我國是水產養殖業大國,養殖水回用與尾水排放已成為行業重點關注的環保問題。臭氧氧化法可有效滅活影響養殖的病原微生物,同時可降低水中固體懸浮物含量并氧化降解部分有機物,是實際生產中應用效果良好的處理方法。然而在處理過程中,臭氧的使用量難以精準調控,過量投加會導致水中臭氧殘留,對水生生物產生毒性,影響牙鲆魚等養殖動物生長,因此有必要對處理后養殖水中殘留的臭氧進行處理。
水中殘留臭氧可通過催化法分解,目前與臭氧相關的催化劑研究主要集中在催化臭氧降解水中污染物方面,而直接催化分解臭氧的研究則相對較少,僅有α-FeOOH及二氧化鈰等簡單金屬氧化物作為催化劑。近年來,金屬氧化物催化劑表面結構缺陷作為催化活性點位的研究逐漸興起,研究熱點包括氧空位和晶體邊緣缺陷等。其中氧空位因具有催化活性高、構建方法多、方便調控等特點,在臭氧催化材料設計過程中被廣泛提及,但未見將其應用于水中臭氧分解的相關報道,因此探究以氧空位為主要活性點位的金屬氧化物在臭氧分解中的催化活性作用具有重要意義。
筆者以α-MnO2為參照,通過硫酸蝕刻法制備了富含氧空位的α-MnO(2α-MnO2-OV),并用于臭氧分解,其表現出了高催化臭氧分解活性和穩定性,同時通過相關表征方法探討了氧空位在臭氧分解中的作用。此外,還對影響臭氧分解的條件因素(溫度、pH、催化劑投量、臭氧濃度、陰離子)進行了系統考察,旨在為臭氧氧化后水中殘留臭氧分解問題提供解決方案。
1、材料與方法
1.1 實驗試劑
實驗試劑包括靛藍、氫氧化鈉、鹽酸、高氯酸、30%過氧化氫、硝酸錳、硫酸等。
1.2 催化劑的制備
α-MnO2的制備方法:將50mL含有0.6mol/LNaOH和2mol/LH2O2的溶液與50mL含有0.3mol/LMn(NO3)2的溶液迅速混合,于室溫下攪拌25min后得到黑棕色懸浮液,陳化1h。將濾后沉淀水洗后分散于2mol/LNaOH溶液中,再轉移至水熱反應釜中,于150℃條件下密閉水熱16h。將水熱處理后的懸浮液進行過濾、水洗、干燥。將干燥后的黑色固體分散于0.1mol/LHCl溶液中,于室溫下處理3d。將處理后的懸浮液過濾、水洗、干燥,即可得到α-MnO2。
α-MnO2-OV的制備方法:將α-MnO2粉末加入到H2SO4中,其中H2SO4與α-MnO2的物質的量之比為14.4,在馬福爐中以2℃/min的速率加熱至110℃焙燒2h。將所得黑色固體用蒸餾水洗滌后放入60℃烘箱中干燥,制得α-MnO2-OV。
1.3 催化劑的表征
利用X射線衍射儀(XRD)分析催化劑的物相結構;利用掃描電子顯微鏡(SEM)觀察催化劑的形貌結構;利用X射線光電子能譜儀(XPS)分析元素價態;利用傅里葉變換紅外光譜儀(FTIR)分析催化劑表面官能團;利用電子順磁共振(EPR)測定催化劑含有的氧空位。
1.4 實驗方法
將高純氧氣通入臭氧發生器后產生臭氧,再將臭氧氣體通入低溫超純水中制得高濃度臭氧溶液,并置于臭氧儲存容器中。容器中含有1.5L去離子水,由恒溫槽將容器溫度保持在277K。
采用靜態實驗方法測定臭氧分解效能。實驗在150mL錐形瓶中進行,將一定量的去離子水和催化劑依次加入錐形瓶中,通過添加高氯酸或氫氧化鈉來調整溶液pH,從臭氧儲存容器中取出一定體積的臭氧水加入錐形瓶中,混合均勻后啟動實驗。在設定的采樣時間點采集水樣,并立即用0.22μm聚四氟乙烯過濾器進行過濾。濾液與靛藍溶液混合后加至石英玻璃比色皿內,在610nm處用紫外分光光度計測定吸光度,并計算相應的臭氧濃度。錐形瓶中的催化劑在反應后通過抽濾收集,用去離子水洗滌3次后用于穩定性測試。
2、結果與討論
2.1 催化劑的物化性質
2.1.1 表面形貌
通過SEM對α-MnO2和α-MnO2-OV催化材料的形貌特征進行表征,發現α-MnO2和α-MnO2-OV均為堆疊的納米棒結構,經過硫酸處理的α-MnO2-OV相較于α-MnO2顯示出更寬的直徑,且納米棒表面變得粗糙,這表明α-MnO2-OV催化劑表面有望暴露更多的催化活性點位。
2.1.2 晶體結構
圖1為α-MnO2和α-MnO2-OV的XRD圖譜。可知,樣品在2θ分別為12.6°、17.8°、25.22°、28.7°、37.5°、41.88°、49.8°、55.96°、60.1°、65.1°、69.12°處存在衍射峰,分別與α-MnO(2JCPDS44-0141)中的(110)、(200)、(220)、(310)、(211)、(301)、(411)、(600)、(521)、(002)、(541)晶面一一對應,且譜圖中無雜峰存在,表明α-MnO2制備成功。經過硫酸蝕刻后,α-MnO2-OV催化材料(211)晶面的特征衍射峰向較低角度偏移,推測該晶格結構的變化是由氧空位的存在所導致。

