當水中CaCO3的濃度等于或大于其飽和度時,即傾向于結垢,且CaCO3的溶解度隨著溫度的升高而減少。在冷卻水系統中,由于水溫高于環境溫度,CaCO3結垢的可能性大大增加,不僅影響換熱效果,還會引起嚴重的垢下腐蝕問題。添加阻垢劑進行阻垢是眾多阻垢方法中相對高效的一種〔1〕。
目前,關于聚天冬氨酸(PASP)、聚環氧琥珀酸(PESA)、馬來酸/丙烯酸(MA/AA)阻垢性能的報道較多〔2〕,而阻垢機理方面報道得相對較少,筆者主要從這3種阻垢劑的阻垢性能動力學方面來分析其阻垢機理。
1 試驗部分
1.1 試驗藥品與儀器
試驗藥品: PASP,工業純,常州市潤洋化工有限公司;PESA,工業純,廣州市億源環?萍加邢薰;MA/AA,工業純,鄒平縣東方化工有限公司;氯化鈣,分析純,成都市科龍化工試劑廠;碳酸氫鈉、氯化鈉,分析純,重慶川東化工(集團)有限公司;十水四硼酸鈉,分析純,成都化學試劑廠。
儀器:電熱恒溫水浴鍋,天津市泰斯特儀器有限公司;電熱恒溫鼓風干燥箱,上海,攲嶒炘O備有限公司;電子天平,上海舜宇恒平科學儀器有限公司。
1.2 試驗水質
在去離子水中加入一定量的CaCl2、NaHCO3、NaCl溶液,并加入一定量的硼砂緩沖溶液調節其pH。
1.3 試驗方法
試驗參照 GB/T 16632—2008《水處理劑阻垢性能的測定 碳酸鈣沉積法》,利用靜態阻垢法測定 PASP、PESA、MA/AA對CaCO3垢的阻垢性能,并做空白試驗。
2 PASP、PESA、MA/AA阻碳酸鈣垢性能測試
控制Ca2+和HCO3-的質量濃度均為500 mg/L,pH=8,恒溫10 h,考察PASP、PESA、MA/AA在不同溫度和不同質量濃度下的阻碳酸鈣垢性能。
阻垢劑濃度、溫度對碳酸鈣垢阻垢率的影響分別如圖 1、圖 2、圖 3 所示。

圖1 PASP 對 CaCO3 垢阻垢率的影響
圖2 PESA 對 CaCO3 垢阻垢率的影響
圖3 MA/AA 對 CaCO3 垢阻垢率的影響
由圖 1可見,隨著PASP質量濃度的增加,其阻垢率逐漸增大。因為PASP能與Ca2+形成穩定的絡合物,降低溶液中Ca2+濃度,使形成CaCO3沉淀的可能性降低。同時還能和已形成CaCO3小晶體的Ca2+作用,進一步達到阻垢的效果。當PASP質量濃度(Cinh)在0~2.5 mg/L范圍內,溫度為80℃時其阻垢率最高;當Cinh為3.0 mg/L、溫度為70℃時阻垢率最高。這可能是由于阻垢劑與Ca2+結合速率大于成鈣垢反應速率,隨著溫度升高,阻垢劑活性增加,但成鈣垢反應加快。圖中阻垢率可能為這兩方面共同作用的結果,呈現先增加后降低的趨勢。
由圖 2可見,隨Cinh的增加,PESA阻垢率逐漸增大。Cinh在0~2.5 mg/L范圍內,溫度為75℃時阻垢率最高,當Cinh在2.5~3.0 mg/L范圍內,溫度在80℃時阻垢率最高。
由圖 3可見,MA/AA在Cinh為1.5 mg/L時阻垢率最大,能達到90%左右,說明此阻垢劑存在劑量效應。這可能是因為阻垢劑MA/AA加入越多,溶液中所含羧基或醚基也越多,與碳酸鈣晶體表面氧原子之間形成的氫鍵越多,進而提高碳酸鈣晶體表面電荷,增加粒子間的相互排斥,但當阻垢劑加入過量時,反而減弱了這種排斥力。
3 動力學參數計算
化學動力學研究的是濃度、壓力、溫度以及催化劑等各種因素對反應速率的影響,還研究反應進行時要經過哪些具體步驟。所以,化學動力學是研究化學反應速率和反應機理。研究溫度對反應速率的影響,就是研究溫度對反應速率常數的影響,也就是要找出速率常數隨溫度變化的函數關系〔3〕。
由上文看出,在相同的阻垢劑濃度下,溫度升高,碳酸鈣成垢速率增加,但是隨著溫度升高,阻垢劑活性增大。溫度與反應速率的關系滿足阿倫尼烏斯方程,可用阿倫尼烏斯方程(1)計算指前因子(k0)、活化能(Ea),艾林方程(2)計算焓變(ΔHa)、熵變(ΔSa)。
式中:CR——反應速率,mg/(L·min);
T——反應體系溫度,℃;
N——阿伏伽德羅常數;
h——普朗克常量;
R——摩爾氣體常數。
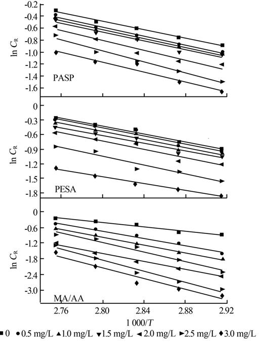
利用3種阻垢劑對碳酸鈣的阻垢性能的試驗數據,在Ca2+為500 mg/L,對式(1)、式(2)方程兩邊同時取對數作圖,不同濃度下PASP、PESA、MA/AA的阿倫尼烏斯和過渡態線性擬合如圖 4、圖 5所示。

