頁巖氣是一種重要的非常規能源,典型的頁巖氣開發作業由3個階段組成:鉆探、水力壓裂和返排。頁巖氣鉆井廢水主要產生于水基鉆井過程,伴隨有地層產出水、鉆井平臺沖洗廢水等,廢棄物組分復雜,COD高、含鹽量高、可生化性較差難處理。頁巖氣井壓裂后的返排液約占注入壓裂液量的60%~80%。壓裂返排液的組分取決于以下因素:壓裂液配液水質、壓裂液化學組成、儲層地質化學組成、地層水水質以及返排液在地下和返排至地面的放置時間等。壓裂返排液中眾多添加劑的使用使其具有較高的COD、TDS、TSS,若直接外排,易對周圍環境造成嚴重污染。
由于水力壓裂過程耗水量大,勢必會給頁巖氣田周邊或區域帶來嚴峻水資源挑戰,需要提高壓裂返排液回用效率并降低處理成本。頁巖氣開發廢水中含有的化學添加劑、石油類、高價金屬離子等會影響回用,所以需進行破膠脫穩對懸浮物和高價離子進行選擇性去除。
本研究采用穩定性分析儀對化學絮凝、電絮凝等方法處理后的頁巖氣開發廢水進行脫穩分析,通過不穩定指數、分離速度等指標進行表征,直觀定量地說明不同方法對絮體形成狀態的影響及分離過程。
1、頁巖氣開發廢水脫穩實驗
1.1 廢水來源
水樣為西南地區不同頁巖氣開采現場的2種壓裂返排液及1種鉆井廢水。壓裂返排液樣品A來自C區塊,為初期返排壓裂液呈微黃的微濁態;壓裂返排液樣品B來自W區塊,部分壓裂液為返排液經簡單沉降后回用配置而成,樣品B為經過反復壓裂返排后的廢水,呈灰黑色并有明顯的懸浮物;鉆井廢水C來自N區塊,為三開階段產生的廢水,水樣為含油的懸濁液。
1.2 實驗方法
實驗采用的化學藥劑有鹽酸、氫氧化鈉、聚合氯化鋁(PAC,含量26%),電絮凝實驗裝置為自制小試裝置,能夠自動曝氣,可調節電流電壓。預處理方法采用調酸曝氣;脫穩方法采用化學絮凝和電絮凝,參數控制為投加不同濃度的聚合氯化鋁,控制電絮凝反應時間和反應后的pH值。
分析設備為LUMiSizer611全功能穩定性分析儀,WGZ-1B便攜式濁度儀。其中,全功能穩定性分析儀參數設置為:SOP(譜線數)=200條,采樣間隔=5s,轉速=500轉/min,樣品池為LUM-10mmPA管,形狀近似為長方體。
2、頁巖氣開發廢水脫穩結果分析
2.1 原水的穩定性
3種樣品原水水質穩定特性如表1所示,穩定性圖譜如圖1所示。圖譜中紅線為檢測前期采集的譜線,綠線為檢測后期采集的譜線;縱坐標為透光率,橫坐標為樣品池內位置,左為樣品池口,右為樣品池底。譜線間隔越大說明透光率變化越大,透光率越高說明越清澈。綜合圖1和表1可知,脫穩難度由低到高順序為:壓裂返排液B(0.363)、鉆井廢水C(0.173)、壓裂返排液A(0.061)。壓裂返排液B和鉆井廢水C圖譜均呈現出較明顯的分離狀態,前者為上層懸浮物下沉,后者的分離方式為上浮。


2.2 化學脫穩效果
3種水樣中壓裂返排液A在只投加絮凝劑PAC時,即產生了明顯的絮凝效果,處理前后穩定特性如表2所示,穩定性圖譜如圖2所示。


由圖2可知,加入PAC后發生分離水樣達到了脫穩效果。2號和3號水樣透光率在樣品池底部呈現上升,說明有絮體上浮。隨著PAC加藥量增加,沉降速度變慢;2號和3號水樣后期檢測的譜線均越來越密,也說明分離速度變慢。由此可見,加入PAC后能實現脫穩,絮體呈部分上浮,增大加藥量后能提高脫穩效果,但分離速度變慢。
針對壓裂返排液A,3號處理方式即加入PAC1000mg/L能夠達到較好的脫穩效果,不穩定性指數從0.061上升到0.649,但絮體較為松散且上浮,濁度達到0.7NTU。
2.3聯合化學絮凝效果
對只投加化學絮凝劑絮凝效果不好的鉆井廢水C水樣進行了調酸曝氣預處理,之后進一步投加絮凝劑,產生了明顯的絮凝脫穩效果,其處理前后的穩定特性如表3所示。