2.1.3 表面元素組成
α-MnO2和α-MnO2-OV的XPS光譜如圖2所示。由圖2(a)可知,兩種催化劑主要是由Mn和O兩種元素組成,且在84、529和642eV處表現出明顯的特征峰,分別對應于Mn3s、O1s和Mn2p的結合能。

由圖2(b)可知,不對稱的Mn2p3/2峰在641.5和642.7eV處可以解卷積成兩個峰,分別歸屬于表面的Mn3+和Mn4+。α-MnO2-OV的Mn3+/Mn4(+物質的量之比,1.98)大于α-MnO2的(1.28)。當Mn3+含量增加時,由電中和原理可知,為了保持電荷平衡,MnO2失去了部分氧,氧原子受熱從錳氧化物的結構中脫離出來,導致催化劑的結構產生了更多的氧空位,而這些氧空位有利于臭氧與催化劑的結合并發生反應。
Mn的氧化態與催化劑中的氧空位含量密切相關,在MnO2中,氧化態的降低可能會導致氧空位的增多。結合圖2(c)和文獻計算可知,α-MnO2-OV中Mn的平均氧化態(AOS)為3.19,小于α-MnO2的AOS(3.36),表明α-MnO2-OV催化劑表面的氧空位含量高于α-MnO2,這與Mn3+/Mn4+的結果相一致。
通過圖2(d)可以區分兩種表面氧,529.1eV的峰值可歸因于晶格氧(OⅠ),而較高的結合能530.5~530.7eV可歸因于氧空位(OⅡ)。α-MnO2的OⅡ含量為51.2%,α-MnO2-OV的OⅡ含量為56.8%,進一步證明硫酸蝕刻后α-MnO2表面含有更豐富的氧空位。有研究表明,氧空位數量的增多有利于提高催化劑的臭氧分解活性。
2.1.4 表面官能團與氧空位
α-MnO2和α-MnO2-OV的FTIR光譜如圖3所示。可知,α-MnO2和α-MnO2-OV在3424cm−1處有一個寬而強的吸收峰,這是由于—OH的伸縮振動。1626和1085cm−1處為Mn—OH的彎曲振動,表明α-MnO2和α-MnO2-OV是表面含有大量羥基的錳氧化物。590cm−1為Mn—O的彎曲振動,表明存在MnO2分子晶胞。經過硫酸蝕刻后,α-MnO2-OV在1085和590cm−1處的峰強度明顯變小,3424cm−1處的峰變得平滑,表明—OH、Mn—OH、Mn—O可能參與了硫酸蝕刻過程中氧空位的構造。

EPR光譜分析表明,兩種催化劑材料在磁場強度為2.003×10-4T處都檢測出了EPR信號,這是由氧空位捕獲的未配位電子引起的。催化材料氧空位含量與該處EPR信號峰的強度密切相關,因此相較于α-MnO2,α-MnO2-OV具有更高含量的氧空位,這一結果可與XPS分析結果相互論證。
2.2 催化劑活性評價
2.2.1 不同催化劑分解臭氧的效能
在pH為7、溫度為4℃、催化劑投量為0.05g/L、臭氧濃度為3mg/L的條件下,不同催化劑對臭氧的分解效果如圖4所示。

