隨著國內經濟的快速發展,水體中的污染物不斷增加,飲用水安全風險加劇。面對日益復雜的水體環境以及居民對優質供水的需求,常規的飲用水處理工藝在許多情況下已不能滿足要求。納濾是一種介于超濾和反滲透之間的膜處理工藝,因其對天然有機物(NOM)、硫酸根和硬度離子有良好的截留能力,同時又具有操作壓力低、水通量大的特點從而保證一定的經濟性,近年來在微污染水深度處理中受到越來越廣泛的關注。納濾的截留性能由空間位阻效應、靜電效應及疏水吸附效應決定。實際水體中溶質的種類非常復雜,含量差異極大,溶質間的相互作用或溶質與膜的相互作用往往會影響空間位阻效應、靜電效應及疏水吸附效應,從而影響膜的截留性能,因此實際水體中膜的截留特性往往與實驗室單一配水不同。現有關于納濾的研究大部分為實驗室小試,而實際水體的納濾中試較少,因此納濾在實際水體處理中的截留特性仍然有待探討。
膜污染是納濾過程面對的主要問題之一,主要的類型包括有機污染、無機污染、生物污染和結垢等,由此導致的膜通量下降、膜元件壽命縮短、能耗增加、成本增加等問題是制約納濾大規模用于飲用水深度處理的主要原因之一。膜解剖(Membraneautopsy)研究有助于了解膜表面污染物的組成,并進一步指導預處理和膜清洗,延緩膜污染發生。然而針對中試規模以上的膜解剖研究較少,且大部分研究所用的膜應用于市政污水再生或海水淡化領域。因此,地表水處理中納濾膜的污染特性仍有待研究。
本研究搭建一套納濾中試裝置對地表水廠砂濾池濾后水進行深度處理。該水廠采用湖泊水為水源水,原水中有機物濃度較高,化學需氧量(CODMn)年平均值為4.58mg/L,最大為5.47mg/L。由于存在水產養殖、航運、沿岸的工農業排放等污染源,造成水體中藥品、農藥和個人護理品的污染較為明顯。同時存在季節性氟離子和硫酸根離子濃度超標的問題。現有飲用水處理工藝為常規工藝,對NOM和微量有機物的去除能力較差,對氟離子和硫酸根離子則基本不去除,而納濾恰好具有良好的有機物截留能力和選擇性去除離子的特性。本研究主要考察將納濾用于原水經混凝+沉淀+過濾的常規處理之后的深度處理時的污染物截留特性和膜污染特性以及膜清洗效果。期望通過本研究,探討納濾用于微污染地表水深度處理時的可行性。
1、材料與方法
1.1 納濾中試系統及運行
納濾系統采用兩支DF30膜串聯運行(見圖1),DF30屬于疏松型納濾膜,截留相對分子質量為200~300,單支膜面積為37m2。為避免納濾膜受機械性損傷,在納濾膜系統前設置保安過濾器,過濾精度為5μm。在保安過濾器前、保安過濾器之后、納濾膜前和納濾產水側分別安裝壓力計,壓力計的初始值分別為1.4bar(1bar=0.1MPa)、1.4bar、1.6bar、0bar。中試時間為2017年9月~2018年1月,中試地點位于黃淮平原某地表水廠,水源水為湖泊水,現有工藝為原水→混凝→沉淀→過濾→消毒。納濾裝置進水來自于水廠砂濾池濾后水,濁度為0.4NTU左右。為提高系統回收率將部分濃水回流至進水側循環處理。試驗開始時調節過濾壓力,使初始系統產水量為1m3/h,對應膜通量為27L/(m2•h)調節濃水外排閥門,使初始得水率為80%,運行過程中不再對過濾壓力和得水率進行調整。

