細菌采用最大或然(MPN)法測定.土壤脲酶采用奈氏比色法測定,脫氫酶采用TTC紫外分光光度法測定,過氧化氫酶采用高錳酸鉀滴定法測定,蔗糖酶采用硫代硫酸鈉滴定法測定.
2.6 數據處理
實驗數據均為3次重復的平均數,采用Excel和SPSS19.0作統計處理.
3 結果與討論
3.1 土壤微生物數量隨Pseudomonas flava WD-3菌投加量和時間的分布變化
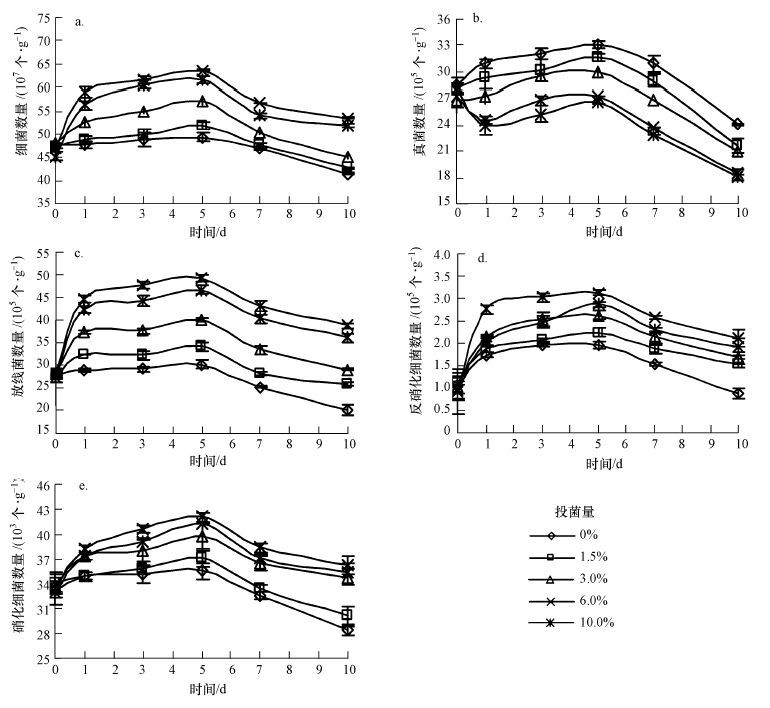
Pseudomonas flava WD-3投入到人工濕地后,其土著微生物數量隨投菌量及時間的變化情況見圖 2.從圖 2及進行單因素方差分析后發現,接種Pseudomonas flava WD-3后,人工濕地中可培養細菌、真菌、放線菌、硝化細菌及反硝化細菌的數量(以干重計)均產生了顯著變化(p<0.01).在1.5%~6.0%的接種量情況下,隨著Pseudomonas flava WD-3投加量的增加,濕地系統中可培養細菌、放線菌、硝化細菌及反硝化細菌的數量也隨著增加,而真菌呈現下降的趨勢,并在6.0%的接種量時,各種可培養微生物數量增加或減少到最大值.與對照組相比,濕地系統中可培養細菌、放線菌、硝化細菌及反硝化細菌數量最大分別增加了1.3、1.9、2.3、1.3倍,而可培養真菌數量最大減少了23.3%.但當投菌量提高到10.0%時,參比6.0%時的投菌量,人工濕地系統中各種可培養微生物數量稍微有些降低.究其原因可能是,當投加量增加到一定數量后,Pseudomonas flava WD-3可能作為一種生物入侵種,容易為了爭奪養分、空間等而進行種類斗爭,從而使人工濕地系統中各種可培養微生物數量有所降低.
圖2 復合垂直流人工濕地中細菌(a)、真菌(b)、放線菌(c)、反硝化細菌(d)和硝化細菌(e)數量的變化
3.3 土壤酶活性隨Pseudomonas flava WD-3菌投加量和時間的分布變化
Pseudomonas flava WD-3投入到人工濕地后,其土壤酶活性(均以干土質量計)隨投菌量及時間的變化情況見圖 3.過氧化氫酶能催化土壤中過氧化氫的分解,減弱過氧化氫所產生的毒害作用,在一定程度反映了土壤微生物學過程的強度.從圖 3a可知,Pseudomonas flava WD-3投加后能顯著促進土壤過氧化氫酶活性的增加.當Pseudomonas flava WD-3為水處理效果最佳投加量(6.00%)時,與對照組相比,其最大增幅高達69.2%.
圖3 復合垂直流人工濕地土壤中過氧化氫酶(a)、蔗糖酶(b)、脲酶(d)及脫氫酶(d)活性的變化
蔗糖酶活性可用來表征土壤的肥力狀況和熟化程度.從圖 3b可知,Pseudomonas flava WD-3投加后能顯著促進土壤蔗糖酶活性(當NH4+-N計).當Pseudomonas flava WD-3為水處理效果最佳投加量(6.00%)時,與對照組相比,最大增加了2.3倍.
