1 引言(Introduction)
城市污水處理廠每天產生大量的污泥,其中水分高(達80%以上)、體積龐大、容易腐化發臭而導致其難處理. 隨著市政污泥及工業污泥產量逐年遞增,歐盟很多國家已經制定并實施了相關環境法令,嚴禁含有可生物降解有機物的污泥進行填埋,鼓勵對其進行焚燒處理. 焚燒法是一種具有減量化、無害化、資源化及回收能源等優點的污泥處置技術,其處理方式包括單獨焚燒和摻燒.不同來源污泥及其混合污泥的燃燒特性進行系統的研究.
利用熱重分析法可以獲得不同來源污泥及其與煤等可燃質的混合燃燒特性與反應動力學參數. Font等(2001)指出具有不同理化性質的污泥其燃燒熱重曲線差異較大; 溫俊明等(2004)從污泥的TG-DTG曲線出發,得出了由3個獨立的、連續的平行反應組成的動力學模型; 劉敬勇等(2014)研究表明不同類別污泥的燃燒特性與污水處理廠的工藝、污泥的種類及理化性質有很大關系; Liao和Ma(2010)發現污泥與煤的摻燒比例對其混合樣的著火及燃燒特性有較大影響; 段鋒等(2012)研究發現不同的市政污泥與煤的混合燃燒特性表現為污泥與煤共同作用的結果; 曾佳俊等(2015)發現在污泥燃燒過程中加入FeCl3/CaO后可以提高污泥的燃燒性能; 劉敬勇等(2009)發現堿土金屬含量和類別對污泥的燃燒性能影響顯著; Xiao等(2010)研究了不同氧含量對污泥與煤的混燒特性的影響. 目前的污泥混燃研究主要集中于污泥與煤或者與生物質混燃,而針對不同來源污泥相互間的混燃特性的文獻報道不多.
目前研究污泥燃燒動力學的方法大多直接假定焚燒為簡單反應,如一級反應,通過預先設定反應機理模型進行數值擬合,或者對高低溫分別進行擬合. 事實上污水污泥的熱解、燃燒過程中,灰分、揮發分的成分都比較復雜. 揮發分的析出、氧氣的擴散、化學反應速率隨溫度的變化,其燃燒過程不斷從動力區向擴散區進行轉換,而且,氧氣向內部擴散與產物氣體向外擴散又相互阻礙. 因此,簡單的假設往往掩蓋了反應過程復雜性和機理. 另外,中國城市污泥有機質及重金屬含量具有區域性和時空性差異(郭廣慧等,2014),會導致不同來源污泥混合焚燒特性的變化,但不同種類及不同來源污泥的混燃熱力學數據較為缺乏.
針對上述問題,本文對廣州市具有代表性的兩個生活污水處理廠的脫水污泥(S1和S2)和兩個工業污水處理廠的脫水污泥(印染污泥S3和造紙污泥S4)進行系統取樣.通過熱重分析,深入研究不同氣氛、不同升溫速率、不同比例混合污泥的燃燒特性,同時計算出各類污泥的綜合燒燃特性指數,獲得不同條件下各類污泥混燃的著火、燃盡、綜合燃燒特性參數和混燃動力學模型,有助于進一步掌握各類污泥混燃過程,以期為污泥摻燒設備設計的優化、運行以及燃燒工況的組織提供指導.
2 材料與方法
2.1 實驗裝置
實驗采用德國耐弛公司STA409PC型綜合熱分析儀,獲得試樣熱重曲線(TG)及微商熱重曲線(DTG). 其中熱天平精度: 1 μg; 最大試樣量: 1000 mg; 溫度范圍: 室溫~1400 ℃; 實驗氣氛升溫速率范圍: 0.1~30.0 ℃ · min-1.
2.2 實驗條件
樣品粒度小于100目,按要求混合均勻后取樣,升溫速率為10、20、25、30 ℃ · min-1; 試樣質量:(10±0.5)mg,溫度范圍: 室溫-1000 ℃; 實驗氣氛: 空氣、N2、CO2、不同比例N2/O2混合氣體; 載氣流量: 100 mL · min-1.