由圖4可以看出,反應30min以后α-MnO2和α-MnO2-OV對臭氧的分解率分別為71.9%和98.0%,而單一臭氧體系的臭氧分解率僅為15.1%。通過擬一級動力學方程擬合臭氧分解曲線發現,臭氧的分解在有無催化劑的情況下都較好地遵循一級動力學,其中α-MnO2-OV的擬一級動力學結果表現為兩段式,將催化劑種類按擬一級動力學反應速率常數進行排序:α-MnO2-OV(1.6323min−1)>α-MnO(20.0391min−1)>無催化劑(0.0047min−1),即α-MnO2-OV體系的臭氧分解速率分別比α-MnO2體系和直接臭氧體系提高了42和347倍。由此可知,α-MnO2-OV分解臭氧的速率遠高于α-MnO2催化臭氧體系和單一臭氧體系,說明α-MnO2-OV具備高效催化臭氧分解的能力。
2.2.2 催化劑投量對臭氧分解的影響
為考察催化劑投量對臭氧分解的影響,在溫度為4℃、pH為7、臭氧濃度為3mg/L的條件下,考察催化劑投量對臭氧分解的影響,結果如圖5所示。可知,反應30min后,未投入催化劑組的臭氧分解率為15.1%,而加入0.01g/L的α-MnO2或α-MnO2-OV催化劑后,臭氧分解率即可提高至59.1%和90.0%。進一步增加催化劑投量,臭氧分解率逐漸升高,但效果有限。另外,值得注意的是,α-MnO2-OV在0.05g/L投量下的臭氧分解率已達98.0%,繼續增加催化劑投量對臭氧分解率沒有顯著提高效果。綜合考慮催化效果和經濟成本,確定催化劑的最佳投量為0.05g/L。

2.2.3 溫度對催化劑分解臭氧的影響
一般而言,溫度的升高有利于催化反應的進行。在pH為7、臭氧濃度為3mg/L、催化劑投量為0.05g/L的條件下,考察溫度對催化劑分解臭氧的影響,結果如圖6所示。

由圖6可以看出,在反應30min內,α-MnO2和α-MnO2-OV對臭氧的分解率隨著溫度的升高而增大。但是,溫度對催化劑α-MnO2-OV分解臭氧的影響并不顯著,在5、15、25℃下對臭氧的分解率分別為92.1%、100%和100%,且不同溫度下臭氧的分解都較為迅速,這說明α-MnO2-OV催化臭氧分解受溫度的影響較小。
2.2.4 pH對催化劑分解臭氧的影響
在溫度為4℃、催化劑投量為0.05g/L、臭氧濃度為3mg/L的條件下,考察pH對催化劑分解臭氧的影響,結果如圖7所示。

從圖7可以看出,反應30min以后,與中性環境相比,酸性條件下對臭氧的分解起到抑制作用,堿性環境則可以促進臭氧的分解。在pH為3的條件下,α-MnO2、α-MnO2-OV、單一臭氧體系對臭氧的分解率分別為55.0%、69.0%和17.1%。此時催化劑并沒有表現出較強的催化活性,這可能是由于α-MnO2和α-MnO2-OV在酸性條件下表面被質子化程度較強,臭氧分子親電特性使其不容易被吸附到催化劑的表面,因而抑制α-MnO2、α-MnO2-OV參與催化反應。然而,實驗過程中,在pH為9的條件下,α-MnO2、α-MnO2-OV、單一臭氧體系對臭氧的分解率分別為81.2%、100%和39.0%。這是因為溶液呈堿性時,OH-會與臭氧結合并促使其分解,因而堿性條件下的臭氧分解速度相對于中性和酸性條件更快。
2.2.5臭氧濃度對催化劑分解臭氧的影響
在催化劑投量為0.05g/L、溫度為4℃、pH為7的條件下,考察臭氧濃度對催化劑分解臭氧的影響,結果如圖8所示。可以看出,在5mg/L的臭氧濃度下,投入α-MnO2-OV的體系反應30min后對臭氧的分解量高達4.75mg/L。可見,即便在高濃度臭氧條件下,α-MnO2-OV依然表現出了優異的催化性能,說明α-MnO2-OV可以用于分解水中高濃度的臭氧。

