1 引言
氫(δD)、氧(δ18O)穩定同位素是廣泛地存在于自然水體中的環境同位素.自然水體通過蒸發、凝聚、降落、滲透和徑流等形成水分的循環,且在水分循環過程中產生同位素分餾現象,即較輕的同位素(1H和16O)會先蒸發到氣相中,同時較重的同位素(2D和18O)則先凝結到液相.降水是水循環過程中的一個重要環節.大氣降水中氫(δD)、氧(δ18O)穩定同位素組成及分布主要受到蒸發和凝結作用的制約,當云中的水蒸汽冷凝形成雨滴時,18O和D不斷由潮濕的空氣中優先冷凝,當降水不斷進行,降水中中重的18O和D不斷被淋洗,則表現為降水中δD和δ18O逐漸貧化.大氣降水中穩定同位素組成及分布與產生降水水汽來源的初始狀態及水汽輸送過程發生的變化密切相關,同時,降水中氫氧同位素存在著大陸效應、溫度效應、降水量效應和緯度效應等.不同時間和區域大氣降水的同位素發生有規律的變化,因此,國內外學者常借助降水中氫氧穩定同位素變化來研究水汽的來源地域、水循環過程的歷史信息、天氣氣候特征等.早在1961年,世界氣象組織WMO和國際原子能機構IAEA就已建立全球大氣降水同位素觀測網絡,開始對大氣降水中同位素組成進行觀測,為研究全球和局地大氣環流及循環的機制提供同位素資料數據.我國對降水中氫氧同位素的研究起步較早,大量的研究對大氣降水穩定同位素組成與溫度、降水量、蒸發等因素進行了探討分析并建立降水線方程,如我國較干旱的東北地區、西北內陸地區及華北地區,較濕潤的西南地區、華東地區和華南地區,這些基礎數據為研究水循環特征提供了依據.HYSPLIT后向軌跡模型主要用于降水水汽源的模擬和分析,確定各水汽源的來源和輸送路徑,特別是基于聚類分析的結果具有較好的可信性,可用于確定不同水汽輸送路徑的權重比例.
廈門地處東南沿海地區,是典型的亞熱帶季風氣候區.雖已有學者對廈門島內大氣降水的同位素分布特征及同位素值與溫度、降水量等影響因素的關系進行了比較深入的探討,積累了重要的原始數據基礎,然而觀測點主要局限于廈門島內單個點,對于整個廈門地區的降水同位素情況了解不夠全面.此外,對于降水水汽來源及輸送路徑缺乏模型模擬的分析,而關于水汽來源及輸送路徑所占的權重比例研究更是未見報道.因此,本研究同步采集廈門地區6個站點的典型月份降水來分析其降水中氫(δD)、氧(δ18O)同位素值的變化特征,同時,利用測定的降水中δD和δ18O基礎數據建立廈門地區大氣降水線方程,并分析年尺度和月尺度下降水中穩定同位素值與降水量之間是否存在顯著的“降水量效應”.同時,采用HYSPLIT后向模型模擬廈門地區的水汽來源及輸送路徑,并基于聚類分析的結果探討不同水汽輸送路徑的權重比例.
2 材料與方法
2.1 監測布點
本研究在廈門地區共設立6個雨水監測點(圖 1),分別為海滄新陽工業區(縮寫XY)、翔安混合區(縮寫XA)、洪文商住混合區(縮寫HW)、鼓浪嶼商住混合區(縮寫GLY)、坂頭水庫區(縮寫BT)、小坪森林公園(縮寫XP).其中,坂頭水庫區和小坪森林公園為自然保護區,鼓浪嶼作為廈門市重要的旅游區.