2.3 試樣
實驗中所用的污泥取自廣州市具有代表性的大型市政污水處理廠脫水污泥(S1)、廣州市開發區某大型污水凈化廠脫水污泥(S2)、東莞某印染廠脫水污泥(S3)、廣州某造紙廠脫水污泥(S4). 4種污泥的來源情況見表 1,可見這4種污泥的來源在污水成分、處理工藝及規模等方面都有較大的區別.
表1 污水處理廠基本情況及污泥來源
在壓濾污泥終端進行系統取樣,取回后的樣品放在陰涼通風處晾干后用粉碎機粉碎,粉碎后的污泥樣品轉移到瑪瑙研缽中研磨至所有成分過100目篩,然后在恒溫烘箱內于105 ℃干燥24 h. 實驗所采用污泥的元素分析、工業分析見表 2. 實驗主要以廣州市具有代表性的大型生活污水處理廠脫水污泥(S1)為主體,摻燒其他3種含工業廢水較多的污泥.
表2 污泥樣品的工業分析和元素分析
3 結果與討論
3.1 不同來源污泥混合燃燒TG-DTG熱重曲線分析
3.1.1 單一污泥的TG-DTG熱重曲線分析
考察了升溫速率為20 ℃ · min-1,空氣氣氛下4種單一污泥的TG-DTG曲線(圖 1). 由圖 1可見,污泥燃燒過程主要分為4個階段,包括自由水和結合水析出、揮發分析出和燃燒、揮發分和固定碳燃盡、殘留物燃燒和分解階段,其中揮發分析出和燃燒控制整個燃燒過程(熊思江等,2011). 以市政污泥S1為例,第一階段的溫度范圍是: 35~180 ℃,這是污泥中自由水和結合水析出的過程; 第二階段從180~400 ℃為揮發分(有機物)的析出和燃燒,主要是有機物的揮發與燃燒,是燃燒過程主要控制階段,這一階段中最大的燃燒速率出現在288 ℃左右; 400~650 ℃是揮發分和固定碳的燃盡,主要是未燃盡的有機物的碳化和固定碳的燃燒; 最后一階段650 ℃至最后是殘留物的燃燒和分解,主要是無機鹽類的析出和分解(高鑫等,2015). 從TG曲線看,S1與其他3種污泥相比,S1的最大失重率最小,污泥焚燒減量化最差,而S2減量化性能最好. 兩個市政污泥燃盡性能差別較大,可能與污泥成分有關. DTG曲線中4種污 泥揮發分的析出和燃燒峰出現的時間基本相同,說明兩種污水污泥的揮發分成分相似,另外S2、S4的揮發分析出速率比S1、S3要大的多,這可能與S2、S4揮發分含量較高有關. 污泥S2的揮發分2燃燒峰出現的最早,速率最大,而S1、S3、S4的析出時間基本相同,最大析出速率順序為S2>S1>S3>S4,說明污泥S2的有機物易碳化,有機物揮發燃燒比其他3個樣品快. S4在800 ℃左右還有一個比較明顯的揮發峰,可能與S4中含有較多的碳酸鹽類有關,在800 ℃的時候碳酸鹽分解揮發. S3和S4兩種工業污泥差別比較大,原因是兩種不同污水來源和處理工藝的不同,使得污泥的理化性質有較大差異(肖本益和劉俊新,2008).
圖1 4種不同來源單一污泥各自的TG和DTG曲線
3.1.2 不同來源污泥混燃的TG-DTG熱重曲線分析
重點考察了廣州具有代表性的市政污泥S1與其他3類不同來源污泥的混燃情況(圖 2). S1與污泥 S2混燃的TG-DTG見圖 2a和圖 2b,可以看到不同比例的混合曲線基本位于兩條單一樣品污泥曲線之間,并且混合曲線隨著S1混合比例增加,漸漸趨向于S1,兩個單一污泥DTG曲線揮發峰在混合污泥中都有體現. S1燃燒揮發峰小,燃燒性能差,并且隨著S1混合比例增加,混合燃燒性能也變差. TG曲線中污泥S1混合比例分別為80%、90%時,其最大失重率小于單一污泥S1,這可能是由于S1及S2同為市政污泥其理化性質相差較小,存在的交互作用較弱.
