西部某薄膜太陽能電池生產企業主要生產玻璃基銅銦鎵硒薄膜太陽能電池,生產過程中產生含鎘廢水。排放到水體的鎘離子及其化合物即使濃度低,也可在藻類和底泥中積累,被水體中魚、貝類和蝦蟹類吸收,通過食物鏈濃縮,最終可能進入人體,從而造成公害。鑒于該企業位于長江上游,臨近魚類保護區,提出含鎘廢水零排放要求。
1、含鎘廢水來源及特點
1.1 含鎘廢水來源
玻璃基銅銦鎵硒薄膜太陽能電池具有多層膜結構,包括窗口層(ZnO)、過渡層(CdS)、光吸收層(CIGS)、金屬背電極(Mo)、玻璃襯底等。
該企業在生產過程中,硫化鎘過渡膜層采用化學水浴法制備,生產中稱為CBD工序。具體操作是控制60~80℃的水浴條件,在氨水形成的堿性環境中,利用絡合分解反應將原料硫酸鎘引入的Cd2+,通過絡合物載體與硫脲中的硫形成新的化合物沉積層(CdS沉積層),從而形成過渡膜層。
反應原理如下:

含鎘鍍膜液在每批次鍍膜后需全部更換以滿足生產要求,鍍膜后采用純水對膜層進行清洗。含鎘廢水主要來自排放的含鎘鍍膜液和鍍膜后的清洗過程。
1.2 含鎘廢水特點
含鎘鍍膜液和膜層清洗廢水水量相同,但水質差異較大,含鎘鍍膜液和膜層清洗廢水中各污染物濃度比可達10:1~20:1。廢水中主要污染物鎘、氨氮、COD濃度均較高,其中含鎘鍍膜液中鎘濃度>10mg/L、氨氮濃度>3000mg/L、COD濃度>3000mg/L,廢水可生化性較差。
2、含鎘廢水零排放技術方案的選擇
2.1 概述
目前國內外重金屬廢水處理技術主要有沉淀法、離子交換法、膜分離法、生物法和吸附法等。每種方法各有優、缺點,采用單一的處理方法可以實現出水的達標排放,如唐鵬飛等人采用混凝沉淀法處理含鎘廢水,處理后廢水中的鎘濃度可達到《污水綜合排放標準》(GB8978-1996)的排放限值要求。但重金屬廢水的零排放很難通過單一的處理方法實現。近年來,電鍍行業等重金屬重點排放行業已開展了相關重金屬廢水零排放技術研究,且已有工程實踐供借鑒。目前重金屬零排放均采用多種處理方法的組合工藝,如廣州市番禺區某鍍鋅企業,采用“超濾+反滲透+離子交換”組合工藝,實現了廢水零排放。福建某液壓件電鍍廠采用“化學沉淀+膜分離+蒸發濃縮”組合工藝,實現了含鉻廢水零排放。目前國內外重金屬廢水零排放技術中,膜過濾+蒸發濃縮的工藝路線較為成熟,應用廣泛。
2.2 含鎘廢水零排放方案
該企業計劃將含鎘廢水處理后用做純水制備原水。采用膜過濾工藝保證回用水水質;膜過濾濃縮廢水中的重金屬再經蒸發工藝轉移至蒸發系統的殘液中,做固廢處置,從而實現重金屬廢水的零排放。
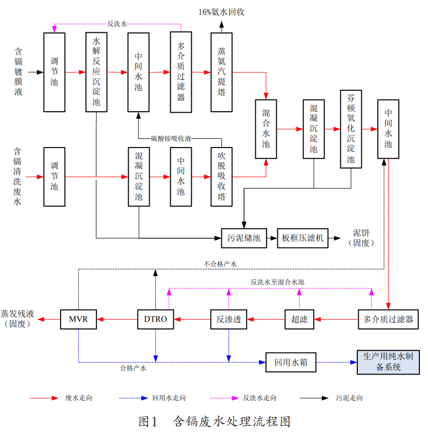
同時,該企業含鎘廢水中鎘、氨氮的濃度較高,且硫脲沸點較高,直接進行膜過濾及蒸發濃縮處理,將導致膜堵塞及污染,對蒸發器影響也較大,無法實現零排放,故需將廢水中的鎘、氨氮、硫脲進行有效的預處理,滿足進膜系統的水質要求,再經三級膜過濾(超濾+反滲透+DTRO)處理確保出水水質穩定、提高回用水產水率、減少蒸發廢水量,降低后續蒸發成本。具體的廢水處理工藝流程如圖1所示。

