重金屬廢水來源于有色金屬的生產、電鍍、采礦、化工等部門,主要來自礦山排水、廢石場淋浸水、礦場尾礦排水、有色金屬冶煉廠排水、有色金屬加工廠酸洗水、電鍍廠酸洗水等。隨著我國工業的迅速發展,對污水處理排放監管不夠嚴格,導致大量重金屬廢水排入水體,對生態環境及生物圈的平衡造成了嚴重的危害。重金屬廢水進入河道之后,部分重金屬離子及其化合物會被水體中的懸浮顆粒物吸附產生沉淀,會導致水體的長期污染。銅的冶煉、加工和電鍍過程會產生大量的含銅廢水,如不經處理直接排入水體,必然會對水環境或人體健康造成危害。目前常見的含銅廢水處理方式有化學沉淀法、電解法、離子交換法、吸附法等。
凹凸棒土是一種具鏈層狀結構的含水富鎂硅酸鹽黏土礦物,具有獨特的分散、耐高溫、抗鹽堿等膠體性質,且其脫色能力、可塑性、黏合力都非常優異。美國和日本對凹凸棒土的研究比較深入,開發利用程度較高,已在催化劑、吸附材料、涂料、黏合劑等領域形成市場。目前,我國已探明的礦床中以盱眙地區礦的品味最高且儲量最大,盱眙地區探明的優質凹凸棒土儲量在6700萬t以上,可用的凹凸棒黏土量達5億t。由于我國的凹凸棒土發現較晚,對于已知的礦床成分研究不夠,對其的開發利用程度較低,以原礦利用為主,產品的附加值及技術性開發不夠。Fan等研究了凹凸棒土和檸檬酸三銨改性凹凸棒土對Ni2+的吸附表明,檸檬酸三銨改性凹凸棒土較凹凸棒土表現出更優的吸附效果,在低pH下為離子交換或外配位作用,而在高pH下為外配位作用和表面沉淀。符浩等研究含氮硅烷偶聯劑γ-氨丙基三乙氧基硅烷改性凹凸棒土發現,酸活化可增加凹凸棒土吸附材料的孔道直徑,使吸附速度加快,而硅烷偶聯劑對凹凸棒土的改性,提高了其對汞離子的吸附效果,最大吸附量從改性前的3.8mg/g提高到92.6mg/g。Chen等討論了經活性處理的凹凸棒土的吸附性能,通過加酸和加熱2種途徑對凹凸棒土進行改性,結果表明,加酸處理中隨著鹽酸濃度增加,凹凸棒土的比表面積越大,吸附性能越好,加熱處理中隨著溫度上升,比表面積和吸附性能呈先上升后下降的過程。用酸改性的凹凸棒土吸附銅溶液發現,酸處理使凹凸棒土表面活性硅羥基增多,其可能是凹凸棒土吸附性能增加的原因。筆者利用凹凸棒土在吸附、脫色、熱穩定等方面具有突出性能的特點,探索改性處理后的凹凸棒土對含銅廢水的處理效果及吸附反應機理,以期為凹凸棒土處理實際廢水提供理論依據。
1、材料和方法
1.1 儀器與材料
試劑:鹽酸、硝酸、硫酸、氯化銅、氯化銨、氨水、乙二胺四乙酸二鈉、檸檬酸銨、三水合二乙基二硫代氨基甲酸鈉、四氯化碳,均為分析純。
儀器:HA-CA水浴恒溫振蕩器,紫外可見分光光度計等。
1.2 預處理
1.2.1 凹凸棒土的預處理
將凹凸棒土樣(取自江蘇盱眙)放入容量瓶中用蒸餾水浸泡1~2h,經濾紙過濾后取出土樣洗滌3~5次,去除土樣中的砂礫及雜質,將洗凈的土樣置于烘箱內,在100℃條件下,烘干2h取出,用研缽將土樣研磨成粉末狀,經100目過篩后,密封保存待用。
1.2.2 凹凸棒土的改性處理
分別配制1、3和5mol/L的鹽酸、硫酸和硝酸溶液,各取200mL,分別加入經預處理的凹凸棒土24g,置于恒溫攪拌器上攪拌1h,攪拌的溫度為20℃。濾出凹凸棒土,并用去離子水洗滌3~5次,至洗滌水呈中性,置于烘箱內在200℃下烘干3h,烘干后的酸改性凹凸棒土用密封袋保存待用。
1.3 試驗
以實驗室配置的含銅廢水為研究對象,采用靜態吸附試驗研究改性凹凸棒土對廢水中銅離子的吸附性能,并考察反應溫度、凹凸棒土投加量、反應時間等因素對吸附效果的影響,探討凹凸棒土對含銅廢水的吸附動力學。
1.3.1 廢水中銅離子濃度的測定
銅離子濃度的測定采用HJ485—2009《水質銅的測定二乙基二硫代氨基甲酸鈉分光光度法》。標準曲線的制定步驟:
1)取50mL蒸餾水置于分液漏斗中,加入10mL的EDTA-檸檬酸銨溶液,50mL的氯化銨-氫氧化銨緩沖溶液,搖勻,此時溶液的pH約為9,加入5mL的二乙基二硫代氨基甲酸鈉溶液,搖勻,靜置5min后準確加入10mL的四氯化碳溶液,并振蕩不少于2min,靜置使其分層,待顯色分離后,在1h內取顯色液置于10mm的比色皿中,在440nm處測定吸光度,做為對照。
2)在分液漏斗中分別加入0、2.00、3.00、5.00、6.00mL的銅標準溶液,對應的銅濃度為0、10.00、15.00、25.00、30.00μg/L,分別加入蒸餾水定容至50mL,配制成校準溶液,重復步驟1,以四氯化碳為參比分別測定各顯色液的吸光度。取2次試驗的平均值,并根據測定的吸光度繪制標準曲線,如圖1所示。