裝置運行期間,納濾系統進水和產水的溫度、pH、電導率、濁度和UV254每天測定1次,硫酸根、氯離子、氟離子、TOC、硬度、CODMn濃度每周測定1次,鈣、鎂、鈉、鉀、微量有機物濃度每2周測定1次。為便于后續膜解剖實驗以準確表征膜表面污染物,運行前3個月,未對膜進行化學清洗。在對膜污染進行表征后,通過監測標準化產水量(將水溫換算到25℃下產水量)的變化來確定是否進行化學清洗,當標準化產水量下降15%時,即進行化學清洗來控制膜污染。
1.2 納濾膜表面污染物提取
為充分提取膜表面污染物,采取超聲的方式對膜表面污染物進行提取。剪裁5cm×5cm納濾膜,置于100mL超純水中,在25℃條件下超聲10min后再放入搖床中震蕩10min,重復進行3次直至膜表面污染層完全脫落。洗脫液經0.45μm濾膜過濾后測定ATP、多糖、蛋白質和腐殖質含量,并檢測其熒光特性。ATP的測試方法參照文獻,多糖采用苯酚法測定,蛋白質和腐殖質采用改進的Lowry法測定。
1.3 納濾膜化學清洗
為尋找合適的清洗方法,首先在實驗室取受污染的膜片,以死端過濾方式測定膜通量,過濾壓力為0.3MPa。受污染膜片的初始通量記為Jf。將一系列受污染的膜片放入150mL清洗液中,搖床震蕩18h。測定清洗后膜的通量,記為J。以J/Jf的比值來判斷膜清洗的效果。J/Jf的比值越大,說明膜通量恢復越多,清洗效果越好。分別考察堿性清洗液(氫氧化鈉溶液)、酸性清洗液(鹽酸溶液)、乙二胺四乙酸(EDTA)和十二烷基硫酸鈉(SDS)對膜通量的恢復效果。
1.4 分析方法
濁度使用濁度儀(HACH2100N)測定,電導率使用電導率儀(雷磁DDS-307A)測定,UV254使用紫外分光光度計(MAPADAUV-1800)測定,總有機碳(TOC)使用總有機碳儀(島津TOC-Vcph)測定,陰離子采用陰離子色譜(Metrohm761)測定,陽離子采用ICP-MS(ThermoIRIS,USA)測定。三維熒光光譜采用日立F-7000熒光分光光度計測定。掃描電子顯微鏡(SEM)(Quanta200F,FEI,USA/Merlin,Zeiss,Germany)用以表征膜污染層表面形貌,X射線光電子能譜(XPS)(ESCALAB250Xi,ThermoFisher,USA)用以測定污染層表面元素組成。
2、結果與討論
2.1 納濾進水水質
運行期間納濾進水pH的平均值為7.6,電導率平均值為1031μS/cm,TOC濃度平均為4.77mg/L,CODMn含量平均為3.08mg/L,有機物含量偏高,氟離子濃度平均為0.88mg/L,略低于1mg/L的限制值(見表1)。

2.2 納濾系統運行中主要參數變化情況
納濾系統的水滲透系數定義為單位壓力下膜通量,如式(1)所示:

式中A———納濾系統的水滲透系數,LMH/bar;
J———過濾通量,L/(m2•h);
ΔP———過濾壓力,bar。
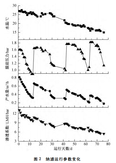
在近3個月的連續運行過程中,產水量(初始產水量為1m3/h)呈逐漸下降趨勢,如圖2所示。這是由3方面的原因導致。第一方面運行過程中膜受到較嚴重污染,膜阻力增加;第二方面由于水溫從27℃下降至15℃導致水的粘度從0.86×10-3Pa•s上升至1.14×10-3Pa•s;第三方面是由于前置保安過濾器污染造成保安過濾器處水頭損失增大(運行至第15天,從0上升至0.8bar(1bar=0.1MPa),導致膜前壓力降低,更換新的保安過濾器后,膜前壓力上升并恢復至初始水平,產水量相應上升;剔除掉溫度和膜前壓力變化的影響,以納濾系統的水滲透系數來衡量膜受污染程度,結果表明納濾系統的水滲透系數從13.1LMH/bar下降至5.5LMH/bar,因此亟需對膜表面污染進行分析,識別關鍵污堵物質,從而對預處理及膜清洗提供針對性指導。