圖1 廈門地區大氣降水采樣點分布圖
2.2 樣品的采集與貯存
降水樣品的收集采用智能降水采集器(ZJC-Ⅱ型,杭州恒達公司生產)自動搜集降雨.若一天中有幾次降水過程,可合并為一個樣品測定;若遇連續幾天降雨,則收集當日上午8:00至次日上午8:00的降水,即24 h降水樣品作為一個樣品進行測定.為避免干沉降的影響,降水結束后0.5 h內立即取回.采集的樣品移入潔凈干燥的聚乙烯塑料瓶中,密封保存.樣品帶回實驗室后立即經0.45 μm的混合纖維素濾膜過濾后置于4 ℃冰箱保存待測.所有樣品在10 d內完成從采樣到分析的全過程.
根據廈門沿海地區氣象條件的特點,選取采樣期降水量多的月份、并且可代表各個季節的典型月份.其中,以2012年12月、2013年4月和7月分別代表冬季、春季和夏季,在6個站位共收集到60個降水樣品.
2.3 樣品的分析
降水中氫氧同位素值的測定采用穩定同位素質譜儀(ThermoFisherTM MAT 253)、元素分析儀(ThermoFisherTM Flash 2000)和Con FloⅣ連續流模式同位素質譜儀聯用.分析過程中采用手動進樣,將0.1 μL降水樣品注入裂解爐,在高溫下形成的水蒸氣與填充于裂解爐內的玻璃碳粒在1400 ℃下發生還原反應,形成的H2和CO混合氣在He載氣(流速100 mL · min-1)的攜帶下,通過柱溫90 ℃、內填0.5 nm分子篩的氣相色譜柱分離,然后依次通過Con Flo Ⅳ導入穩定同位素質譜儀的離子源內,實現單次分析中順序同時測定δD和δ18O.樣品的標準樣品為國際標樣SMOW(標準平均大洋水),樣品測試一定量間隔插入標準樣品的測試,用于檢測儀器是否穩定,偏差在5%以內可繼續進行樣品分析.測量精度δD為±0.3‰,δ18O為±0.1‰.
2.4 軌跡模式簡介
本文中氣團軌跡模型采用美國海洋大氣研究中心空氣資源實驗室開發的HYSPLIT.模型所使用的氣象資料來自美國國家環境預報中的全球再分析資料,可在ftp://arlftp.arlhq.noaa.gov/pub/下載.通過HYSPLIT后向軌跡追蹤模式來追蹤廈門地區大尺度上水汽輸送路徑,模式分別計算春季、夏季和冬季降水期間每天00:00、06:00、12:00和18:00到達廈門地區的氣團軌跡,既可覆蓋連續性降水,也可提高追蹤水汽來源路徑的精確性,并進行聚類分析計算出每組輸送路徑的比例權重.
3 結果與分析
3.1 大氣降水δD和δ18O的分布特征
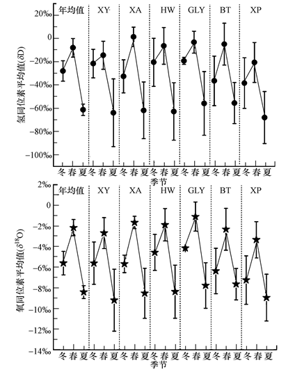
圖 2為廈門地區大氣降水氫氧同位素的季節性分布圖.廈門地區大氣降水δD和δ18O的波動范圍較大,δD在-93.61‰~16.14‰范圍內波動,平均值為-32.29‰±26.69‰,而δ18O在-11.98‰~0.29‰范圍內波動,平均值為-5.40‰±3.13‰.研究表明,我國大氣降水δD的范圍為-190‰~ 20‰,δ18O的范圍為-24‰~2.0‰.與之比較,廈門地區大氣降水的δD和δ18O均落在我國大氣降水δD值和δ18O值的范圍內.1998年廈門島內大氣降水δD值為-108‰~-3.0‰,δ18O值為-14.87‰~-2.17‰,而2004—2006年廈門島大氣降水δD值為-74.7‰~7.3‰,δ18O值為-10.30‰~-0.13‰.比較可知,本文研究期間廈門地區降水中δD和δ18O變化幅度(分別為109.75‰和12.27‰)與1998年廈門島降水中δD和δ18O的變化幅度(分別為106‰和12.7‰)高度一致,且均高于2004—2006年間廈門島降水中δD和δ18O的變化幅度(分別為82‰和10.7‰),反映出本文研究期間和1998年研究期間廈門地區可能經歷了極端氣候的影響(如2013年的超級臺風“蘇力”和熱帶風暴“西馬侖”,1998年的第10號臺風).