1.3.2 試驗方案
(1)不同酸改性條件對吸附效果的影響。分別取不同酸改性條件下的凹凸棒土0.6g加入100mL濃度為100mg/L的模擬含銅廢水中,在20℃水浴條件下恒溫振蕩30min,取5mL的水樣,測定溶液中銅離子濃度。
(2)反應時間對吸附效果的影響。取100mL濃度為100mg/L的模擬含銅廢水于錐形瓶中,加入改性凹凸棒土0.6g,在20℃水浴條件下恒溫振蕩,每隔10min取5mL水樣,測定溶液中的銅離子濃度。另取100mL濃度為100mg/L的模擬含銅廢水,在相同試驗條件下,每隔5min取5mL水樣,測定銅離子濃度。
(3)凹凸棒土投加量對吸附效果的影響。取100mL濃度為100mg/L的模擬含銅廢水于錐形瓶中,分別加入改性凹凸棒土0.2、0.4、0.6、0.8g,在20℃水浴條件下恒溫振蕩,每隔5min取5mL水樣,測定溶液中銅離子濃度。
(4)反應溫度對吸附效果的影響。取100mL濃度為100mg/L的模擬含銅廢水于錐形瓶中,加入改性凹凸棒土0.6g,分別在20、30、40℃水浴的條件下恒溫振蕩,每隔5min取5mL水樣,測定溶液中銅離子濃度。
2、結果與討論
2.1 不同酸改性條件對凹凸棒土吸附效果的影響
不同酸改性條件下凹凸棒土對銅離子的吸附效果如圖2所示。由圖2可知,凹凸棒土的吸附性能受酸的種類及濃度的影響較大,在1mol/L的鹽酸、硫酸、硝酸作用下,銅離子的最大吸附去除率分別為87.57%、77.37%、75.67%。隨著酸濃度的增加,凹凸棒土的吸附性能逐漸減弱,當酸濃度過大時,凹凸棒土的晶體結構被完全破壞,引起四面體結構的坍塌,直接影響其吸附性能。

