火電廠排放的氮氧化物(NOX)是大氣污染物之一。蜂窩式催化劑作為選擇性催化還原(SCR)煙氣脫硝技術的核心,大部分火電廠多采用該項技術進行煙氣脫硝處理以降低氮氧化物的排放量。砷中毒是造成催化劑失活的主要原因之一,由于燃煤鍋爐中含微量的砷,在高溫煙氣中砷以氣態As2O3形式存在,煙氣中揮發性的氣態砷分子相對于催化劑空隙而言較小,容易進入催化劑的孔隙造成催化劑砷中毒導致失活,從而降低了催化劑的使用壽命。因此,對催化劑進行脫砷處理使其再生利用具有重要意義,采用超聲波場下堿浸脫砷的方法能很好的脫除催化劑中的砷化物,然而部分砷化物會進入到溶液當中,對環境有一定的危害,無法直接排放,因此要對含砷的廢液進行進一步處理,達標后排放,環境友好。目前,含砷廢水的處理方法有化學沉淀法、吸附法、離子交換法和液相萃取法以及新興的具有發展前途的微生物法等。對于砷含量較高的酸性廢水,采用化學沉淀法中的硫化法沉淀砷,可去除廢水中約99.9%以上的砷,形成以As2S3為主要成分且含量較高的含砷廢渣,有利于綜合利用。對于酸度較低的廢水,若用硫化法沉淀砷后廢水中的砷含量不能達到排放標準,可進一步采用鐵鹽沉淀法,并經老化處理,生成的砷酸鐵鹽廢渣可以長期堆存,對環境污染影響較小。
廢液脫砷方法中,化學沉淀法是多種處理方式的綜合處理,但由于其需加入大量的化學藥劑,產生的大量二次污染廢渣較難處理。物化法只能低批量處理濃度較低且成分單一具有有較高回收價值的廢水,工業化程度較低。微生物法具有經濟高效且無害化的優點,被認為是最具有發展前途的方法,但在實際操作中適合的菌類較難尋找且在處理工程中影響因素較多。隨著越來越多的催化劑生產企業關注催化劑再生問題,再生處理過程中產生的含砷廢水若不加以處理,無疑會對環境又造成了二次污染。同時,考慮將脫砷處理后的廢水循環利用于整個催化劑再生體系,實現循環再利用以降低生產成本。所以,本文對含砷廢水中的砷化物脫除進行研究,旨在探索出一種切實可行的工藝方法,達到國家處理廢水的排放標準0.5mg/L的要求。
1、實驗部分
1.1 實驗原料及儀器
一次堿浸:取催化劑樣品150mm×150mm×170mm約1162g,L液=35L,NaOH濃度4g/L(Na+,2.3g/L;OH-,1.7g/L),t=1h,T=60~70℃,一次堿浸后液成分分析如表1所示,用于含砷廢液脫砷條件實驗研究。

由表可知,一次堿浸含砷量為0.65g/L。
實驗使用的主要儀器設備有:超聲波清洗機、DZKW-4型電子恒溫水浴鍋和真空干燥箱、空壓機、ICP分析儀(美國進口)、電熱鼓風干燥箱、酸度計、原子熒光。
1.2 實驗原理
砷有三價砷和五價砷兩種正化學價態,在富氧環境和中性條件下,以As(V)為主,并且以H2AsO4-和HAsO42-陰離子態存在,而還原性環境中主要是As(Ⅲ),并以H3AsO3形態存在,在砷的無害處理過程中,首先應將As(Ⅲ)盡可能氧化成As(V),其主要原因為:
①As(Ⅲ)的毒性較As(V)高出60倍。
②As(Ⅲ)的遷移性強于As(V)。
③在液相體系中,As(Ⅲ)較As(V)更難脫除。
④亞砷酸鹽溶解度高于相應的砷酸鹽,因而其環境穩定性也較砷酸鹽差。
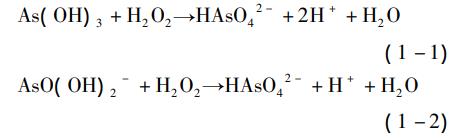
鑒于以上原因,脫砷之前進行As(Ⅲ)的氧化是必要的。結合催化劑本身特性要求,處理后的溶液能再次循環用于整個體系,不額外帶入雜質,因此選用H2O2作為氧化劑。
其反應方程式為:

