畜禽養殖廢水主要含有畜禽尿液、殘余的糞便、飼料殘渣等污染物質,常被稱作第三嚴重污染源。針對畜禽養殖廢水高COD、高SS、高氨氮的“三高”特點,生物法因其處理效果好、無二次污染等優點,得到了科研人員的廣泛認可。厭氧生物處理工藝能夠承受較高的有機負荷,好氧工藝能夠實現對有機物、氮、磷等的同步去除,通常將好氧處理工藝置于厭氧反應器后處理畜禽養殖廢水,使出水達標排放。其中,完全混合式厭氧反應器(CSTR)因其設備簡單、物料分布均勻而增加了物料與微生物接觸的機會,被廣泛應用于養殖廢棄物厭氧消化過程中;序批式活性污泥法(SBR)處理工藝因其耐負荷能力強,常被用于厭氧出水的后續處理。但由于畜禽養殖廢水高有機負荷和高氨氮的特點,直接采用生物工藝處理極易造成酸化和氨氮抑制等問題,針對上述問題,多采用物化方法進行預處理,以減輕廢水對后續生物單元的沖擊和提高廢水的可生化性。研究表明,混凝法被廣泛應用于畜禽養殖廢水的處理,其能夠對該類廢水起到很好的預處理效果。Fenton氧化法既可有效去除畜禽養殖廢水中的宏觀污染物,如COD和色度等,也可有效去除微觀污染物,如抗生素和重金屬等,降低廢水毒性,并提高可生化性。吹脫法對于高氨氮廢水中氨氮的去除表現出很大的優勢,并且可回收氨氮,實現廢水的資源回收利用。
養鴨廢水作為典型的畜禽養殖廢水,處理難度較大。筆者通過分析養鴨廢水的特性,提出了混凝沉淀—Fenton氧化—吹脫—CSTR—兩級SBR組合工藝對其進行處理,并對運行條件進行了優化。長期運行結果表明,經該組合工藝處理后,出水水質達到了《畜禽養殖業污染物排放標準》(GB18596—2001)的要求,這為高濃度畜禽養殖廢水處理提供了參考和依據。
1、材料與方法
1.1 養鴨廢水的來源和水質
實驗所用養鴨廢水取自山東省某養鴨場,該養鴨場的廢水規模約為100m3/d,鴨子糞尿和沖洗水一起排放,鴨飼料和鴨糞中含有大量的有機物、氮、磷等,飼料中僅有不足50%的有機物和氮磷營養鹽可以被鴨子利用,而未被利用的將隨著鴨糞沖洗過程進入廢水中。養鴨廢水呈黃褐色,具有刺鼻的臭味,其水質情況和排放標準見表1,檢測方法參照《水和廢水監測分析方法》(第4版)中的相關方法。

1.2 工藝流程及實驗裝置
養鴨廢水經過混凝沉淀—Fenton氧化—吹脫預處理后,進入CSTR反應器,累積的厭氧出水進入SBR反應器。工藝流程如圖1所示。

CSTR反應器和SBR反應器主體均為有機玻璃材質。CSTR反應器總體積為2.5L,有效體積為1.5L,采用恒溫搖床保持溫度為(35±2)℃,pH控制在7.5~8.5。SBR反應器總體積為1L,有效體積為0.5L,每天運行3個周期,每個周期8h,其中進水0.5h、缺氧2h(包括進水0.5h)、曝氣5h、沉淀0.5h、排水0.5h。吹脫出的氨氮采用裝有稀硫酸的錐形瓶進行回收,厭氧產生的沼氣采用集氣袋進行回收。CSTR反應器每天處理養鴨廢水50mL,出水在4℃環境下保存待用。厭氧實驗穩定運行后期,啟動SBR反應器,每天處理養鴨廢水600mL,其中一部分進水來自于保存的CSTR反應器出水,一部分采用原水進行配制。
1.3 污泥接種
接種污泥均取自天津市北倉污水處理廠。CSTR反應器接種污泥采用厭氧段污泥,占反應器有效體積的1/3;SBR反應器接種污泥采用二沉池污泥,MLSS為(20000±100)mg/L,MLVSS為(11500±100)mg/L,MLVSS/MLSS為0.575,占反應器有效體積的1/2。
2、結果與討論
2.1 混凝沉淀—Fenton氧化—吹脫預處理分析
混凝沉淀單元:采用NaOH調節pH,以三氯化鐵作為混凝劑,聚丙烯酰胺作為助凝劑?刂pH=8、三氯化鐵投加量為80mg/L、聚丙烯酰胺投加量為6mg/L。實驗結果表明,混凝階段對SCOD、氨氮、總磷的去除率分別為10%、7.7%和87.9%。
Fenton氧化單元:采用HCl調節pH。控制pH=3、H2O2投加量為30mmol/L、H2O2與Fe2+的投加比為2∶1。實驗結果表明,Fenton氧化階段對SCOD、氨氮、總磷的去除率分別為15.5%、14.2%和18.5%,并且能夠去除47.9%的色度。
吹脫預處理單元:有研究表明,當氨氮濃度低于550mg/L時將不會對厭氧消化反應產生抑制作用。吹脫反應為吸熱可逆反應,提高pH和溫度均可有效提高氨氮去除率?刂pH=11、反應溫度為45℃、吹脫時間為120min、氣液比為1600,可去除87%的氨氮。采用1.84mol/L的稀硫酸對吹脫出的氨氣進行回收,氨氮回收率可以達到95.8%。
2.2 厭氧CSTR單元分析
2.2.1 SRT對SCOD去除效果的影響
控制反應器內pH為7.5~8.5,厭氧容積負荷(SCOD)為0.33kg/(m3·d),污泥停留時間(SRT)分別為45、30、20d,考察SRT對SCOD去除效果的影響,結果如圖2所示?梢钥闯觯S著反應器的運行,對SCOD的去除效果最終趨于穩定。分析原因,為了要保證固定的SRT,厭氧系統每天都要排出一定體積的生物量,當排出量大于微生物增長量時,對SCOD的去除效果就會隨著時間的延長而下降;當排出量與微生物增長量持平時,去除效果趨于穩定。穩定運行期間,當SRT為30d時,CSTR反應器對SCOD的去除率較高,可穩定在59%左右,且與SRT為45d相比,既提高了去除速率又改善了去除效果。當SRT由30d變為20d時,SCOD去除率明顯下降。實驗結果表明,過短的SRT由于導致生物量減少,造成了出水水質下降。后期反應器均在SRT為30d的條件下連續運行。