2.3 廢水處理原理
2.3.1 除氨
廢水中的氨一般以氨離子(NH4+)和游離氨(NH3)兩種形式保持平衡的狀態存在。其平衡關系如下式所示:

這一平衡關系受pH值的影響,當pH值高時,平衡向左移動,游離氨(NH3)占的比例較大,氨易逸出。同時對廢水采用蒸汽加熱,可促進氨從廢水中更好逸出,達到廢水脫氮的目的。某催化劑廠采用蒸氨汽提法處理生產含氨廢水(初始濃度1700-1900mg/L),出水氨氮濃度可控制在15mg/L,處理效率可達99%以上。
2.3.2 除鎘
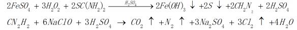
通過與硫化物和氫氧化物發生化學反應,將廢水中呈溶解態的鎘離子轉變為難溶于水或不溶于水的硫化鎘、氫氧化鎘化合沉淀物,再經沉淀、過濾去除含鎘沉淀物。但硫化鎘和氫氧化鎘在廢水中的顆粒較細,難以沉淀,需同步投加絮凝劑加速沉淀。

2.3.3 除硫脲
硫脲為難生物降解的有機污染物,采用芬頓法將其去除。芬頓工藝在水處理中的主要作用體現在對有機物的氧化和混凝兩個方面。對有機物的氧化作用是指H2O2與Fe2+作用,生成具有極強氧化能力的羥基自由基·OH而進行的游離基反應;另一方面,反應生成的Fe(OH)3膠體具有絮凝、吸附功能,也可以去除水中部分有機物。芬頓氧化工藝可將廢水中的硫脲最終氧化為氮氣和二氧化碳。

2.3.4 反滲透膜過濾
反滲透是滲透作用的逆過程,一般指借助外界壓力的作用使溶液中的溶劑透過半透膜而阻留某種或某些溶質的過程。用于反滲透的半透膜表面微孔尺寸一般在1nm左右,能去除絕大部分離子、質量分數90%~95%的溶解固形物、95%以上的溶解有機物、生物和膠體以及80%~90%的硅酸,因此反滲透處理的出水凈化程度高,能滿足回用要求。在處理重金屬廢水時,反滲透的截留機理主要是篩分機理和靜電排斥。
2.3.5 蒸發濃縮
利用蒸汽將廢水加熱,使廢水中水與鹽分分離,以提高廢液濃度,減少廢液量,回收蒸餾水。
2.4 主要處理工藝解析
2.4.1 預處理除氨
調節廢水pH值至11,廢水中離子態氨(NH+4)向游離氨(NH3)轉化,在廢水中通入蒸汽的作用下,氨從廢水中逸出并不斷提濃,轉化為濃度為16%的氨水,氨水外售再利用;脫氨后廢水氨氮濃度降至35mg/L,進入混合水池。
2.4.2 預處理除鎘
含鎘廢水中的硫脲在堿性及高溫(60℃)條件下,大部分分解生成硫化鈉,產生的硫化鈉和廢水中的金屬鎘形成硫化鎘,在該堿性條件下,金屬鎘與OH作用轉化為氫氧化鎘沉淀,同步投加PAM絮凝劑提高混凝沉淀效果,去除50%的鎘,減少高濃度鎘對蒸氨汽提塔的影響。在進入膜系統前,向混合廢水投加重金屬捕捉劑、PAM等進一步除鎘,確保進入膜系統的鎘濃度控制在0.05mg/L以下。
2.4.3 預處理除硫脲
水解池中加熱加堿分解原水中的大部分硫脲,再采用芬頓氧化工藝將廢水中殘余的硫脲氧化為氮氣和二氧化碳,將最終進入膜處理系統的COD控制在30mg/L以下。
2.4.4 膜過濾+蒸發濃縮
膜過濾和蒸發濃縮是實現廢水零排放的關鍵工段。混合廢水經多介質過濾器的過濾攔截作用去除大部分SS后進入超濾,大于超濾膜膜孔的微粒、膠體等進一步去除,保證反滲透進水水質。廢水經過反滲透膜,出水可滿足《生活飲用水衛生標準》(GB5749-2006)水質要求,進入回收水箱,反滲透濃水提升進入DTRO裝置進一步濃縮減量,以減少后續MVR蒸發廢水量,節約投資及運行費用。DTRO和MVR裝置出水均進入回收水箱,實現廢水的零排放。
3、廠區中水回用方案
3.1 重金屬廢水中水回用
含鎘廢水經過反滲透膜過濾,鎘濃度可降至0.005mg/L以下,滿足《生活飲用水衛生標準》(GB5749-2006)中的水質要求,作為純水制備系統原水,經純水系統處理后回用于生產。鑒于該中水由含鎘廢水制備而來,僅將其回用于CBD工序(涉鎘工序),不與其他生產用水混合,不足部分由自來水補充,實現重金屬廢水在CBD工段的閉路循環。
3.2 其余清洗廢水中水回用
該企業銅銦鎵硒太陽能電池生產過程中,除CBD工序涉鎘外,其余清洗工序均為純水清洗,不添加化學藥劑,廢水污染物以SS為主,不含鎘等污染物,采用混凝沉淀+多介質過濾進行處理,處理后的廢水回用于冷卻塔補水。

