各類化工產品的生產使用給環境帶來了較大的影響,環境問題逐漸得到全球廣泛關注。水資源是全球最重要的資源之一,我國作為全球13個人均水資源最貧乏的國家之一,保護水資源、改善水環境刻不容緩。根據住建部《2020城鄉建設統計年鑒》數據,截至2020年我國城市污水處理率為97.53%、縣城處理率為95.05%,而截至2021年我國農村地區生活污水處理率僅為28%,農村和城鎮地區污水處理率之所以相差懸殊,主要是由于城鄉發展不均衡、農村地區污水處理起步較晚、農村居民居住分散,建設收集管網成本較高,且后續運維管理體系不完善等原因造成。為了改善這一情況,推動社會主義新農村和美麗鄉村建設,打好農業農村污染治理攻堅戰,黨和國家制定了一系列政策及方案,推動農村生態文明建設!掇r村人居環境整治提升五年行動方案(2021~2025年)》確定了“十四五”期間農村環境整治的目標,農村人居環境整治提升工作將邁入新的征程。為了改善目前農村生活污水處理難題,本文以廣東某農村地區產生的生活污水為研究對象,探究利用太陽能供能的不同一體化設備在農村生活污水中的實際處理效果及運營成本,分析適用于農村生活污水處理的技術。
1、農村生活污水特點及處理工藝
1.1 農村生活污水來源及特點
農村生活污水主要來源可以分為黑水(包括糞尿及廁所沖洗水)和灰水(洗衣、沐浴和廚房產生的水)兩類,黑水主要含有NH3-N、TN、TP、SS、COD、BOD5,灰水中還含有LAS、動植物油等,基本都不含重金屬元素及有毒有害物質。
我國幅員遼闊,不同農村地區的水資源量與農戶生活條件、生活方式、用水習慣不同,因此污水排放量與排放規律等特點上也有很大差異,且污水日變化系數較高。由于農村居民居住分散,導致管網收集困難,統一收集處理管網成本高,并且農村居民運行管理能力相對較低,無法承擔高的運行費用,但污水可生化性較好,宜采用小型一體化設備處理。
1.2 農村生活污水處理工藝
農村生活污水的分散處理技術,主要包括生態處理及生物處理兩類。其中土地滲濾系統、穩定塘、人工濕地等都屬于生態處理系統。通常來說,生態技術在處理生活污水時,需要較低的水力負荷和有機負荷、較長的水力停留時間和較大的場地,且存在對N、P污染物去除效果不高的問題。生物處理法包括A/O、A2/O等活性污泥法,還有例如膜生物反應器(MBR)和生物膜污水處理工藝,包括生物濾池、生物轉盤、接觸氧化等。與生態處理法相比,生物處理法占地面積小、對污染物處理效率高、處理后出水水質穩定、耐候性強,但基礎設施投資和運行成本均高于生態處理系統。
污水處理一體化設備是將污水處理過程中的各工藝集成為一體,與常規污水處理設施相比,一體化設備前期投資成本和運營成本低、后續運行和操作都更簡便;設備高度集成所需用地面積更小,且可以進行地埋;處理效果穩定且便于檢修拆卸,十分適用于農村分散式污水處理。
1.3 太陽能在農村生活污水中的應用
在能源日益緊缺的當代,污水處理的高能耗已引起人們的關注,低能耗污水處理工藝的開發一直是研究熱點之一。在生物法處理污水時,有機物好氧生物降解量與需氧量之間存在一定的比例關系,生物反應器內活性污泥懸浮也是通過鼓風或設備擾動。雖然改進曝氣裝置和污水處理設備可以提高對氧氣的利用率,但對設備能耗的減少作用有限,并不能從根本上減少電能的消耗。近年來,國內外均在開發新能源,太陽能是公認最具有前途的新能源之一,利用其作為污水處理系統的驅動能源,可以有效減少對常規電能的需求。
2、材料與方法
2.1 污水水質與水量
本研究以廣東某地區不同村作為研究對象,村內暫未建設污水收集管網和污水處理設施。村內污水亂排、加上雨水的未及時排出,導致路面坑洼積水嚴重,道路堆積淤泥嚴重。村民未經處理的生活污水排放至附近的河流、灌溉渠等,造成嚴重的污染。目前,該地區村民的環境保護意識也逐漸形成,對生活環境質量提高意愿強烈,作為農村環境治理有一定的基礎。設計治理范圍內村莊的污水來源主要以生活污水為主,無工業廢水,屬于典型的生活污水,主要污染物為COD、BOD5、氨氮及TP等。鄉鎮農村技術經濟發展水平相對落后,污水處理設施應采用成熟可靠、經濟適用的工藝技術,不僅可以降低工程投資,還有利于污水處理設施的運行管理以及減少污水處理設施的常年運行費用,保證處理設施出水水質。本研究采用MBR與人工濕地(CWS)一體化設備對該區域農村生活污水進行處理,表1為研究范圍內村莊的污水處理設計情況統計。