2.3 納濾中試裝置的處理效果
圖3為納濾中試裝置運行過程中的處理效果,其中電導率、UV254的截留率為113個樣品的平均值,TOC、硬度、CODMn、硫酸根、氯離子、氟離子的截留率為16個樣品的平均值,鈣、鎂、鈉、鉀的截留率為10個樣品的平均值。

DF30對UV254和TOC的平均去除率分別為95%、94%,表明DF30對天然有機物有非常好的去除效果。
DF30對硫酸根離子的截留率在84%~90%,平均為87%,對氟離子的截留率在-3%~16%,平均去除率7%,對氯離子的去除率在-10%~-4%,平均去除率為-7%。DF30對不同價態陰離子截留效果不同,截留率SO2-4>F->Cl-,這是因為DF30在pH中性水溶液中帶負電,而進水pH約為7.5,因此DF30對帶陰離子有靜電排斥作用,電荷數越高排斥作用越大,因此對硫酸根截留率很高。同時,由于空間位阻效應,納濾膜對價數相同離子的截留率也不相同,離子半徑越小,膜對該離子的截留率越小,因此對氟離子的截留率稍高于氯離子。氯離子截留率為負的原因是因為DF30對硫酸根離子截留率較高,為了保持產水中電荷中性,當陽離子透過通量一定的情況下,與硫酸根離子相比,氯離子更易過膜達到電中性,單位時間內更多氯離子透過納濾膜進入到產水側,從而導致產水側氯離子濃度升高。注意到DF30對鎂的截留率在36%~48%,平均為45%,對鈣的截留率與鎂相近,在34%~49%,平均為45%,對鈉的截留率在5%~30%,平均為18%,對鉀的截留率在8%~20%,平均為17%。總體上截留順序為Ca≈Mg>Na≈K,一方面靜電作用會促使鈣、鎂離子更多透過納濾膜,而另一方面空間位阻效應和介電效應更利于鈣、鎂離子的截留,三者的綜合作用下最終呈現出Ca≈Mg>Na≈K的截留順序。對比前人的研究結果,王智等使用DF30過濾單一NaCl溶液,截留率在30%~40%,過濾單一CaCl2溶液,截留率在45%~50%。而在本中試中,氯離子和鈉的截留率要遠低于在單一溶液中的截留率。由此可見,實際水體中納濾膜的截留特性與單一溶液有較大區別,通過單一溶質的試驗往往無法準確預測實際水體中的截留率。
DF30進水中檢出4種微量有機物,分別是西瑪津(simazine)、阿特拉津(atrazine)、稻瘟靈(isopro-thiolane)和咖啡因(caffeine)(見表2)。總體上DF30對微量有機物有較好的去除效果,平均為65%。進水中濃度最高的微量有機物為阿特拉津,平均含量為514.5ng/L,DF30處理過后出水阿特拉津含量平均為238.8ng/L,平均截留率53.6%。DF30對稻瘟靈的截留率最高,平均為82%,這可能與稻瘟靈具有較高的分子質量,導致膜的空間位阻效應更加明顯。

2.4 保安過濾器污染分析
圖4a為污染后的保安過濾器,肉眼可以看到保安過濾器表面遍布污染物,顏色呈深褐色。從SEM的結果(圖4b)可以看到污染物密集分布在保安過濾纖維上,因此導致過濾阻力加大,致使保安過濾器處壓差從0上升至0.8bar。選取區域1和2進行EDS分析(見圖4c和圖4d),污染物元素組成中含有較多的氧、硅、鋁以及少量鈣、鐵等元素,推測污染物無機組分主要為硅鋁酸鹽和二氧化硅。硅鋁酸鹽和二氧化硅是水體中常見的無機膠體,水廠的砂濾后水的濁度較高,在0.4NTU左右,說明砂濾工藝無法將硅鋁酸鹽和二氧化硅等無機顆粒物完全去除,從而沉積在保安過濾器表面造成污堵。