本實驗砷沉淀劑選用廉價的CaO。結合石灰沉砷熱力學分析可知,堿性越高,已沉淀的砷鈣化合物會反溶,故在加入CaO前需適當調節反應pH值引入H2O2后需加入緩沖劑調節反應pH值,再加入CaO進行脫砷。
1.3 實驗方法
實驗對脫硝催化劑進行堿浸處理后的廢液進行脫砷處理,實驗的工藝流程為:
首先用雙氧水(H2O2)將廢液中砷氧化,再加入CaO對廢液中的砷進行脫除,研究CaO對廢液的脫砷效果。然后對上述工藝進行改進,在一定條件下加硫酸鐵調節氧化后溶液pH值后,再加入一定量的CaO并在適宜的條件下對溶液進行處理,得到最終脫砷后的溶液,實驗確定的最終簡易流程圖如圖1所示。

2、結果與討論
2.1 氧化劑-雙氧水加入量對脫砷效果的影響
為達到較好的脫砷效果,需將一次堿浸后液中的三價砷氧化成五價砷,再進行脫砷處理。
實驗條件:取一次堿浸后液300mL,T=常溫(約30℃),分別加入不同量的雙氧水H2O2(H2O2:As化學計量比分別為1.5、3、5),恒溫氧化反應15min后升溫至85℃,加入CaO,Ca/(As+V+W)化學計量比為10∶1,反應30min后,過濾,分析濾液成分計算沉砷率(氧化反應原理:1molH2O2~1molAs3+)。實驗結果如圖2所示。

由圖2可知,隨著雙氧水加入量的增大,沉砷率也隨之增大,但當雙氧水加入量大于H2O2∶As化學計量比5時,沉砷率沒有顯著增加,穩定在71%左右,溶液中As含量穩定在0.17g/L左右,綜合考慮試劑成本,確定最佳雙氧水加入量按H2O2∶As化學計量比為5。
2.2 雙氧水氧化溫度對脫砷效果的影響
實驗條件:取一次堿浸后液300mL,在溫度為常溫(約30℃)、40℃、50℃、60℃、70℃條件下,加入H2O2的量為H2O2∶As化學計量比=5,分別氧化反應15min后升溫至85℃,加入CaO。Ca/(As+V+W)化學計量比為10∶1,反應30min后,過濾,分析濾液成分計算沉砷率。測試結果如圖3所示。

由圖3可知,隨著氧化溫度的不斷升高,沉砷率不斷減小,這是由于隨著溫度的升高,雙氧水分解的速度不斷加快,還未來得及參與氧化反應就分解,氧化性變弱,故確定最佳氧化溫度為常溫即30℃。
2.3 氧化鈣加入量對脫砷效果的影響
實驗條件:取一次堿浸后液300mL,T=85℃,氧化鈣加入量按Ca/(As+V+W)化學計量比分別為1∶1,3∶1,5∶1,7∶1,10∶1,13∶1。t=30min,過濾,分析濾液成分計算沉砷率。結果如圖4所示。

由圖4可知,隨著氧化鈣加入量的不斷增加,沉砷率不斷提高,當Ca/(As+V+W)化學計量比超過10∶1時,沉砷率緩慢增加,脫砷效果不顯著,故實驗確定氧化鈣的最適宜添加量為Ca/(As+V+W)化學計量比為10∶1。
2.4 沉淀溫度對脫砷效果的影響
實驗條件:取一次堿浸后液300mL,在不同反應溫度下,加入CaO。加入量按Ca/(As+V+W)化學計量比為10∶1,t=30min,過濾,分析濾液成分計算沉砷率。結果如圖5所示。