圖2 污泥S1分別與S2、S3、S4混合燃燒的TG-DTG曲線
市政污泥S1與印染污泥S3混合燃燒見圖 2c和2d. 兩個單一污泥燃燒TG曲線都位于混合曲線下方,污泥混合后反應向高溫區移動,反應時間滯后,其中S1與S3混合燃燒總失重率都小于S1和S3燃燒的失重率,表明混合燃燒沒有提高污泥的燃盡性能. 對比DTG曲線可見,混合后的DTG曲線形狀相似,第二個峰最大失重速率為0.46 mg · min-1,最大失重率比較接近,都大于單一污泥的燃燒速率,證明兩類污泥存在強烈的交互作用,對混合污泥燃燒影響較大. 市政污泥S1與工業污泥S3物化性質差異較大,S3的加入可以與S1產生交互作用并促進混合污泥的燃燒,并且燃燒形成了一些難以分解和揮發的物質,這從TG曲線最大失重率減少,可以得到證實.
對比TG-DTG曲線,市政污泥S1與造紙污泥S4混合的燃燒曲線(見圖 2e和2f)都在兩個單一曲線之間,4條混合污泥的曲線相互之間都很接近,兩種污泥的單一揮發峰都在混合曲線中有所體現. 在DTG最大峰值右邊有明顯的波動,揮發峰出現時間先后不一樣,與兩種污泥區別性質差異大有關; 相似的規律同樣出現在有機物燃盡和固定碳燃燒峰. 對比S1單獨燃燒,S4和混合試樣在800 ℃左右出現明顯的無機鹽類析出峰,隨著S1比例增大,明顯變小,可能是由于引起該峰的主要是S4樣品,隨著混合樣品中S4的比例變少,樣品中可揮發物質減少. 不同種類污泥混合燃燒,不同種類的污泥影響差異很大,相互之間影響大小與污泥的種類有很大關系(楊琳和冉景煜,2010).
為了更好說明各混合污泥的交互作用,本論文利用混煤燃燒交互作用算法(馬國偉等,2013)計算了污水污泥S1混合其他3類污泥的交互作用,求解結果見圖 3. 由圖 3可知,S1分別與S2和S4混合燃燒的交互作用相對較小,S1與S3混合燃燒交互作用較強,這表明實驗值與計算值曲線離異程度越大,則表明交互作用越強,這與前述結果一致.
圖3 不同類污泥混燃交互作用求解示意圖
3.1.3 不同氣氛對污泥燃燒的影響
分別在單一氣氛N2、CO2及不同O2含量N2/O2條件下,對市政污泥S1進行熱重實驗(見圖 4). 污泥S1熱解曲線(N2與CO2氣氛)在揮發分析出這一段基本是重合的,從DTG曲線可以看到在CO2條件下燃燒速率相對高一些,總的失重率基本沒有變化,表明其熱解過程雖然基本相似,但CO2氣氛更有利于污泥的熱解; 800 ℃后CO2還有一個比較明顯的失重峰,分析可能是有機物炭化后的未燃燒的固定碳在高溫條件下,被CO2氧化為一氧化碳變為氣體揮發出來. O2含量分別為30%和50%氣氛條件下的TG-DTG曲線見圖 5. 隨著O2濃度的升高,TG曲線向低溫區移動; 同時,DTG峰值更大,燃燒速率更快. 可見,氧濃度越高,反應進行得越快,有機物分解得越快,有利于反應的進行.
圖4 污泥S1分別在N2和CO2氣氛下TG-DTG曲線
圖5 污泥S1在不同O2濃度下TG-DTG曲線
3.1.4 不同升溫速率對污泥燃燒的影響
市政污泥S1在空氣條件下、升溫速率ф分別為10、20、25、30 ℃ · min-1的TG-DTG曲線見圖 6. 隨升溫速率從10、20、25、30℃ · min-1升至25℃ · min-1時,TG曲線向高溫區移動,升溫速率小的反應比較充分,揮發分析出的溫度更高,但最大失重率隨著溫度升高而減小. 從DTG曲線可以看到隨著升溫速率ф的增大,DTG曲線向高溫區移動,峰值增大,燃燒區間變寬,燃燒失重速率變大,燃燒更劇烈. 可見,升溫速率越高,反應進行得越快,揮發分析出越快. 但是污泥中有機質分解和燃燒需要一定時間,當升溫速率增加時,影響到試樣之間和試樣內外層之間的傳熱溫差和溫度梯度,部分產物來不及揮發而產生滯后現象,從而導致污泥整體熱滯后現象的加重,致使曲線向高溫一側移動,部分可燃質需在更高的溫度下逸出. 由于隨著升溫速率增大,TG曲線移動的距離越來越小,可見污泥焚燒存在一個最佳的升溫速率,這與揮發分析出特性指數單調遞增及增加速度減慢也是一致的.