2.2 工藝流程
2.2.1 MBR一體化設備
MBR一體化設備為鋼結構主體,內外襯三布五油玻璃鋼防腐加工而成,具體尺寸為D×L×H=2.0m×4.0m×2.7m,MBR一體化設備基于AO工藝和膜分離技術結合而成,具有同步硝化反硝化和同步脫氮除磷功能。圖1和表2分別為MBR一體化設備處理流程和主要技術參數,污水排入污水處理系統,先經過格柵去除較大的漂浮物和懸浮物,防止阻塞機電設備;污水經格柵后進入調節池,對水質水量進行調節后進入MBR一體化設備,MBR膜設置于好氧池中,MBR膜池中的膜為中空纖維膜好氧池底部采用微孔曝氣器充氧。污水通過提升泵進入缺氧池中,隨后進入好氧池及MBR膜池,MBR出水流入景觀池后外排至收納水體,設計出水水質為《城鎮污水處理廠污染物排放標準》(GB18918-2002)一級A標準。


MBR一體化設備采用太陽能供電系統,太陽能發電量為3.0kW,結合組件板型尺寸選取型號SYK200-36M,功率為300W,尺寸為1580*808mm的太陽能組件,安裝方式為2排,每排5片。由于污水處理設施斷電后會造成未經處理的污水直接進水水體造成污染,故供電模式采用離網光伏系統-市電互補,本系統太陽能充電與為負載供電同步進行,減少太陽能為蓄電池充電再由蓄電池為負載供電時產生的二次電能損耗;同時市政供電作為備用電源,防止雨季或夜間蓄電池耗盡電力時造成設備斷電,圖2為MBR一體化設備光伏供電系統示意圖。

2.2.2 人工濕地(CWS)一體化設備
CWS一體化設備為不銹鋼結構主體,具體尺寸為B×L×H=2.5m×4.0m×1.4m,CWS一體化設備基于缺氧-厭氧-缺氧-好氧的原理,內部填充填料由下至上分別形成缺氧1、厭氧、缺氧2和好氧環境,高度比為1∶2∶1∶3。通過使用垂直潛流人工濕地技術,采用下進上出的水流方式,在底部設置布水管,在一定程度上保持下層基質的溶解氧,同時在中部增加曝氣系統,利用鼓風機供氣和單孔膜曝氣器曝氣,保持中上層基質的溶解氧濃度,有效去除污水中的有機物、氮磷等污染物質。圖3和表3分別為CWS一體化設備處理流程和主要技術參數,污水排入污水處理系統,先經過格柵去除較大的漂浮物和懸浮物,防止阻塞機電設備;污水經格柵后進入調節池,對水質水量進行調節后進入CWS一體化設備,CWS出水流入景觀池后外排至收納水體,設計出水水質為《城鎮污水處理廠污染物排放標準》(GB18918-2002)一級B標準。


CWS一體化設備采用太陽能供電系統,太陽能發電量為1.8kW,結合組件板型尺寸選取型號SYK200-36M,功率為300W,尺寸為1580*808mm的太陽能組件,安裝方式為2排,每排3片。由于污水處理設施斷電后會造成未經處理的污水直接進水水體造成污染,故供電模式采用離網光伏系統-市電互補,CWS中的機電設備選用直流電機,太陽能發電的直流電可以直接為設備供電,使電路設計更簡單,更高效,本系統太陽能充電與為負載供電同步進行,減少太陽能為蓄電池充電再由蓄電池為負載供電時產生的二次電能損耗;同時市政供電作為備用電源,防止雨季或夜間蓄電池耗盡電力時造成設備斷電,圖4為CWS一體化設備光伏供電系統示意圖。

