新型后置缺氧反硝化工藝因運行操作簡單、費用低等優勢成為去除污水中營養鹽的有效技術。該工藝的運行效率受操作條件、原水水質特征等因素的影響。之前的研究多集中于操作條件對新型后置缺氧反硝化工藝的影響,而對于水質特征影響的研究較少。
污水中攜帶的重金屬會影響污染物及營養鹽的轉化,并直接影響微生物代謝及關鍵酶活性,從而影響出水水質。鉈(Tl)是地球上廣泛分布的劇毒性重金屬,被美國環保署和歐洲水框架組織列為優先污染物之一。Tl在電子、半導體、制藥等領域具有廣泛的用途,但Tl的大量使用也導致相關污染事件頻發。水體內Tl主要以兩種價態(Ⅰ價和Ⅲ價)存在,相較于Tl(Ⅰ),Tl(Ⅲ)對小球藻和大水蚤的毒性更強。但穩定的Tl(Ⅰ)被認為是大多數天然氧化水體中Tl的主要存在形式。目前,關于Tl毒性的研究對象多集中于魚類、藻類和無脊椎動物等,而對于活性污泥效應及其作用機制的探究相對較少。鑒于此,筆者考察了Tl對后置缺氧反硝化工藝運行效能的影響,分析了Tl暴露條件下營養鹽的周期性轉化規律,解析了Tl對污泥特征的影響,最后通過16SrRNA高通量測序,從微生物群落結構角度揭示了Tl對后置缺氧反硝化工藝的影響機制,旨在為降低Tl對污水生物處理的危害以及減少Tl在污水中遷移轉化風險提供參考。
1、材料與方法
1.1 實驗材料
實驗所用廢水為人工合成廢水,按照某礦業廢水成分配制并略有改動。具體水質如下:pH為6.9,COD為(412±12)mg/L,BOD5為(208±12)mg/L,TN為(68±3.2)mg/L,NH4+-N為(45±2.9)mg/L,PO43--P為(8.5±1.3)mg/L。實驗所用碳源為乙酸鈉和丙酸鈉混合碳源(兩者質量比為1∶1),氮源為氯化銨,磷源為磷酸二氫鉀。
接種污泥來源于某污水處理廠二沉池,取回后的剩余污泥經人工去除雜質后在實驗室靜置24h,棄掉上清液。接種污泥的主要特征如下:總懸浮固體(TSS)為(5.6±0.5)g/L,揮發性懸浮固體(VSS)為(4.9±0.3)g/L,污泥體積指數(SVI)為(92.3±5.2)mL/g,COD去除率高達90%以上。
反應器為玻璃樹脂制成的圓柱形反應器,有效工作容積為6.0L,底部半徑和高分別為8.5和28cm,徑高比為0.3。距離底部5.0cm處設有直徑為2.0cm的進水口,側面距離頂部5.0cm處設有直徑為2.0cm的出水口。SBR底部設有微孔曝氣盤,通過轉子流量計控制氣體流量以保證好氧階段的溶解氧濃度維持在3.0~5.0mg/L。將10.0mgTlCl溶于35℃的1.0L純凈水內,制成母液,將Tl母液置于棕色錐形瓶內進行避光保存。
1.2 實驗方法
在5套相同的反應器內進行實驗,每套反應器含有3個相同的SBR。首先,各SBR引入3.0L接種物和3.0L合成廢水,然后向各組反應器內加入不同體積的Tl母液,控制其濃度分別為0、5、25、50和100μg/L(分別為R0、R1、R2、R3、R4)。新型后置缺氧工藝每日運行3個周期,每個周期的運行模式如下:90min厭氧,120min好氧,90min缺氧,30min沉淀出水,150min閑置。每個周期排水,以控制水力停留時間為12h;每日在固定周期好氧階段排出泥水混合物133mL以控制污泥停留時間為15d。Tl母液每日只在一個周期投加一次,另外兩個周期進水不含Tl母液。定期測定出水水質,并結合污泥特征來判斷Tl對工藝的影響。實驗在25~35℃的室溫環境下進行。在80d時,測定污泥內關鍵酶活性及微生物群落結構,以揭示新型后置缺氧工藝對Tl的響應機制。
1.3 分析項目及方法
COD、溶解性磷酸鹽(SOP)、TN及SVI的測定參照《水和廢水監測分析方法》(第4版);TSS和VSS采用重量法測定。聚羥基脂肪酸酯(PHA)采用氣相色譜法測定,具體步驟如下:取10mL新鮮的顆粒污泥樣品置于離心管中高速離心,去除上清液,將剩余固體置于-80℃中冷藏24h后放入冷凍干燥機中24h;用電子天平稱量冷干后的樣品,取約10mg干燥的顆粒污泥于消解管中,加入2mL氯仿、2mL酸化甲醇溶液,在105℃烘箱中消解6h后進行水解酯化反應;進行氣相色譜測定時,進樣口溫度為200℃,載氣為N2,壓強為71.2kPa,流量為41.4mL/min,分流比為25/1,柱箱初始溫度為70℃,保持1min后以10℃/min上升到140℃,保持2min。EPS采用離子交換樹脂法提取,EPS內蛋白質(PN)和多糖(PS)分別采用福林酚法和蒽酮比色法測定,并分別用牛血清白蛋白和葡萄糖作為標準對照物。糖原質采用蒽酮比色法測定。細胞內活性氧(ROS)、過氧化氫酶(CAT)和超氧化物歧化酶(SOD)的分析見文獻。
微生物測序:待各組別運行穩定后,取50mL污泥樣品于-80℃條件下保存,樣品送往上海美吉生物醫藥科技有限公司進行微生物群落結構測定。采用341F(5'-CCTACGGGNGGCWGCAG-3')和785R(5'-GACTACHVGGGTATCTAATCC-3')作為擴增引物進行PCR擴增后,樣品于IlluminaNovaSeq6000測序平臺進行高通量測序。
2、結果與討論
2.1 Tl對出水水質的影響
圖1為Tl對新型后置缺氧工藝出水COD的影響。