實驗結果表明,升高溫度一方面可使沉砷率提高,在85℃時脫砷率達到54.1%,100℃脫砷率為56.2%。可知當反應溫度超過85℃時,脫砷率增幅不明顯,因此實驗確定最佳反應溫度為85℃。因為石灰沉砷過程中沉砷率決定于砷的沉淀速度即動力學問題,而非熱力學問題。砷的沉淀速度由溶液中游離的Ca2+濃度決定,特別是在堿性體系下其Ca(OH)2濃度更低,沉淀速度更加緩慢。而隨著溫度的升高,Ca(OH)2溶解速度逐步升高,使得砷的沉淀速度加快,因此,隨著溫度升高沉砷率也逐步提高。在溫度較高條件下,非晶物相難以穩定存在,因而促使砷鈣渣的晶格發育更完善,綜上所述,只有在沉淀溫度達到高溫時,才能形成結晶度高、穩定性好的砷鈣渣,否則易使得砷被釋放出來污染環境。但不論溫度如何變化,沉砷率均未達到預想的效果,這是由于一次堿浸后液中仍含有三價砷,相應的砷沉淀化合物為亞砷酸鈣,其溶解度較大,因而,難以達到較高的脫除率。
2.5 沉淀時間對脫砷效果的影響
實驗條件:取一次堿浸后液300mL,Ca/(As+V+W)化學計量比為10∶1,反應不同時間后,過濾,分析濾液成分計算沉砷率。實驗結果如圖6所示。

由圖6可知,隨著反應時間的延長,沉砷率由54.1%提高到62.7%,升高溫度對脫砷效果變化不大,且溶液含砷量隨溫度變化未定在0.27g/L左右。綜合能耗和生產效率等因素,確定最佳反應時間為30min。
2.6 硫酸鐵對脫砷效果的影響
為達到較高脫砷率,嘗試在加入氧化鈣脫砷前用硫酸鐵調節體系pH值。
確定pH對脫砷的影響:取一次堿浸后液300mL,在T=常溫(約30℃)條件下,加入H2O2的量為H2O2∶As化學計量比=5,再加入濃度約為4.4g/L硫酸鐵調節溶液pH至9、10、11、12,終止pH控制在13以內,然后反應15min后升溫至85℃,加入CaO,Ca/(As+V+W)化學計量比為10∶1,反應30min后,過濾,分析濾液成分計算沉砷率,結果如圖7所示。

由圖7可知,通過用硫酸鐵調節溶液pH值后,再加入CaO,沉砷效果有了明顯提高,當pH=11時,脫砷率高達99.88%,溶液中砷含量降低至0.52mg/L。通過石灰沉砷熱力學分析,對照Ca3(AsO4)2-H2O系濃度對數圖可知,當11.2
確定最佳調節pH之后,在相同條件下加入CaO,Ca/(As+V+W)化學計量比分別為3∶1、5∶1、7∶1、10∶1,同樣反應30min后,過濾,分析濾液成分計算沉砷率,結果如圖8所示。

由圖8可知,不同氧化鈣用量對脫砷效果影響不大,脫砷率均保持在99.8%適宜的pH值使砷獲得了最佳的沉淀區域,Ca3(AsO4)2能穩定生成,不會出現反溶現象,考慮到成本及CaO用量,確定較為適宜的Ca/(As+V+W)化學計量比為3∶1,此時廢液中的砷含量降至0.45mg/L,符合國家關于含砷廢水的排放標準。
3、結語
本文對堿浸后的含砷廢液進行脫砷研究,得到以下結論。
1)采用雙氧水將含砷廢水氧化,發現CaO處理后能降低廢水中的砷含量,但未能達到國家排放標準,而在加入CaO之前預先引進硫酸鐵調節氧化反應廢液的pH后,脫砷率大幅增加,砷化物脫除率可達99.8%以上,最佳脫除量能達到0.45mg/L,達到污水綜合排放標準0.5mg/L的要求。
2)確定最佳工藝流程后其最佳工藝參數為:氧化劑H2O2用量H2O2∶As=5(化學計量比)、氧化溫度30℃、氧化時間15min。采用鐵鹽(濃度為4.4g/L)控制溶液pH=11。沉淀劑CaO用量Ca/(As+V+W)=5∶1(化學計量比)、沉淀溫度T=85℃、沉淀時間30min。
3)該脫砷工藝為回路循環,除砷試劑價格低廉,反應工藝過程易于操作,具有很好的應用價值。(來源:昆明冶金研究院,共伴生有色金屬資源加壓濕法冶金技術國家重點實驗室,云南省選冶新技術重點實驗室)