2.2.2 厭氧容積負荷對SCOD去除效果的影響
改變厭氧容積負荷(SCOD)分別為0.33、0.66、1.32kg/(m3·d),考察容積負荷對SCOD去除效果的影響,結果如圖3所示。

由圖3可知,隨著容積負荷的不斷升高,SCOD去除率先上升后下降,最終趨于平緩?傮w而言,當容積負荷為1.32kg/(m3·d)時,SCOD去除率最高,平均值在89.7%左右。這可能是因為低容積負荷條件下,進入反應器的有機物較少,無法滿足反應器中微生物的生長需要;當負荷升高后,進入反應器的有機物增多,為微生物的生長提供了較為充足的營養物質,促進了微生物的生長繁殖,同時也實現了微生物對廢水中有機物質的去除,提高了出水水質。結合預處理后水質情況,實驗后期CSTR反應器容積負荷基本維持在1.32kg/(m3·d)左右運行。對厭氧過程中收集的沼氣進行成分分析發現,主要為CH4、CO2、H2、N2,其中CH4含量最高,占58.9%,CO2含量占13.5%,H2含量占5.3%,N2含量占7.8%。
2.3 好氧SBR單元分析
2.3.1 一級SBR去除SCOD的效果
CSTR厭氧處理單元雖對養鴨廢水達到了良好的處理效果,但出水水質達不到排放標準,所以將厭氧出水采用SBR好氧工藝進行處理。一級SBR對廢水SCOD的去除效果如圖4所示?梢钥闯,第一階段(0~6d)為反應器適應期,此時好氧微生物不斷繁殖增長,去除率不斷上升,然后進入穩定期,去除率在81.5%左右波動。隨后各階段,隨著負荷的不斷升高,進水SCOD濃度也不斷升高,由于進入水中的有機物增多,微生物不能及時將其分解,造成出水SCOD濃度也隨之有所上升,去除率下降,最終趨于穩定。第三~五階段中SCOD去除率最后分別達到78.2%、75.9%、80.6%。最后,進入穩定運行階段,SCOD去除率約為80.6%,出水SCOD濃度為778mg/L。

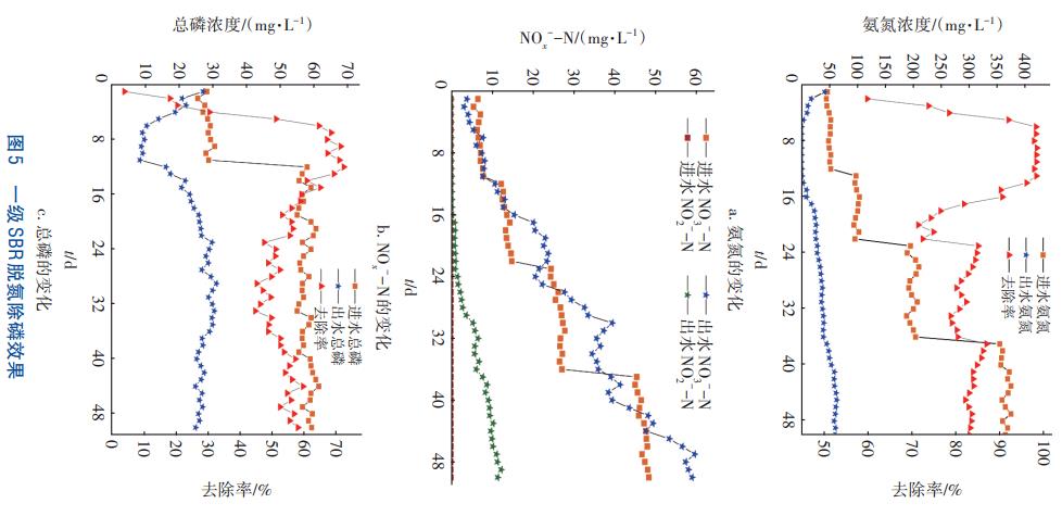
2.3.2 一級SBR脫氮除磷的效果
一級SBR脫氮除磷效果如圖5所示。由圖5(a)可以看出,適應期進水氨氮濃度平均為45mg/L,氨氮去除率不斷上升,并最終趨于穩定,在98.4%左右波動。而后,隨著進水氨氮濃度的不斷升高,第12~36天氨氮去除率呈先下降后上升并最終趨于穩定的變化趨勢。當進水氨氮濃度平均為364mg/L時,去除率最終穩定在83.2%左右。