圖2 大氣降水δD和δ18O的分布
廈門地區冬、春、夏3個季節δD值分別為-27.83‰±8.77‰、-7.86‰±8.07‰和-61.17‰±4.85‰;而冬、春、夏3個季節δ18O值分別為-5.62‰±1.14‰、-2.18‰±0.80‰和-8.42‰±0.62‰.廈門地區6個采樣點δD值和δ18O值均表現出顯著的季節性差異,不同采樣點降水的δD和δ18O值均表現出春季最高,而夏季最低.廈門地區大氣降水的氫氧同位素值呈現出顯著的季節特征,這種季節特征主要受到兩個方面的影響:一是大尺度上的水汽來源,包括水汽的蒸發來源和水汽在輸送過程中同位素所發生的變化;另一方面是區域性的地理因素,其中,包含了溫度、降水量、相對濕度、采樣點等各項因素的共同作用.研究表明,廈門地區季節變化的主要決定性因素應是季風氣候的影響.因此,本文首先利用HYSPLIT模式來模擬廈門地區春、秋和冬季降水期間水汽的輸送情況,勾畫大氣氣團在一定時間內的運動路徑,從而判斷降水水汽的來源和輸送途徑.后向軌跡聚類圖(圖 3)中,線條的指向表示水汽的來源,線條的起伏波動表示水汽輸送的路徑,線條的百分比表示該水汽輸送路徑占總的輸送路徑的比重.
3.2 后向軌跡分析降水水汽的來源
看廈門地區不同降水期間的后向軌跡圖.根據后向軌跡的聚類分析,廈門地區夏季降水期間的氣團均來自溫暖濕潤的低緯度地區,主要是南海(36%)和西太平洋地區(64%),其具有濕度大、蒸發較弱的特點.海洋濕潤氣團在向大陸移動過程中,沿途氣團中的重同位素受到較強的沖刷作用,使得其降水同位素值越來越貧化.由這兩類氣團帶來的大量降水導致了廈門地區夏季降水的δD和δ18O值最低(分別為-61.17‰±4.85‰和-8.42‰±0.62‰).衛克勤指出,臺風中心經過的地區常有大暴雨或特大暴雨,由于氣團長距離遷移和降水量效應(即降水中穩定同位素比值與降水量之間存在顯著的負相關關系)導致臺風雨δ值相當低.2013年7月13日和7月19日,廈門地區先后受到超級臺風“蘇力”和熱帶風暴“西馬侖”的影響,由于該類氣團本身的同位素值偏低并且伴隨著大量的降水,因此,該時間段δD和δ18O值表現為全年最低值.“蘇力”臺風影響期間,廈門地區δD和δ18O最低值分別為-49.86‰和-10.06‰(坂頭),而熱帶風暴“西馬侖”影響期間,δD和δ18O最低值分別為-86.01‰和-11.45‰(坂頭).受此類水汽影響,廈門地區夏季δD值(-61.17‰±4.85‰)和δ18O值(-8.42‰±0.62‰)偏低,遠低于冬季和春季的δD和δ18O值.
廈門地區冬季降水期間有部分受到來源于北方亞洲大陸的氣團輸送(4%來自哈薩克斯坦).這一氣團經我國蒙古及華北地區,不經濕潤的海域直接到達研究區域,氣團輸送過程中,由于氣團干燥,蒸發作用強烈而產生同位素富集,使得蒸發水汽中同位素值偏高;另外,來自西部近地源(華中地區82%)的氣團及14%來自俄羅斯的氣團在傳輸過程中先進入東海海域再到達研究區域,從海上帶來的較為濕潤的水汽對冬季降水同位素值偏低作出貢獻.廈門地區冬季δD值(-27.83‰±8.77‰)和δ18O值(-5.62‰±1.14‰)并未表現為年最高值,而低于春季的δD和δ18O值,說明帶來低值同位素降水的水汽比帶來高值同位素降水的水汽貢獻大.