從圖1可以看出,Tl顯著影響了對COD的去除效果。穩定期,空白組出水COD濃度維持在22.7~27.4mg/L,COD去除率高達91.6%~93.1%,說明新型后置缺氧反硝化工藝能有效去除污染物。但當存在Tl時,出水COD濃度顯著升高,COD去除率明顯下降。當Tl濃度由5μg/L升高至100μg/L時,穩定期出水COD濃度由58.1~64.4mg/L升高至124.5~134.8mg/L,相應的COD去除率由81.2%~84.6%下降至61.6%~64.3%。上述結果表明,Tl能抑制后置缺氧工藝對污染物的去除效果,且Tl濃度越高,對去除COD的抑制效果越顯著。趙曉靜等在SBR內探究Tl對COD去除率的影響發現,Tl能顯著抑制對污染物的去除效果,且移除Tl暴露后,COD去除率得以恢復。Tl的毒性高于Hg、Cu、Cd,本研究證實即使存在低濃度的Tl(5μg/L),長期暴露同樣能抑制活性污泥系統去除污染物的效果。因此,在發生Tl暴露事件中應注意其對污水處理效果的影響。
Tl對新型后置缺氧工藝去除營養鹽的影響如圖2所示。

從圖2可知,Tl顯著影響了對TN和SOP的去除效果,且Tl濃度越高,營養鹽去除率下降越顯著。在TN去除方面,20d后,當Tl的濃度由5μg/L增加至100μg/L時,TN去除率由64.5%~66.8%下降至42.6%~45.8%。對TN的去除主要依賴微生物同化及反硝化菌的反硝化過程。一方面,高濃度Tl能降低活性污泥中有機質濃度,進而導致微生物同化消耗TN的能力受到抑制;另一方面,Tl的毒性抑制了反硝化微生物的代謝,從而導致生物脫氮過程被抑制。
在SOP去除方面,即使在長期暴露中,低濃度Tl也顯著抑制了對SOP的去除。穩定時期,當Tl濃度由5μg/L增加至100μg/L時,SOP去除率由84.6%~86.9%下降至61.6%~64.5%。上述實驗結果證實,Tl可以顯著抑制新型后置缺氧工藝內SOP的去除效果。聚磷微生物(PAO)代謝易受到重金屬的干擾,Tl的毒性能抑制PAO活性,從而降低對SOP的去除效果。
2.2 Tl對后置缺氧工藝內污泥特征的影響
TSS及VSS/TSS是表征污泥特性的兩個重要指標,Tl對TSS及VSS/TSS的影響如圖3所示。可見,空白組的TSS濃度維持在較高水平(4.19~4.25g/L)。但當存在Tl時,TSS濃度受到顯著影響,且Tl對TSS的影響與Tl濃度密切相關。當Tl濃度由5μg/L增加至100μg/L時,穩定運行期間TSS濃度由4.02~4.09g/L下降至3.18~3.36g/L。Tl的毒性能抑制微生物的增殖,從而降低了TSS濃度。Tl暴露組TSS下降也證實Tl抑制了微生物增殖,降低了微生物同化作用對TN和SOP的消耗,這也是導致高濃度Tl抑制后置缺氧工藝內營養鹽去除的原因之一。