2.2 不同反應條件對凹凸棒土吸附效果的影響
2.2.1 反應時間
酸改性凹凸棒土對銅離子的吸附隨時間的變化如圖3所示。

由圖3可以看出,凹凸棒土對銅離子的吸附過程是一個快速過程,反應20~30min即達到了吸附平衡,在反應時間為20min時,吸附效果達到最佳。為了更好地反映銅離子的吸附過程及吸附行為,選擇25min作為反應時間。在吸附劑對重金屬離子的吸附過程中,化學吸附或內配位作用比離子交換或物理吸附表現出更快的吸附速率。此快速吸附速率表明凹凸棒土對銅離子的吸附主要表現為強化學吸附或內配位作用。
2.2.2 吸附劑投加量
酸改性凹凸棒土對銅離子的吸附隨吸附劑投加量的變化如圖4所示。由圖4可知,當酸改性凹凸棒土的投加量較少時,增加投加量可以顯著提高銅離子的去除效率,但當投加量增加至0.6g時,隨著投加量的增加,銅離子濃度不再降低。當吸附劑的投加量達到一定值時,繼續增加投加量對銅離子的吸附效率無明顯提高,而且隨著凹凸棒土投加量的增加,單位吸附量顯著下降。綜合考慮去除率、單位吸附量、成本等因素,選擇酸改性凹凸棒土的最佳投加量為6g/L(以銅離子濃度計)。

2.2.3反應溫度
酸改性凹凸棒土對銅離子的吸附隨反應溫度的變化如圖5所示。

由圖5可知,隨著反應溫度的升高,酸改性凹凸棒土對銅離子的吸附效率顯著下降,表明凹凸棒土對銅離子的吸附是一個放熱過程。隨著反應溫度的升高,分子間的熱運動會加快,這意味著分子與凹凸棒土的接觸面積隨之增大,促使凹凸棒土快速吸附銅離子,表現為在吸附過程的前10min,溫度與吸附效率呈正相關。隨著吸附反應的進行,以范德華力為主導的物理吸附占據主導地位,隨著反應溫度的升高,吸附量逐漸降低。因此,選擇20℃的水浴條件為最佳反應溫度。
2.3 酸改性凹凸棒土處理含銅廢水的機理
2.3.1 吸附等溫線
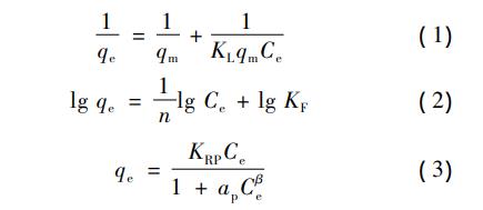
吸附等溫線是在一定溫度下,吸附量隨平衡濃度變化的曲線。由吸附等溫線的形狀和變化規律可以了解吸附質與吸附劑的作用力強弱,界面上吸附分子的狀態等。因此,研究吸附等溫線有助于研究銅離子在吸附劑上的吸附機理。吸附質吸附到吸附劑表面的過程是一個動態平衡的過程,吸附等溫線可以很好地描述這一過程。吸附質在吸附劑上的吸附等溫線通常用Langmuir〔式(1)〕、Freundlich〔式(2)〕和Redlich-Peterson〔式(3)〕等溫模型來描述。

式中:Ce為吸附質的平衡濃度,mg/L,qe為平衡吸附容量,mg/g,qm為最大平衡吸附容量,mg/g,KL為Langmuir吸附常數,KF為Freundlich吸附常數,KRP,ap為Redlich-Peterson吸附常數,1/n為不均質參數,β為0~1的介質參數。
Langmuir、Freundlich和Redlich-Peterson方程擬合參數見表1。由表1可以看出,Redlich-Peterson吸附模型更符合銅離子在酸改性凹凸棒土的等溫吸附線,吸附相關系數(R2)較高,為0.929。雖然Redlich-Peterson等溫吸附方程能較好地擬合試驗數據,但其只是描述液-固吸附規律的經驗公式,由于液-固吸附的復雜性,Redlich-Peterson等溫吸附方程只能作為數據處理的一種方法,而不能完全解釋復雜體系中吸附反應的機理。