春季降水期間氣團來源較為復雜多樣,有來自于俄羅斯(19%)和我國華北地區(52%)濕度低的冷空氣,也有來自于南海及南亞國家濕潤氣團(28%)的貢獻.春季廈門有一場降水的δD和δ18O值最高,分別為δD=5.782‰,δ18O=-0.929‰.廈門地區觀測期間受到內陸(西北內陸及俄羅斯)冷氣團的影響,由于其空氣濕度較小,局地蒸發較快,因而降水中重同位素δD和δ18O富集,導致降水中同位值偏高.廈門地區春季(4月份)降水中同位素值最高,這與蔡明剛的研究結果是一致的.春季同位素值的偏高除了與水汽來源有關,還與雨水在下降過程中受到強烈的二次蒸發作用導致重同位素富集影響有關.
廈門地區6個采樣點降水的δD和δ18O值春季和夏季無明顯的時空分布規律,而冬季表現出隨地理位置由北至南逐漸富集的現象(具體地理位置分布見圖 1),即δXP<δBT<δXA<δXY<δHW<δGLY.由圖 3后向氣團軌跡圖可知,冬季影響廈門地區降水氣團相對來說較為單一,以內陸的干冷空氣為主,因此,局部的地理因素是冬季δD和δ18O值空間規律性的主要影響因素,其中包括氣象要素(如降水量、氣溫、濕度等)及經緯度、海拔高度、采樣點的選擇等.
3.3 廈門地區大氣降水線
圖 4為廈門地區大氣降水線.由于水在蒸發和凝結過程中的同位素分餾,使大氣降水的δD和δ18O之間存在著線性關系,這一關系用最小二乘法表示,即為大氣降水線方程.大氣降水線可以較好地反映某一地區的自然地理和氣象條件,在解決氣候變遷和水汽來源等方面具有明顯的優勢.由圖 4可知,廈門當地大氣降水線方程為δD=8.35δ18O+12.52,與Yurtsever提出的全球降水線方程(δD=8.17δ18O+10.56)近似.廈門地區降水線方程的R2=0.906,表明廈門地區降水的δD和δ18O值有顯著的相關性.表 1為國內城市降水線方程匯總表.本文研究期間廈門地區大氣降水線方程與蔡明剛和陳錦芳等的方程相比較,截距及斜率略有偏高.但仍可發現,本次降水線與蔡明剛等的研究結果吻合度較高,這可能與兩次研究期間,廈門地區均受到臺風帶來的強降水作用有關,而陳錦芳等研究期間,臺風/熱帶風暴的影響相對較弱.
圖4 廈門地區大氣降水線
由于雨滴在降落過程中受到不平衡的二次蒸發作用而引起同位素分餾,降水中同位素值相應地會因蒸發而偏離全球大氣降水線/全國大氣降水線,從而表現為斜率及截距變小的當地大氣降水線.空氣相對濕度越低的地區,不平衡蒸發作用越強烈,則大氣降水線的斜率和截距越小.由表 1可知,區域分布上,我國大氣降水線總體表現為南方地區(主要包括華東、華南和華中地區)大氣降水線的斜率及截距大于全球大氣降水線/全國大氣降水線的斜率及截距,而北方地區(主要包括東北、華北地區)則相反,反映出南方地區空氣濕潤多雨,北方地區干燥少雨的特點.位于濕潤多雨的華南地區的廈門,在本文研究期間及1998年研究期間大氣降水線的斜率和截距均高于全球大氣降水線,而2004—2006年研究期間在受到二次蒸發作用的影響,大氣降水線也有表現為斜率和截距低于全球大氣降水線的情況.