從圖3(b)可以看出,與Tl對TSS的影響大致相似,Tl同樣降低了VSS/TSS。當Tl濃度由5μg/L增加至100μg/L時,穩定運行期間VSS/TSS由79.5%~81.6%下降至62.3%~64.2%。Tl存在的組別內,其VSS/TSS顯著低于空白組,說明Tl降低了污泥中有機質的占比。一方面,Tl的毒性抑制了微生物增殖,從而導致VSS濃度及占比下降;另一方面,Tl會導致污泥沉降性能下降(見圖4),致使部分污泥在沉淀/排水期未能完全沉降,從而引起部分VSS隨排水流失,降低了VSS濃度及其在TSS中的占比。

從圖4可以發現,空白組的SVI維持在84.6~89.2mL/g,污泥沉降性良好,且運行期間基本維持穩定。但存在Tl時,SVI出現不同程度的升高,且升高幅度與Tl濃度密切相關。當Tl濃度為5和25μg/L時,穩定期間SVI為91.3~94.6mL/g,兩者相差不明顯。但當Tl濃度超過50μg/L時,SVI顯著升高,且當濃度為100μg/L時,SVI提升至112.6mL/g,略有污泥膨脹趨勢。研究證實,活性污泥膨脹多數是由絲狀菌過度增殖引起的,相較于其他細菌,絲狀菌對外源重金屬具有更強的耐受性,向活性污泥系統中投加陽離子重金屬(Cu2+、Fe3+)有利于好氧顆粒污泥的形成,提高污泥的沉降性。陽離子重金屬能提高污泥分泌PN,提高污泥沉降性,而本研究則證實,即使低濃度Tl同樣提高了SVI值,降低了污泥的沉降性。Tl的毒性促使污泥分泌EPS尤其是PS,污泥外側帶有相同類型的電荷增加了排斥力,降低了污泥的沉降性。
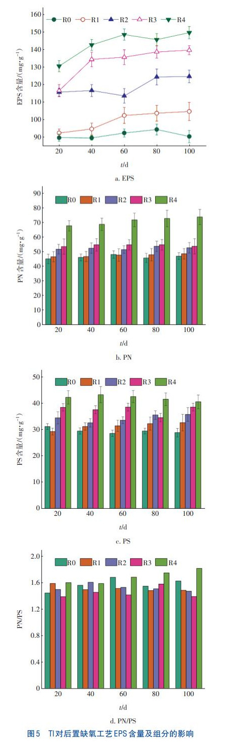
EPS是微生物自發聚集形成的高分子聚合物,是活性污泥的重要組成部分。外源性Tl同樣會影響EPS的含量及組成。圖5為Tl對后置缺氧工藝EPS含量及組分的影響。

由圖5(a)可知,空白組EPS含量為89.5~94.3mg/g。而Tl的存在提高了EPS含量,且Tl的暴露濃度越高,EPS增加越顯著。當Tl濃度為100μg/L時,穩定運行期間EPS含量升至145.6~149.8mg/g,遠高于其他組別。有研究證實,當微生物受到外源刺激時會分泌大量EPS進行自我防御,這也是導致各組EPS含量升高的原因。EPS的主要成分為PN和PS,從圖5(b)、(c)可以發現,Tl同步提高了PN和PS的含量。在污泥系統中,適量外源性金屬離子容易刺激PS含量的增加,進而提高污泥沉降性。進一步研究發現,相比于PS,Tl暴露組別內PN含量增加更顯著,見圖5(d)。例如,在Tl濃度為100μg/L的條件下,100d時PN/PS升高至1.81,遠高于空白組的1.62,其他含Tl的組別類似。上述實驗結果表明,Tl促進了PN和PS含量的增加,并提高了PN/PS值。
2.3 Tl對微生物代謝活性的影響
ROS、CAT和SOD對Tl的響應特征如圖6所示。可以發現,上述關鍵酶相對活性的變化同樣與Tl的濃度密切相關。當Tl的暴露濃度低于5μg/L時,上述三種酶的變化可以忽略不計,說明低濃度Tl未影響關鍵酶的相對活性。低濃度Tl引起污染物和營養鹽去除率下降的原因可歸咎于Tl對功能微生物代謝的影響。然而當Tl暴露濃度超過25μg/L時,ROS活性顯著升高,并伴隨著CAT和SOD的活性下降。尤其當Tl濃度為100μg/L時,ROS相對活性升高至185%,而CAT和SOD的相對活性下降至52%和60%。暴露于低濃度Tl的組別,微生物自身裂解產生ROS可通過CAT和SOD進行移除。研究證實,過高濃度的ROS容易導致細胞凋亡,從而降低微生物代謝活性。污泥內微生物為適應Tl脅迫而產生大量ROS,低劑量Tl時活性污泥產生的ROS能很快被CAT和SOD消除,而高劑量Tl脅迫產生的ROS進一步驗證了微生物代謝活性下降。