圖4 不同濃度 PASP、PESA、MA/AA 的阿倫尼烏斯線性擬合
圖5 不同濃度 PASP、PESA、MA/AA 的過渡態線性擬合
由圖 4、圖 5的截距和斜率計算出k0、Ea、ΔHa、ΔSa,具體數據如表 1所示。

由表 1可見,對PASP和PESA而言,在不同濃度下的Ea與空白試液比較接近,但MA/AA在不同濃度的Ea均是空白試液的1.5倍以上,即MA/AA在不同濃度下的Ea大于PASP和PESA。其加入MA/AA的溶液活化分子比加入PASP和PESA均少,活化分子越少,與Ca2+結合形成鈣垢的可能性越低,從而反應速率減慢,阻垢率提高。該試液中溶劑為水且對反應組分無明顯作用。由籠蔽效應可知,如果反應的Ea小,反應速率快,則為擴散控制;若反應Ea大,反應速率慢,則為活化控制。由此可見,PASP和PESA為擴散控制,而MA/AA為活化控制。在工程中若通過攪拌等方法加速PASP、PESA和MA/AA的擴散,PASP和PESA的阻垢率變化遠大于MA/AA的變化。
MA/AA的k0均高于空白試液的k0。對不同的阻垢劑來說,其k0和Ea處于相同變化,則Ea和k0越大,成鈣垢的可能性越小,其反應速率越低。
PASP、PESA和MA/AA的ΔH>0,該反應為吸熱反應。對PASP和PESA而言,不同阻垢劑濃度下的ΔHa和ΔSa值與空白試液比較接近。但MA/AA的ΔHa和ΔSa值與空白試液差別較大。由于加入PASP和PESA的試液Ea低,活化分子較多,引起成鈣垢反應較快,反應速率較大,從而使其混亂度降低,即熵減的反應。加入MA/AA的試液其活化能較高、活化分子較少,引起成鈣垢反應較慢,試液中Ca2+較多,從而其混亂度較大,即熵增的反應。具體參見http://m.dongaorq.cn更多相關技術文檔。
4 結論
研究結果表明,MA/AA、PASP、PESA這3種阻垢劑均存在最佳活性溫度。MA/AA的阻垢效果明顯高于PASP、PESA。這是由于MA/AA含有羧基或醚基,可與碳酸鈣晶體表面氧原子之間形成氫鍵,從而提高碳酸鈣晶體表面電荷,增加粒子間的相互排斥,達到阻垢的效果。加入MA/AA試液的指前因子和活化能均高于空白試液,使其Ca2+結合形成鈣垢的可能性降低,從而反應速率減慢,阻垢率提高。對阻垢劑的阻垢性能可通過阻垢反應的k0和Ea進行評價,但MA/AA存在劑量效應。
由籠蔽效應可知,PASP和PESA為擴散控制,MA/AA為活化控制。通過控制類型的研究可對化學反應的動力學研究、反應器的選用和設計進行指導。