表1 我國主要城市的降水線方程
|
地區 |
地區/城市 |
大氣降水線 |
數據來源 |
參考文獻 |
|
全球 |
全球 |
δD=8.17δ18O+10.56 |
GNIPa |
Yurtsever,1975 |
|
全國 |
全國(1980年) |
δD=7.9δ18O+10.56(r=0.977) |
手動采樣 |
鄭淑蕙等,1983 |
|
東北 |
東三省 |
δD=7.20δ18O-2.39(R2=0.96) |
GNIP |
李小飛等,2012 |
|
|
吉林省-松遼平原 |
δD=7.03δ18O-4.38(r=0.986) |
/ |
王鳳生,1995 |
|
|
吉林省-長白山 |
δD=7.77δ18O+9.11(r=0.956) |
/ |
王鳳生,1995 |
|
華北 |
天津(1988—2001年) |
δD=7.70δ18O+8.70(R2=0.9244) |
GNIP |
鄧文平等,2012 |
|
|
石家莊(1985—2003年) |
δD=6.81δ18O-1.42(R2=0.8826) |
GNIP |
鄧文平等,2012 |
|
|
太原(1986—1988年) |
δD=6.42δ18O-4.66(R2=0.9450) |
GNIP |
鄧文平等,2012 |
|
|
包頭(1986—1992年) |
δD=6.42δ18O-4.07(R2=0.9688) |
GNIP |
鄧文平等,2012 |
|
|
北京(2011年7—8月) |
δD=5.99δ18O-9.07(R2=0.9223) |
手動采樣 |
鄧文平等,2012 |
|
西北 |
西北干旱地區(2005—2006年) |
δD=7.42δ18O+1.38(R2=0.96) |
CHNIPb |
Liu et al., 2009 |
|
|
西安(1985—1993年) |
δD=7.49δ18O+6.13(r=0.958) |
GNIP |
張俊輝,2015 |
|
|
寧夏銀川(1988年1月—1991年12月) |
δD=8.08δ18O+14.13(r=0.99) |
GNIP |
章新平等,1998 |
|
|
平涼(2003—2004年) |
δD=8.10δ18O+6.97(R2=0.98) |
GNIP |
黃錦忠等,2015 |
|
|
拉薩(1986—1999年) |
δD=8.08δ18O+12.37(R2=0.98) |
GNIP |
黃錦忠等,2015 |
|
|
烏魯木齊(1986—2003年) |
δD=6.98δ18O+0.438(R2=0.93) |
GNIP |
黃錦忠等,2015 |
|
西南 |
貴陽(1988—1992年) |
δD=8.82δ18O+22.07(R2=0.98) |
GNIP |
朱磊等,2014 |
|
|
云南騰沖(2009年1月—2011年12月) |
δD=8.18δ18O+11.72(r=0.99) |
手動采樣 |
李廣等,2013 |
|
|
重慶(2006年5月—2008年9月) |
δD=8.73δ18O+15.73(r=0.97) |
手動采樣 |
李廷勇等,2010 |
|
|
四川成都(1986—1998年) |
δD=7.53δ18O+1.42(r=0.97) |
GNIP |
吳旭東,2009 |
|
|
四川黃龍(2010年5—11月) |
δD=7.64δ18O+6.17 |
手動采樣 |
王海靜等,2012 |
|
華中 |
湖南長沙(2010年) |
δD=8.33δ18O+16.4(r=0.985) |
手動采樣 |
吳華武等,2012 |
|
|
湖北宜昌(2009年5—10月) |
δD=8.45δ18O+11.55(r=0.988) |
手動采樣 |
武亞遵等,2011 |
|
華南 |
香港(1988年1月—1991年12月) |
δD=8.19δ18O+12.05(r=0.99) |
GNIP |
章新平等,1998 |
|
|
廣西桂林(2010年) |
δD=8.87δ18O+15.49(r=0.98) |
手動采樣 |
吳夏等,2013 |
|
|