3.3 中水回用效果分析
該企業生產用純水制備原水的需求量為2262m3/d,冷卻塔補水需求量為1440m3/d。生產過程產生的含鎘廢水量為484m3/d,一般清洗廢水產生量為1083m3/d。中水回用方案實施后,含鎘廢水全部回用于CBD工序純水制備系統原水,一般清洗廢水全部回用于冷卻塔補水,可節約新水用量1551m3/d,減少外排廢水量1567m3/d,重金屬廢水可實現零排放。
4、運行中關注的問題
為確保重金屬廢水在具體工程實施中的零排放效果,結合項目特點,建議關注以下問題,并做進一步優化:
(1)鎘的有效預處理問題:硫化鎘、氫氧化鎘顆粒直徑均較細,難以較快沉淀去除,除添加絮凝劑外,更要尋找適宜的重金屬沉淀劑,以確保對鎘較好的預處理效果,滿足進膜系統水質要求。
(2)生產線運行穩定問題:薄膜太陽能電池生產用水水質要求較高,為確保處理后回用于生產線的中水不對生產造成沖擊,要嚴格控制中水水質。對各回用水水質進行嚴格的在線監測,當鹽分等污染指標超出設計要求時,進入廢水處理系統進行處理,不得進入回用水箱。
(3)氨的回收再利用問題:銅銦鎵硒薄膜太陽能電池在生產中消耗大量氨水,且均以污染物形式產生。建議將蒸氨汽提回收氨水進一步濃縮純化,以復用于生產,減少原料消耗,降低運行成本。
5、結論
(1)薄膜太陽能電池生產中引入的重金屬污染將成為其繼續發展的掣肘,重金屬廢水零排放將成為其繼續發展的有效突破口。
(2)通過膜過濾將重金屬廢水濃縮,濃縮廢水中的重金屬經蒸發工藝轉移至蒸發系統的殘液中,做固廢處置;膜過濾產水作為回用水再利用,從而實現重金屬廢水的零排放技術可行。
(3)重金屬廢水的零排放,可從源頭上控制重金屬向水環境的排放,同時提高企業的水循環利用率,降低資源消耗,是減輕廢水重金屬污染的重要手段,也符合可持續發展的需要。(來源:信息產業電子第十一設計研究院科技工程股份有限公司)