圖6 不同升溫速率下污泥S1的TG-DTG曲線
3.2 不同來源污泥燃燒的綜合評價
3.2.1 揮發分釋放特性指數
在燃料燃燒過程中,揮發分的析出直接影響燃燒的著火溫度. 文中采用揮發分釋放特性指數D(陳建原和孫學信,1987)對試樣燃燒揮發分析出情況進行描述:

由表 3可以看出,污泥的揮發分釋放特性指數在0.65×10-8~5.05×10-8 mg · K-3 · min-1之間,小于煤的揮發分釋放特性指數(聶其紅等,2001),其中隨著升溫速率的提高,瀝滘污泥S1的著火點變高,要在更加高的溫度下才可以著火,相反的污泥的揮發分析出越來越好,揮發分特性指數單調遞增. 4種不同來源污泥的著火點S1最低,但揮發特性指數最小,S1容易著火燃燒,但揮發性能不佳; 污泥S2最大揮發速率最高,含揮發分最多; 印染污泥S3的揮發分釋放特性指數最高,燃燒性能最好. 考察混合污泥燃燒發現,S1與S2混合燃燒時,著火點和最大失重速率相似,并沒有隨著比例改變發生較大的改變,揮發分釋放特性指數波動性變化,說明這兩種污泥混燃時的交互作用受混合比例的影響較大. 污泥S1與工業污泥S3混合燃燒的揮發分釋放特性指數隨著S1混合比例的增大而增大,這是由于S1的著火點較低,揮發性差,混合燃燒的交互作用隨著S1含量增大而增大. S1與S4混合燃燒著火點隨著S1比例增大而降低,與S3相反揮發特性指數D隨著S1比例增大而減小,揮發特性指數向S1靠近,揮發性能下降; S1混合不同污泥,揮發特性影響差異較大,證明不同類型的混合污泥揮發性能并不一樣以混合比例為5:5考慮,污泥S1混合污泥S2后其揮發特性最好.
表3 不同來源污泥混合燃燒的揮發分釋放特性指數
3.2.2 燃盡指數
本文將試樣失重占總失重的98%時對應的溫度定義為燃盡溫度Th.燃盡特性是表征可燃物燃燒性能的一個重要指標,用燃盡指數Cb(聶其紅等,2001)來描述工業污泥的燃盡特性,可定義如下:

式中,f1為TG曲線上著火點對應的試樣失重量與試樣中可燃質含量的比值; 將試樣燃燒失重從開始到燃燒98%可燃質的時間定義為燃盡時間τ0,τ0時刻所對應的試樣失重量與試樣中可燃質含量的比值定義為總燃盡率f,則后期燃盡率f2=f-f1. 其中,f1反映了揮發分相對含量、污泥著火特性的影響,f1越大,污泥可燃性越佳; f2反映了污泥中碳的燃盡性能,與含碳量、碳的存在形態等特性有關,f2越大,污泥的燃盡性能越佳. 由表 4可見污泥S1的燃盡指數隨著升溫速率提高而降低,不利于污泥減量化,同時初期燃盡率f1上升,有利于污泥燃燒. 不同來源污泥燃盡指數排序為S1>S3>S2>S4,初期燃盡率f1排序為S3>S1>S2>S4,說明S3可燃性最好,S1的燃盡特性最好. S1與其他3種污泥混燃的初期燃盡率f1基本都是隨著S1添加比例提高而增大,可燃性變好,同樣燃盡指數變大,燃盡性能越好. 混合比例為5/5的混合污泥的燃盡指數大小依次為S1+S2>S1+S3>S1+S4,說明市政污泥S1與污泥S2混燃的可燃性與燃盡參數最佳.