海南?(1988年1月—1991年12月) |
δD=7.89δ18O+11.04(r=0.99) |
GNIP |
章新平等,1998 |
|
|
廣州(2007—2009年) |
δD=8.46δ18O+15.0 |
手動采樣 |
Xie et al., 2011 |
|
華東 |
江蘇南京(1988年1月—1991年12月) |
δD=8.43δ18O+17.46(r=0.98) |
GNIP |
章新平等,1998 |
|
|
福州(1988年1—1991年12) |
δD=8.84δ18O+16.49(r=0.98) |
GNIP |
章新平等,1998 |
|
|
廈門(廈門大學)(1998年1月—1998年10月) |
δD=8.16δ18O+10.68(r=0.996) |
手動采樣 |
蔡明剛等,2000 |
|
|
廈門(廈門大學)(2004年4月—2006年4月) |
δD=7.67δ18O+7.68(r=0.9876) |
手動采樣 |
陳錦芳等,2010 |
|
|
廈門(6個采樣點)(2012年8月—2013年8月) |
δD=8.35δ18O+12.52(R2=0.906) |
手動采樣 |
本研究 |
|
注:a.全球降水同位素監測網,Global Network of Isotopes in Precipitation,縮寫GNIP;b.中國大氣降水同位素觀測網絡,Chinese Network of Isotopes in Precipitation,縮寫CHNIP. | ||||
我國地域遼闊,氣候類型復雜多樣,大氣降水中氫氧同位素及大氣降水線常出現一些特別的例子.如干旱、半干旱的西北地區,大氣降水線總體表現為斜率及截距都低于全球大氣降水線(表 1),然而平涼、拉薩和銀川(表 1)的大氣降水線的斜率和截距高于全球大氣降水線的斜率和截距,表明這些地區在形成降水的過程中受到溫度、蒸發等因素的影響.在形成降水的水汽經過多次蒸發,分子質量小的氫同位素比分子質量大的氧同位素的分餾速度快,因此,在其他條件相同的情況下,降水中δD偏重的程度大于δ18O,表現為這些地區降水的斜率和截距都偏大.濕潤溫暖的西南地區,大氣降水線的斜率及截距總體高于全球大氣降水線(如表 1中西南地區的云南騰沖和重慶),然而位于四川盆地的成都和黃龍大氣降水線的斜率及截距表現為低于全球大氣降水線的斜率和截距,這與四川盆地的地理位置有關.四川盆地地處西風帶越過青藏高原后的背風區,盆地內的降水水汽主要來源于地表水的蒸發,所以降水中δ18O偏正,大氣降水線的斜率和截距也就偏小.
3.4 大氣降水中氘剩余值
圖 5為廈門地區降水氘剩余值變化趨勢,其中,氘剩余值(d值)用方程d=δD-8δ18O來表示.d值的大小相當于某一地區降水線斜率ΔδD/Δδ18O為8時的截距,可直觀地反映該地區大氣降水蒸發、凝結過程的不平衡程度.一般而言,降水水汽來源于空氣相對濕度越低的干燥地區,其不平衡蒸發越強烈,d值越高;而相對濕度越大的濕潤地區,蒸發作用小,d值則越小.由圖 5可知,廈門地區d值波動范圍較大,在-5.13‰~32.25‰范圍內變化,說明廈門地區降水的水汽來源較為多樣,降雨條件較為復雜.廈門地區降水的d值的平均值為10.95‰±1.77‰,略高于全球d平均值(10‰).總體上,廈門地區全年d平均值表現為冬季最高,春季次之,夏季最低,甚至出現負值.綜合HYSPLIT軌跡模型的分析,廈門地區d值出現夏低冬高的規律,主要與其水汽來源有關,夏季的水汽氣團主要來自西太平洋和南海濕潤地區,來自這些地區的氣團濕度大、蒸發弱,則d值較低;而冬季則來自于干燥的亞歐大陸、俄羅斯地區,此外還有近地源(華中地區)的影響,來自這些地區的氣團濕度小、蒸發大,則d值較高.由圖 5還可知,春季降水d值在部分采樣點(如XY和GLY)表現出較低值,這可能與春季有一場來自于南海濕潤地區氣團貢獻的降水有關(圖 3).理論上,大尺度的水氣循環中,廈門地區6個采樣點受到相同的水汽源的影響,應表現為相同的d值,而圖中表現為不同采樣點相同季節d值的差異.這與不同采樣點周圍環境的差異(如濕度、溫度)導致其影響水汽二次蒸發的程度不同,從而表現為不同采樣點相同季節d值的差異.