2.2.6 水中常見陰離子對催化劑分解臭氧的影響
養殖廢水中通常含有硝酸鹽、碳酸氫鹽、氯鹽等無機陰離子,可能會對臭氧的分解產生影響。為此,進一步考察了Cl−、NO3−、HCO3−三種水中常見無機陰離子對臭氧分解率的影響。當pH為7、溫度為4℃、臭氧濃度為3mg/L、催化劑投量為0.05g/L、陰離子濃度為10μmol/L時,3種無機陰離子的引入均對α-MnO2、α-MnO2-OV催化臭氧分解產生了促進作用,其促進效果的排序為:HCO3−>NO3−>Cl−。當陰離子濃度進一步提高至50μmol/L時,影響效果和趨勢總體保持不變,說明催化劑催化臭氧分解的效果隨陰離子濃度變化的程度并不顯著,這意味著在實際水體中α-MnO2、α-MnO2-OV催化劑具有較為穩定的催化分解臭氧效能。
2.3 臭氧分解機理
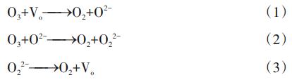
已有大量研究表明,氧空位是臭氧分解的反應點位,從圖2(d)可知,α-MnO2催化劑反應前后的OⅡ占比分別為51.2%和46.2%,α-MnO2-OV催化劑反應前后的OⅡ占比分別為56.8%和51.5%。且α-MnO2和α-MnO2-OV的臭氧分解速率常數與OⅡ含量(氧空位)之間呈正相關,即氧空位的增多會導致其催化活性升高。結合XPS和EPR的結果發現,臭氧的分解機制遵循催化劑上氧空位的參與和再循環。當一個O3分子被吸附在氧空位(Vo)上時,一個O2分子將被釋放出來,因此在氧空位上留下一個活性氧原子,見式(1)。隨后,另一個O3分子會與活性氧原子發生反應,釋放出另一個O2分子,從而形成過氧化物(O22−),見式(2)。過氧化物進一步分解為O2,從而恢復了氧空位,見式(3),這些氧空位又可以參與下一個循環分解臭氧。

2.4 催化劑的穩定性和可重復使用性
在相同的條件下進行4次循環回收實驗,以分析α-MnO2和α-MnO2-OV的可重復使用性。首次實驗時先向反應體系中投加0.05g新鮮催化劑,反應結束后進行抽濾收集剩余催化劑,用去離子水多次洗滌后,置于60℃烘箱中烘干稱質量,不足0.05g的質量由新鮮催化劑補齊后再開展下一次循環實驗。經過4次循環后,α-MnO2對臭氧的分解率由71.9%降至63.0%,α-MnO2-OV則保持在95.1%~98.0%之間。α-MnO2表現出輕微失活,這是由活性中心和含有機物表面的不可逆變化所致。對比來看,α-MnO2-OV體系的臭氧分解率在循環前后基本保持不變,表明α-MnO2-OV催化劑具有良好的可重復使用性。
對重復使用4次后的α-MnO2和α-MnO2-OV進行XRD和XPS表征,以探究催化劑表面結構的穩定性。結果表明,反應前后α-MnO2和α-MnO2-OV的XRD譜圖中呈現的峰位置和峰型均未發生明顯變化,也未生成新的晶面,這證明在催化臭氧分解的過程中,兩種催化劑的結構均具有優異的穩定性。反應前后α-MnO2和α-MnO2-OV的XPS圖譜表明,反應后α-MnO2和α-MnO2-OV的峰位置和峰值均與反應前基本相同,元素組成和價態基本不變。綜上所述,α-MnO2和α-MnO2-OV在催化臭氧分解體系中具有表面結構和晶體結構的雙重穩定性。
3、結論
①通過濃硫酸蝕刻法制備了富含氧空位的α-MnO2納米材料(α-MnO2-OV),將α-MnO2和α-MnO2-OV用于催化臭氧分解,結果表明α-MnO2和α-MnO2-OV均具有優異的催化臭氧分解效果,其中α-MnO2-OV比α-MnO2具有更好的催化性能,這是因為α-MnO2-OV的結構中產生了更多的氧空位,可提供更多反應點位。兩種催化劑的催化性能均隨催化劑投量、pH、反應溫度的升高而上升。水中無機陰離子對臭氧分解起促進作用,促進效果排序為:HCO3−>NO3−>Cl−。
②α-MnO2-OV表現出良好的持久催化活性,進行4次重復性實驗后,其對臭氧的分解率基本保持不變,且催化劑表面結構和晶體結構在反應過程中均保持穩定。(來源:浙江工業大學環境學院浙江省工業污染微生物控制技術重點實驗室,哈爾濱工業大學環境學院城市水資源與水環境國家重點實驗室)