2.3 研究方法
本研究在廣東某地區A村和B村中進行,進水為當地農村生活用水,MBR及CWS一體化設備運行時間為20h/d,設計進水流量為0.27L/s。MBR一體化設備中污泥接種某城鎮污水處理廠二沉池污泥,在馴化期間,定時觀察設備內微生物狀態和菌膠團長勢,當出水中COD去除率穩定在70%,視為馴化完成;CWS中水生植物選取美人蕉及菖蒲平均種植,栽種4周后,出水中COD去除率穩定在60%以上。本研究在MBR和CWS一體化設備穩定運行30d后開展。
3、運行效果
3.1 MBR處理效果
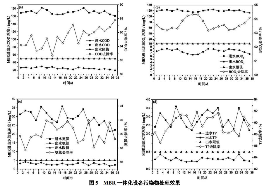
在MBR一體化設備穩定運行一段時間后,對MBR進出水連續進行了約40d的監測,研究MBR一體化設備對農村污水處理的效果及穩定性。圖5為農村生活污水經過MBR一體化設備處理后各污染物去除效果,有圖可知,經過MBR處理后出水COD、BOD5、氨氮及TP等指標均可以穩定達到《城鎮污水處理廠污染物排放標準》(GB18918-2002)一級A標準,其中MBR對COD、BOD5、氨氮及TP的平均去除率分別為85.34%、93.62%、90.10%和89.70%。

3.2 CWS處理效果
在CWS一體化設備穩定運行一段時間后,對CWS進出水連續進行了約40d的監測,研究CWS一體化設備對農村污水處理的效果及穩定性。圖6為農村生活污水經過CWS一體化設備處理后各污染物去除效果,有圖可知,經過CWS處理后出水COD、BOD5、氨氮及TP等指標均可以穩定達到《城鎮污水處理廠污染物排放標準》(GB18918-2002)一級B標準,其中CWS對COD、BOD5、氨氮及TP的平均去除率分別為72.21%、89.74%、66.70%及76.13%。

3.3 太陽能發電效果
對不同氣象條件下太陽能系統發電功率進行研究發現(見表4),氣象條件對太陽能發電功率的影響較大,主要是太陽強度的變化對輸入電壓和太陽能能板充電電流產生影響,在晴天時太陽能發電較穩定,且發電功率維持在較高水平,損失較;在多云環境中,太陽能發電功率有一定的波動,且有較大損失,在陰天和有雨時,太陽能發電量有限,由此可以說明太陽能發電與天氣狀況密切相關。

3.4 效益分析
本研究利用MBR和CWS一體化設備對農村污水進行處理,設備使用太陽能發電系統供能,MBR和CWS一體化設備設計每日最大用電量分別為23.6kW·h和12kW·h,實際運行時,提升泵與鼓風機運行時間與耗電量均低于設計值,且用市電時間多為凌晨用電谷時,電價較低。MBR設備使用太陽能發電實際處理時噸水耗電晴天電約在0.1~0.2kW·h/t,多云約為0.2~0.3kW·h/t,陰雨天約為0.3~0.6kW·h/t;CWS設備使用太陽能發電實際處理時噸水耗電晴天電約在0~0.05kW·h/t,多云約為0.05~0.1kW·h/t,陰雨天約為0.1~0.3kW·h/t。以雨季為例,MBR月噸水耗電平均為0.4kW·h/t,整體噸水耗電成本為0.27元/t;CWS月噸水耗電平均為0.2kW·h/t,整體噸水耗電成本為0.13元/t,遠低于單純依賴市電供能的污水處理設施。
傳統污水處理設施的正常運行依賴人員對其定期進行巡檢、維護,一般污水運營費用在2~5元/t,對于經濟基礎較薄弱、且缺少相關技術人員的農村地區來說,難以承受較為高昂的運營費用。一體化污水處理設備可自動化運行,通過將污水處理數據傳輸到運維平臺,每位技術人員可負責15~20臺設備的日常監控與維護,大量減少人力成本投入,MBR噸水運營費用約0.5~0.8元,CWS噸水運營費用約0.2~0.4元。
利用一體化污水處理設備處理農村生活污水帶來良好的環境效益,按照處理規模計算,MBR每年可削減COD、BOD5、氨氮和TP分別為1.06t、0.82t、0.19t和0.02t;CWS每年可削減COD、BOD5、氨氮和TP分別為0.84t、0.73t、0.09t和0.01t。有效改善當地環境條件,提高農村居民生活質量。圖7為MBR和CWS一體化設備實際應用情況。

4、結論
本研究分別利用MBR和CWS對農村生活污水進行處理,通過對設備進出水水質的檢測分析,對比不同設備對污水的處理效果。研究表明,MBR出水各指標能夠穩定達到一級A標準,相較于MBR設備,CWS對污水中氮磷污染物去除效果較弱,但CWS所需運行費用及建設成本較低,適用于經濟發展水平和出水排放要求相對不高的農村地區。
廣東地區太陽能資源較豐富,本研究發揮農村地區土地優勢,利用太陽能為污水處理設備供電,一方面可有效節省設備運行電耗費用,另一方面也可以在一定程度減少煤炭開采的生態破壞和燃煤發電的水資源消耗和對環境造成的污染,響應“美麗鄉村”建設的號召。(來源:廣東粵康環保股份有限公司)