2.5 DF30膜污染分析
對污染的DF30納濾膜進行解剖,膜表面污堵形態如圖5a所示,納濾膜表面覆蓋著一層黃褐色污堵層,表面潮濕且有滑膩的觸感。SEM結果可以看出納濾膜表面覆蓋著一層致密的凝膠狀物質,同時有少量的晶體狀物質(見圖5b)。進一步借助XPS判斷整體污染層主要元素組成,XPS掃描面積為0.5mm×0.5mm。從XPS結果來看,污染層主要元素組成為碳、氧和氮,其原子百分比分別為59.2%、30.7%和6.5%,3種元素占比超過97%,同時還包含了少量鋁、硅等元素,占比分別為1.3%和0.7%。可以得出,有機污染是膜表面主要污染形式,同時含有少量的二氧化硅或硅鋁酸鹽無機污染物。

為定量分析膜表面有機物的組成,將膜表面污染物洗脫,使用分光光度法對洗脫液中污染物的含量進行測定。結果表明,多糖為膜表面主要污染物質,其含量為1.77g/m2,蛋白質類物質次之,含量為0.89g/m2,腐殖質的含量為0.37g/m2。證明多糖和蛋白質是主要的有機污染物。在納濾進水中測得多糖的含量為6.05mg/L,蛋白質的含量為6.89mg/L。Her等對法國Mery-sur-Oise水廠的納濾膜污染表征也發現多糖和蛋白質為主要的有機污染物,而腐殖質并非主要有機物,原因在于腐殖質具有較低的疏水作用和較高的靜電排斥作用。Lopes等對連續運行2個月的用于飲用水處理的納濾膜表征結果發現多糖和蛋白質為主要污染物,其含量分別為0.31g/m2和0.16g/m2,低于本試驗的結果,可能因為其進水TOC含量較低,為3mg/L左右,而本試驗中進水TOC的濃度約為5mg/L。
對污染層的超聲洗脫液進行三維熒光分析(見圖6),Ex=275mm、Em=340mm的熒光峰表明污染層中存在微生物代謝產物,可能為類蛋白物質或色氨酸,可以推斷膜受到一定程度生物污染,Ex=220、Em=330處的熒光峰表明污染層中存在芳香族蛋白質,熒光信號未見明顯類富里酸峰和類腐殖酸峰,而納濾進水的熒光表明進水中主要存在芳香族蛋白質、微生物代謝產物、類富里酸和類腐殖酸物質,表明類富里酸和類腐殖酸物質在污染物中占比較低,這與上述化學方法測定結果一致。污染層洗脫液的ATP測定結果為20.3ng/cm2,前人的研究中,普遍污染層中ATP在0~100ng/cm2,故認為納濾膜發生了中等程度的生物污染。

納濾的通量下降情況和膜污染分析結果表明納濾膜受到較重的污染,這與所采用的前處理方式和效果相關。本中試的前處理為單層石英砂濾池過濾,濾料有效粒徑d10為0.96mm,d80為1.60mm,濾料層厚度為1.35m,砂濾出水濁度為0.4NTU左右,TOC為5mg/L左右,相對偏高,由此可能導致膜污染速率較快,因此在本文的水質條件和預處理效果下,砂濾不適宜作為納濾的前處理。但前人的研究結果表明,砂濾作為納濾的前處理獲得了較好的膜污染控制效果,法國Mery-sur-Oise水廠以砂濾和無煙煤雙層濾料濾池作為納濾膜的前處理方式,濾池出水濁度小于0.05NTU,DOC為2.1mg/L,納濾膜通量在運行1年的時間里下降15%~20%,下降幅度較小,表明預處理效果較好。
針對膜污染,一方面需要提高預處理效果;另一方面,尋找合適的清洗方式也是控制膜污染的重要手段之一。
2.6 DF30化學清洗
分別采用pH=2的鹽酸溶液、pH=12的氫氧化鈉溶液、濃度為5mmol/L的EDTA溶液(pH=12),濃度為5mmol/L的SDS溶液(pH=12)進行清洗。清洗效果如圖7所示,表明EDTA>SDS>NaOH>HCl。由之前對膜污染的分析結果來看,膜污染以有機污染為主,因此堿洗的效果要大大優于酸洗。