圖5 廈門地區降水氘剩余值變化趨勢
3.5 大氣降水量和同位素值相關性
圖 6為廈門地區大氣降水量與同位素值的相關性分析結果.廈門地處東南沿海地區,受季風氣候的影響較大.大量的研究表明,廈門地區由于受季風氣候影響很大,降水量效應顯著,掩蓋了溫度效應,即溫度效應不明顯,而降水量效應明顯,因此,本研究只對降水量與同位素的關系進行探討.由圖 6可知,年尺度下,廈門地區氫氧同位素與降水量呈顯著負相關關系(r分別為-0.477和-0.369,p<0.01),即降水量效應.這種現象首先與廈門地處東南沿海地區,降水的水汽受到來自海洋的氣團影響較大有關,海洋氣團具有濕度大、蒸發弱、降水量大、氫氧同位素組成相對較低的特點;此外,廈門地區全年溫度變化小、相對濕度大、降水量大,降水過程中空氣飽和差容易得到補償,隨著降水的持續,余地蒸發濃縮作用不明顯,導致降水同位素組成偏低.而廈門地區7月份降水量與δD值相關性不顯著,而降水量與δ18O呈顯著的正相關關系(r=0.716,p<0.05).這種月、季尺度出現氫氧同位素和降水量不呈負相關的現象在南京地區(王濤等,.2013)和華北地區等地均出現過.由于本文降水中氫氧同位素值是基于日降水所得的觀測數據,因此,更易受到風速、大氣穩定度、濕度及水汽來源等短期天氣因素的影響,從而表現出反降水量效應的現象.
圖6 大氣降水量與δD、δ18O值的相關性
4 結論
1)廈門地區大氣降水中氫氧同位素組成具有明顯季節性差異,其中,夏季降水中氫氧同位素最為貧化,春季降水氫氧同位素相對偏正.這種季節性差異與廈門地區水汽來源有重要的關系,夏季降水氣團主要來自于濕潤溫暖的西太平洋和南海,而春季的氣團主要來自于寒冷干燥的亞歐大陸、俄羅斯及我國華北地區.說明水汽來源是影響廈門地區大氣降水穩定同位素組成的最重要原因.
2)廈門當地大氣降水線方程為δD=8.35δ18O+12.52,截距及斜率相較于全球大氣降水線(δD=8.1718O+10.56)和全國大氣降水線(δD=7.9δ18O+10.56)均略有偏高.匯總我國大氣降水線,總體表現為南方地區(主要包括華東、華南和華中地區)大氣降水線的斜率及截距大于全球大氣降水線,而北方地區(主要包括東北、華北地區)則相反,反映出南方地區空氣濕潤多雨,北方地區干燥少雨的特點.廈門位于濕潤多雨的南方地區,大氣降水線一般表現為斜率及截距高于全球大氣降水線,在受到二次蒸發作用的影響大氣降水線也有表現為斜率和截距低于全球大氣降水線的情況.
3)廈門地區d值波動范圍較大,在-5.13‰~32.25‰范圍內變化,說明廈門地區降水的水汽來源較為多樣,降雨條件較為復雜.總體上,廈門地區降水中d值表現為夏季低,冬季偏高,這與夏季降水氣團來源于較濕潤地區,冬季則相對干燥有關.具體參見污水寶商城資料或http://m.dongaorq.cn更多相關技術文檔。
4)年尺度下,廈門地區氫氧同位素與降水量呈顯著負相關關系(r分別為-0.477和-0.369,p<0.01),即降水量效應.