表4 不同來源污泥混合燃燒的燃盡指數


3.2.3 可燃性指數
為全面評價污泥的燃燒穩定性情況,采用可燃性指數C(胡勤海等,2008;)來表征試樣的整體燃燒特性.
式中,Ti為著火溫度(著火點溫度)(K);(dw/dT)max 為最大燃燒速率; C越大表明試樣的燃燒著火穩定性能越好. 如表 5所示,市政污泥S1隨著升溫速率提高,可燃性指數增大,燃燒越穩定; 單一污泥燃燒穩定性順序為: S4>S1>S2>S3,造紙S4燃燒最穩定. S1與S2混合的樣品,燃燒穩定性隨著S1含量增大而變差; S1與S3混合的樣品,燃燒穩定性隨著S1含量增大而變好. 不同種類污泥混燒的穩定性并不一樣,污泥S1與污泥S2混合可燃性指數最高,燃燒最穩定,而造紙污泥及印染污泥燃燒性能較差. 由于污泥焚燒爐必須要考慮進料及其燃燒的穩定性,而不同來源污泥混燃其穩定性差異較大,因此考慮不同種類污泥混燒對焚燒爐的設計有重要意義.
3.2.4 綜合燃燒特性指數
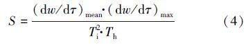
為全面評價試樣的燃燒情況,采用綜合燃燒特性指數S(胡勤海等,2008;沈伯雄等,2000)來表征試樣的整體燃燒特性:
式中,(dw/dτ)max為最大燃燒速率(mg · min-1);(dw/dτ)mean為平均燃燒速率(mg · min-1),其值越大,表明燃盡越快; Th燃盡溫度試樣失重占總失重98%時對應的溫度(K). 綜合燃燒特性指數S全面反映了試樣的著火和燃盡性能(mg2 · K-3 · min-2),S越大說明試樣的綜合燃燒性能越佳.
由表 5可見,隨著升溫速率提高,平均燃燒速率和綜合燃燒指數S單調遞增,4種單一污泥綜合燃燒指數S排序為: S2>S4>S1>S3,說明S2的綜合燃燒性能最好. 以混合比例9/1為例,混合污泥的S排序為S1+S2>S1+S4>S1+S3,兩種市政污泥S1與S2混合燃燒效果最好. 當S1污泥中添加造紙污泥S4后,混合樣的綜合燃燒特性指數高于S1單獨樣,而摻燒S3結果相反,可見焚燒過程中不同類型的污泥混合后,其S差別較大. 向S1污泥中添加其他類污泥時,以S4為例,隨著S1含量增加反而降低其燃燒性能,可能是因為兩者含量慢慢接近時,交互作用增強,有利于燃燒的進行. 因此,不同種類污泥混燃的比例也是焚燒的重要考慮因素.
表5 不同來源污泥混合燃燒的可燃性指數與綜合燃燒特性指數

3.3 污泥混燃動力學模型
每個試樣的燃燒實驗可以認為是一系列揮發分釋放、燃燒的綜合行為,它們的活化能符合以下動力學方程(陳鏡泓和李傳儒,1985):

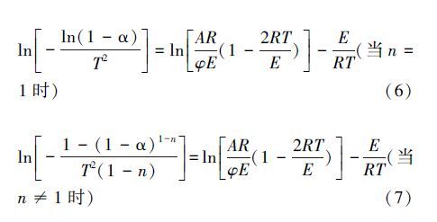
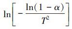
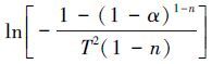
式中, α為熱解轉化率,%,E活化能(J · mol-1); A為頻率因子(min-1),R為氣體常數,8.314 J · mol-1 · K-1,T為反應溫度,f(x)為與燃燒機理相關的函數. 經過整理得到:

,對于本實驗中反應溫區及大部分E值而言,的值近似看做常數,令b=- E/R,X= 1/T,Y=
(n=1),Y=
(n≠1). 則有,Y= +bX.以不同的反應級數n帶入試探求解,并進行線性擬合,數據的擬合線性越好,則反應機理函數選擇越恰當,由直線的斜率可求得活化能E.