EDTA+NaOH的清洗效果最好,這得益于堿性pH和EDTA絡合的雙重作用。EDTA可以通過配體交換反應絡合鈣/鎂等金屬離子,破壞有機物與鈣離子形成的交聯結構,使得膜表面污染層松散,進而提高清潔效果。
分別采用不同濃度的SDS和EDTA溶液進行清洗,結果如圖8所示。SDS可以通過形成膠束溶解大分子物質,具有兩親特性,可通過疏水性的尾部吸附有機物,增加有機污染物親水性,破壞污染層交聯結構。在使用低濃度(1mmol/L)的SDS溶液清洗時,清洗效果不明顯,可能是由于SDS不足以破壞有機物與Ca2+形成的分子間橋接。在SDS濃度為10mmol/L或更高時,清洗效果大幅提高。SDS的臨界膠束濃度在20℃下的去離子水中為8.36mmol/L,推測在高于臨界膠束濃度下,SDS形成的膠束能大幅破壞有機物與Ca2+的交聯結構,進而提高清洗效果。

在不同濃度EDTA下,清洗效果基本相同。可能是使用的EDTA量相對于污染層Ca2+量處于過剩狀態,在充分的清洗時間(18h)里,EDTA能與Ca2+充分絡合,使污染層失去交聯結構。
圖9對比了不同pH對清洗效果的影響,結果表明EDTA的清潔效果受pH的影響更大,提高pH一方面增強溶液堿性,有利于促進有機物溶解,另一方面提高EDTA去質子化程度,從而提高螯合能力。

基于上述實驗室結果,在中試現場首先采用堿mmol/L)的方式對膜進行清洗,過程包括用清洗液循環沖洗30min,排放掉清洗初期污染物含量較高的水,后在清洗液中浸泡18h,最后再循環沖洗30min。清洗后膜標準化產水量由0.3m3/h左右恢復至0.78m3/h。在此基礎上進一步采用EDTA和SDS聯合清洗(清洗pH=12,EDTA濃度為5mmol/L,SDS濃度為10mmol/L),清洗過程同上述堿洗+EDTA的方式。清洗后標準化產水量恢復至0.92m3/h,與初始標準化產水量1m3/h接近。因此,在膜污染發生后采用上述清洗方式可以較好地清除污染,恢復膜通量。
2.7 DF30運行成本
DF30運行耗電量為0.56(kW•h)/m3,按照電費0.6元/(kW•h)計算,DF30產水電費為0.34元/m3。DF30運行過程中產水藥耗為0.02元/m3。總體DF30運行成本為0.36元/m3,具備較好的經濟性。
3、結論
DF30納濾膜能有效去除水中各類有機物,同時保留一定的鈣鎂等對人體有益的離子。DF30對TOC的平均去除率為94%,對電導率的平均去除率為28%。DF30對不同價態離子截留效果不同,截留率SO2-4>F->Cl-,對SO2-4的平均截留率為87%,對F-的平均去除率7%,對Cl-平均去除率為-7%。另外,DF30對微量有機物有較好的去除效果。
近3個月的連續運行過程中納濾系統的水滲透系數從13.1LMH/bar下降至5.5LMH/bar,納濾膜發生較重的膜污染,表明在本文的水質條件和預處理效果下,砂濾不適合作為納濾的預處理。通過對膜解剖發現,DF30膜污染主要為有機污染,污染層中碳、氮、氧3種元素占比97%以上,同時污染層中發現少量二氧化硅、硅鋁酸鹽晶體及微生物細胞。有機污染成分中含量最高的是多糖和蛋白質,分別為1.77g/m2和0.89g/m2,而腐殖質含量相對較少,為0.37g/m2,證明多糖和蛋白質為主要的有機污染物。污染層ATP含量為20.3ng/cm2,表明發生了中等程度的生物污染。在堿性條件采用EDTA+SDS的清洗方式能有效恢復膜通量,延緩膜污染發生。
DF30運行耗電量為0.56kW•h/m3,產水藥耗為0.02元/m3。DF30運行成本約為0.36元/m3,總體具備較好的經濟性。(來源:清華大學環境學院環境模擬與污染控制國家重點實驗室,成都興蓉環境股份有限公司,美國賓州州立大學州府學院環境系)