脲酶是一種酰胺酶,能酶促有機質分子中肽鍵的水解,參與土壤中氮素的轉化.從圖 3c可知,Pseudomonas flava WD-3投加后能顯著促進土壤脲酶活性.當Pseudomonas flava WD-3為水處理效果最佳投加量(6.00%)時,與對照組相比,其最大增幅達41.3%.
脫氫酶是一種與土壤有機質轉化有關的酶,它能酶促碳水化合物、有機酸等有機質的脫氫反應,起著氫的中間傳遞體的作用.從圖 3d可知,Pseudomonas flava WD-3投加后能顯著促進土壤脫氫酶活性.當Pseudomonas flava WD-3為水處理效果最佳投加量(6.00%)時,與對照組相比,其最大增幅達54.5%.
4 討論
土壤微生物的組成和數量變化與土壤健康狀況密切相關,真菌型土壤向細菌型轉變是土壤健康狀況改善的一個生物指標.研究發現,深綠木霉施入草坪土壤后,引起土壤中細菌數量明顯增加,真菌數量顯著減少,促使土壤由真菌型向細菌型轉化.劉方春等(2013)報道,具有促生功能的枯草芽孢桿菌顯著提高了冬棗根際土壤細菌、放線菌數量及微生物總量,明顯降低了真菌數量.本研究結果支持這一觀點,研究發現,Pseudomonas flava WD-3投入人工濕地后,可明顯提高土壤中可培養細菌、硝化細菌、反硝化細菌及放線菌數量,這可能是由于外源功能菌的加入抑制了土著有害菌株,增強了土壤有益微生物的活性,這也表明Pseudomonas flava WD-3的加入有利于改善人工濕地的微環境,促使土壤由真菌型向細菌型轉變,從而提高人工濕地的污水凈化能力.許多土壤真菌是植物發病的根源(凌寧等,2009),Pseudomonas flava WD-3能顯著降低人工濕地土壤中真菌的數量,表明Pseudomonas flava WD-3有防治或減少一些土傳真菌病害發生的可能,具體有待進一步的研究證實.
人工濕地接種Pseudomonas flava WD-3后,其各種可培養的微生物數量表現為先升高后下降,分析原因可能是:①由于本實驗是針對冬季低溫污水的處理,因此,設計的水力停留時間較長(10 d).在水力停留時間內,基本上屬于靜態實驗.在實驗的初始時間(1~5 d)內,污水中含有大量的有機物、N和P,能夠充足提供微生物生長繁殖所需的營養物質,所以微生物的數量均呈現上升的趨勢;但隨著水中COD、N和P等污染物的去除,水中為微生物繁殖提供能量的營養物逐漸減少,特別是有機碳源減少,微生物因為沒有足夠的有機底物支持,數量就逐漸降低.②微生物在降解污水中有機污染、氮和磷過程中的中間產物在水體中的釋放對微生物有一定的毒害作用,以及模擬試驗中溫度等環境因素共同導致濕地系統中微生物量下降(Weon et al., 2002).
酶參與土壤中物質的循環和轉化,土壤酶活性的強弱可作為土壤肥力和質量的評價指標(陳波浪等,2014;Guo et al., 2011).在本試驗條件下,接種Pseudomonas flava WD-3能提高人工濕地土壤過氧化氫酶、蔗糖酶、脲酶及脫氫酶活性.究其原因可能是因為土壤微生物數量的增加提高了包括土壤酶在內的內分泌物的數量,進而增強土壤酶活性(路怡青等,2014).這一結果表明,接種Pseudomonas flava WD-3有利于改善人工濕地土壤的肥力與健康狀況.
綜上可知,Pseudomonas flava WD-3投加到人工濕地后能顯著提高污水的凈化能力(表 1),這是因為Pseudomonas flava WD-3本身是一種耐低溫的高效降解菌,對污水有著很好的凈化能力;另一方面,Pseudomonas flava WD-3對人工濕地土著微生物具有很好的促生作用,將其投加到人工濕地后,能顯著提高土著可培養細菌、硝化細菌、反硝化細菌及放線菌的數量,同時增強土壤中各種酶的活性,從而提高污水凈化效果.具體參見污水寶商城資料或http://m.dongaorq.cn更多相關技術文檔。
5 結論
1)冬季Pseudomonas flava WD-3投入復合垂直流人工濕地后,明顯提高了濕地土壤中可培養細菌、硝化細菌、反硝化細菌、放線菌數量及土壤過氧化氫酶、蔗糖酶、脲酶及脫氫酶活性,而真菌數量呈下降趨勢.
2)在實驗投菌量為最佳投加量6%時(水凈化效果最佳),人工濕地土壤中各種可培養微生物數量及酶活性增加或減少到最大值.與對照組相比,濕地系統中可培養細菌、放線菌、硝化細菌及反硝化細菌數量最大分別增加了1.3、1.9、2.3、1.3倍,而可培養真菌數量最大減少了23.3%;過氧化氫酶、蔗糖酶、脲酶及脫氫酶活性分別增加了69.2%、230%、41.3%及54.5%.