2.4 Tl對后置缺氧工藝胞內聚合物產量的影響
PHA和糖原質是活性污泥系統內重要的胞內聚合物,Tl暴露會影響PHA和糖原質的含量,結果如圖7所示。可知,當Tl低于5μg/L時,對PHA無明顯影響,說明活性污泥內微生物為適應低濃度Tl,脅迫強化PHA代謝以維持細胞正常水平。然而Tl超過25μg/L時則顯著降低了PHA的生物合成,且Tl的暴露濃度越高,PHA合成受抑制越顯著。當Tl暴露濃度由25μg/L提高至100μg/L時,PHA的最大合成量由5.48mmol/g下降至5.01mmol/g。高濃度Tl抑制了PHA的合成。PHA在后置缺氧工藝中發揮著重要作用,能在好氧期分解產能用于好氧吸磷,同時可以作為電子供體在缺氧期進行反硝化脫氮。高濃度Tl降低了PHA的合成,進而影響了生物脫氮除磷效率。

糖原質是活性污泥中重要的胞內聚合物,其代謝變化與活性污泥中聚糖微生物密切相關。聚糖菌(GAO)是一類對除磷無貢獻但能與PAO競爭有限碳源的微生物。GAO富集容易消耗廢水中的有限碳源,進而降低生物脫氮除磷效果。本研究發現Tl提高了糖原質的代謝,即使在低濃度Tl下,糖原質的最大含量升高至6.74mmol/g,高于空白組的6.51mmol/g。進一步提高Tl濃度至100μg/L時,糖原質含量增加至7.24mmol/g。糖原質代謝旺盛反映活性污泥系統中GAO豐度較高,進而不利于污染物和營養鹽的去除,這與前述結果一致。
2.5 Tl對微生物群落結構的影響
后置缺氧工藝中污染物和營養鹽的去除需要多種微生物共同驅動完成,Tl暴露會影響活性污泥系統中微生物的群落結構,如圖8所示。從圖8(a)可知,在門水平上,Cyanobacteria、Proteobacteria和Actinobacteriota是各組中的優勢微生物,三者占比之和超過48.1%。Tl會影響微生物在門水平上的相對豐度,對于空白組和低濃度Tl組別,Proteobacteria的相對豐度高達13.5%~14.6%,而在超過25μg/L的Tl暴露組別,其相對豐度下降至10.9%~12.6%,而且Tl的濃度越高,Proteobacteria的相對豐度下降越顯著。有研究證實,Proteobacteria是一類能進行生物脫氮的微生物,其還能有效利用廢水中的碳源。Proteobacteria相對豐度的下降在一定程度上降低了后置缺氧反硝化工藝對污染物的去除效果和生物脫氮性能。Firmicutes是一類厭氧微生物,其含有多種去除污染物的微生物。高濃度Tl組別內Firmicutes的相對豐度下降至7.5%,低于空白組的8.9%。

在反應器中近18種屬水平的微生物被發現,且相對豐度占比較高。由圖8(b)可知,Tl同樣能影響微生物在屬水平上的分布。空白組和低劑量Tl組別內Chloroplast的相對豐度高達28.9%~29.6%,而超過50μg/L的組別,Chloroplast的相對豐度下降至20.2%~22.6%。Chloroplast屬于藍藻細菌,能有效利用外源污染物進行代謝。高濃度Tl降低了Chloroplast的相對豐度,這與其抑制COD去除相關。Devosia含有反硝化功能基因如nirS2、narG、hzsB、nirK1和nirK2,從而對生物脫氮具有重要意義。高濃度Tl同樣降低了Devosia的相對豐度,尤其是100μg/L的組別,Devosia的相對豐度下降至10.8%。高濃度Tl能改變微生物在屬水平上的相對豐度,從而影響后置缺氧工藝的運行效能。
3、結論
重金屬Tl能抑制后置缺氧工藝對污染物和營養鹽的去除,且Tl暴露濃度越高,抑制污染物和營養鹽去除的效果越顯著。重金屬Tl能影響后置缺氧工藝中污泥的特征,降低TSS濃度及VSS/TSS值,刺激EPS合成,并提高PN和PS含量。但高濃度Tl抑制了內聚物PHA的合成并促進了糖原質代謝。超過25μg/L的Tl抑制了ROS、CAT和SOD等關鍵代謝酶的活性,并降低了門水平的Proteobacteria以及屬水平上Chloroplast、Devosia微生物的相對豐度。(來源:黃河水利職業技術學院環境工程學院,河南廣電計量檢測有限公司)