假設混合試樣等由3部分物質(即揮發分1、揮發分2和固定碳)組成,從污泥及其混合物燃燒的宏觀動力學角度,把失重過程的3個階段與3個相互獨立的、連續的、平行反應相對應,各部分物質在升溫過程中單獨進行反應(溫俊明等,2004). 在實驗數據的處理過程中發現,無論是單步反應還是多步反應,在每步反應中,DTG峰值兩側的反應機理一般不可能相同. 本研究中將試樣DTG曲線中燃燒速率較大的揮發分1、揮發分2及固定碳失重峰峰值前后采用不同的燃燒機理模型來描述. 在升溫速率為20 ℃ · min-1,空氣條件下以S1樣品第一揮發峰峰后為例擬合,分別在不同的反應機理下將峰前峰后橫、縱坐標數據代入,并進行線性擬合(n分別取0.5、1、1.5、2),以可決系數R2最大來確定反應曲線方程和活化能E,其燃燒動力學方程圖解和動力學參數圖解見圖 7、圖 8
圖7 S1污泥第1析出峰燃燒動力學方程圖解
圖8 S1污泥第1析出峰燃燒動力學方程擬合曲線
在燃燒動力學參數中,活化能E是一個非常重要的參數,它代表反應物的分子由初始穩定狀態變 為活化分子所需要吸收的能量,活化能比著火點更 能從本質上描述試樣的著火性能. 按照上述方法可得,每個樣品的峰前、峰后反應級數都不一樣,各自的反應動力學差異較大. 各階段擬合方程的可決系數在0.8469~0.9999之間,線性比較好,說明最終確定的各個試樣的反應級數比較合理,動力學參數的求解結果見表 6. 由表 6可知,試樣在燃燒峰前的活化能通常比燃燒峰后的活化能小,燃燒反應峰前通常是反應由易變難的過程,而峰后則是反應由易變難的過程.同時低溫段的活化能也比高溫段的活化能小,這與污泥難揮發有機物在高溫燃燒結果是一致的.
表6 污泥燃燒時的動力學參數









本文同時采用(Cumming,1984)提出的質量平均表觀活化能Em的概念和計算方法計算燃燒反應總體的表觀活化能,Em的定義如下:
式中,E1~En為各反應區段的表觀活化能; F1~Fn為各反應區段的燃燒質量損失份額.對比不同升溫速率污泥S1表觀活化能,隨著升溫速率提高,表觀活化能也減小,這與污泥TG-DTG曲線向高溫區移動是一致的. 從單一污泥的燃燒所得的活化能可以看出,印染污泥S3燃燒過程的質量平均表觀活化能Em最小,污泥S1的質量平均表觀活化能Em最大. 對于混合試樣的燃燒來說,S1與其他3種污泥混燃的活化能均有所下降,活化能減少,燃燒更加容易進行. S1與S2混燒時,隨著S1含量的增加,其混合樣活化能逐漸減少,這與S1和S2之間產生的交互作用有關. 相反的是S1與S4混燃后,混合樣平均活化能有所增加,燃燒進行緩慢,可能是S1所需活化能高、相互之間的交互作用很弱的緣故.具體參見污水寶商城資料或http://m.dongaorq.cn更多相關技術文檔。
4 結論
1)不同來源污泥整個燃燒過程可分為4個階段,不同來源污泥焚燒特性差異較大,其燃燒特性受污水來源、處理工藝和污泥種類有關,其中揮發分的析出和燃燒階段制約著污泥的整個燃燒過程.
2)不同來源及摻燒比例影響污泥的摻燒特性,其中市政污泥S1混合S2污泥后,其綜合燃燒性能顯著提高,而污泥S1與印染污泥及造紙污泥混合后,其綜合燃燒指數有下降趨勢.
3)隨著升溫速率增加,污泥的揮發特性指數D及綜合燃燒指數S都有所增加,而燃盡指數C下降; 提高升溫速率和O2濃度都可以改善混合污泥的綜合燃燒性能.
4)污泥S1混合污泥S2后,其混合樣的活化能E降低最多,而S1與印染污泥及造紙污泥分別混合后,活化能下降不明顯,說明同類別污泥混燃其反應更加容易進行,這與混合污泥的綜合燃燒特性指數變化規律一致.