圖5(b)顯示,進水硝態氮濃度不斷升高,由于硝化細菌的硝化作用,進水穩定后出水中硝態氮和亞硝態氮濃度明顯高于進水。由圖5(c)可以看出,適應期進水總磷濃度平均為28.3mg/L,總磷去除率不斷升高,并最終穩定在67.1%左右。12d之后隨著進水總磷濃度的升高,去除率呈先下降后上升并最終趨于穩定的變化趨勢,當進水總磷濃度平均為59.1mg/L時,去除率最終穩定在58%左右。
2.3.3 二級SBR的運行效果
雖然一級SBR的處理效果較好,但是出水水質仍不能達標排放,所以繼續采用二級SBR進行處理。經過二級SBR處理后,SCOD去除率為54.6%,氨氮去除率為75%,總磷去除率為68.7%,BOD5去除率為68.7%,出水水質得到了進一步提升。
2.4 各工藝單元進出水水質
各工藝單元進出水水質情況見表2。可以看出,經過前期預處理,對SCOD、氨氮、總磷的去除率分別為25.3%、89.7%和98.8%,廢水可生化性得到了明顯提高。預處理后的廢水經過CSTR厭氧處理后,SCOD去除率達到了91.2%。經過兩級SBR處理后,對SCOD、氨氮、總磷、BOD5的去除率分別為91.1%、92.3%、91.3%、94.6%,出水水質得到了明顯改善。

長期實驗結果表明,養鴨廢水經過混凝沉淀—Fenton氧化—吹脫—CSTR—兩級SBR處理后,出水SCOD平均濃度為353mg/L,出水氨氮平均濃度為28mg/L,出水總磷平均濃度為6mg/L,出水BOD5平均濃度為83mg/L,達到了《畜禽養殖業污染物排放標準》(GB18596—2001)要求,并已接近《農田灌溉水質標準》(GB5084—2005)中旱作對水質指標的要求。事實上,在此工藝基礎上,進行相應參數調整,或者進行相應深度處理,出水水質可以達到更高標準。
2.5 藥劑費分析
實驗室階段運行成本主要包括電費和藥劑費,但小試裝置無法準確估算用電量,因此只分析處理過程中的藥劑費。工業用三氯化鐵為2.75元/kg,投加量為0.08kg/m3;聚丙烯酰胺為6.50元/kg,投加量為0.006kg/m3;30%的H2O2為0.60元/L,投加量為3L/m3;硫酸亞鐵為0.08元/kg,投加量為2.28kg/m3;氫氧化鈉為2.28元/kg,投加量為0.4kg/m3;鹽酸為0.30元/L,投加量為0.5L/m3;組合工藝藥劑費用估算為3.30元/m3。
3、結論
①養鴨廢水經過混凝沉淀—Fenton氧化—吹脫預處理后,廢水中SCOD、氨氮和總磷的濃度分別降低了25.3%、89.7%和98.8%。同時,BOD5濃度升高到了22354mg/L,B/C值由0.134提高到0.498,廢水可生化性得到了明顯改善,并對吹脫階段吹脫出的氨氮達到了90%以上的回收率。
②CSTR工藝中,厭氧溫度為37℃、SRT為30d、容積負荷為1.32kg/(m3·d),對SCOD的去除率為89.7%,并可回收厭氧過程中產生的沼氣,CSTR單元對養鴨廢水具有良好的處理效果。
③兩級SBR工藝中,缺氧攪拌2h、曝氣運行5h、靜置30min,出水SCOD平均濃度為353mg/L,出水氨氮平均濃度為28mg/L,出水總磷平均濃度為6mg/L,出水BOD5平均濃度為83mg/L,滿足《畜禽養殖業污染物排放標準》(GB18596—2001)要求,并已接近《農田灌溉水質標準》(GB5084—2005)中旱作對水質指標的要求。(來源:河北工業大學土木與交通學院,中交煤氣熱力研究設計院有限公司)