圖6為不同吸附模型下銅離子的吸附容量隨銅離子平衡濃度的變化。從圖6可以看出,隨著銅離子平衡濃度的升高,銅離子的吸附量逐漸增加。在吸附的初期階段,吸附量的增加較快,隨著平衡濃度的增加,銅離子在酸改性凹凸棒土上的吸附量增加速率逐漸變慢。這是因為水中銅離子濃度增高時,濃度梯度增大,擴散傳質通量增加,擴散過程速度快,對吸附過程產生促進作用,凹凸棒土的吸附容量得到了充分利用。

2.3.2 吸附動力學
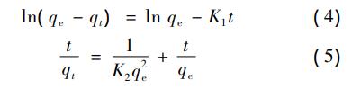
吸附動力學是研究吸附過程和時間關系的理論,也是探討吸附速度和吸附動態平衡的理論。吸附速度和吸附動態平衡涉及到物質的傳質現象和擴散速度,研究吸附動力學可以了解吸附反應過程的速率、影響因素,進而解釋可能的反應機理。假一級動力學模型〔式(4)〕和假二級動力學模型〔式(5)〕通常用來描述吸附質在吸附劑上的吸附平衡過程。

式中:qt為t時刻凹凸棒土的吸附容量,mg/g,K1、K2為假一級、假二級吸附速率常數,t為反應時間,min。
圖7描述了一定溫度下吸附時間對銅離子在酸改性凹凸棒土上吸附容量的影響。

從圖7可以看出,銅離子在吸附劑上的吸附容量隨吸附時間的增加而迅速增加,當吸附時間達到25min時,吸附基本達到平衡。在吸附反應的前期,吸附位點較多,銅離子的初始濃度較高,有利于吸附,隨著吸附時間的增加,有效的吸附位點減少,逐漸達到動態吸附平衡。
銅離子在酸改性凹凸棒土吸附過程中的動力學數據經假一級動力學模型和假二級動力學模型擬合后的數據見表2。從表2可以看出,假一級動力學模型和假二級動力學模型都能較好的描述動力學過程。假一級動力學方程的R2較高,為0.984,且擬合計算的最大吸附量與試驗結果基本一致,表明假一級動力學方程能更好地描述銅離子在酸改性凹凸棒土中的吸附過程,原因是由于吸附交換過程是一個平衡過程,同時吸附交換過程與吸附質向吸附劑表面的擴散過程有關。

3、結論
(1)用不同濃度的鹽酸、硫酸、硝酸對凹凸棒土進行酸化改性處理,并用含銅廢水對改性前后凹凸棒土的吸附性能進行考察。結果表明:1mol/L鹽酸處理后的凹凸棒土能顯著提高吸附性能。
(2)采用酸改性凹凸棒土吸附廢水中的銅離子,隨著吸附反應的進行,以范德華力為主導的物理吸附占據主導地位,溫度越高、銅離子初始濃度越大,更有利于凹凸棒土的吸附效果。反應最佳條件:反應溫度為20℃,酸改性凹凸棒土投加量為6g/L(以銅離子濃度計),反應時間為25min,銅離子初始濃度為100mg/L,此時對銅離子的去除率為87.57%。
(3)酸改性凹凸棒土對銅離子的吸附符合Redlich-Peterson等溫吸附方程與假一級動力學方程,擬合相關系數分別為0.929和0.984,理論最大吸附量為15.142mg/g。試驗結果表明,酸改性凹凸棒土對含銅廢水具有較好的吸附效果。(來源:中國電建集團華東勘測設計研究院有限公司,環境保護部南京環境科學研究所)