由表3可見,經過預處理聯合化學絮凝處理后,鉆井廢水C的不穩定性指數明顯上升,且會隨PAC加量增加升高,由原水的0.173上升到0.917;當PAC加量為2000mg/L后再增加劑量,其不穩定性指數變化不大。鉆井廢水C預處理前后穩定性圖譜如圖3所示。可以看出,5號與4號相比,樣品池底部峰減少且透光率上升,說明酸化能夠使一些物質凝聚并上浮,且絮體主要為比水輕的油類物質;6號與5號相比,樣品池底部峰變平滑,說明曝氣促進了這種凝聚。

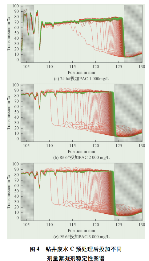
鉆井廢水C預處理后投加不同劑量絮凝劑,穩定性圖譜如圖4所示。由圖4可知,隨著PAC的增加,分離效果提高;第一條譜線前移,說明絮體增多;7~9號樣品檢測后期譜線均越來越密,說明分離速度變慢,絮體不均勻;隨著加藥量的增大,沉降速度下降。7號透光率在樣品池底部呈現上升,說明仍有上浮,8號和9號透光率基本持平,均能保證絮體下沉。

綜上所述,針對鉆井廢水C使用8號處理方式即酸化pH=3.5,再曝氣1h,加入PAC2000mg/L,能夠達到較好的脫穩效果,并使絮體沉降,不穩定性指數從原水的0.173上升到0.911,出水濁度降至8NTU。
2.4 聯合電絮凝脫穩效果
壓裂返排液B的pH值為6.5,不利于化學絮凝反應,所以在絮凝前將其pH值調節為8,其預處理前后穩定特性如表4所示。可以看出,壓裂返排液B通過預處理聯合電絮凝較直接化學絮凝產生了更明顯的絮凝脫穩效果。

(1)不同預處理方式效果
將原水調節不同的pH值進行預處理,處理前后穩定性圖譜如圖5所示。由圖5可知,11號和14號圖譜左段波谷均消失,整體變平,說明pH值調為酸性和堿性均能使水質均質化;但調整原水pH=8后不穩定性由0.363降低至0.291,調至酸性并曝氣后不穩定性指數上升到0.41,可見酸化曝氣在均質的同時還提高了分離度。

(2)不同絮凝方式效果
穩定性圖譜的波形越不平滑說明絮體結構越不均勻。壓裂返排液C不同絮凝處理穩定性圖譜如圖6所示。由圖6可知,直接化學絮凝(12號)和直接電絮凝(13號)比較,后者波形呈更為明顯的齒狀,說明直接電絮凝不能將水樣均質。但電絮凝法通過加酸化曝氣后(15號)實現了絮體的穩定分離和沉降,但沉降速度也有所降低。可見電絮凝對非均質的水樣分離效果不佳,但通過酸化曝氣將水樣均質后再進行電絮凝,即可實現更為有效的脫穩效果。化學絮凝(12號)和酸化曝氣電絮凝(15號)比較,后者譜圖更規律,說明絮體大小均勻密實,沉降平均速度也更快。

3、結論
由穩定性圖譜波形從多峰變為平滑的現象可知,調節pH值至酸性或堿性均可實現頁巖氣開發廢水的均質,曝氣能進一步促進凝聚,通過酸化曝氣后的水樣進一步絮凝時,穩定性圖譜均呈現了更為規律的分離趨勢。
化學絮凝可提高不穩定性指數,使濁度降低,并促進絮體下沉而不再上浮,但隨著投加量的增加沉降速度也有所下降。此外,化學絮凝脫穩的適應性更好,對于均質和非均質廢水均能實現有效的脫穩。電絮凝對非均質的水樣分離效果不佳,但通過預處理將水樣均質后再電絮凝,即可實現較化學絮凝更為快速的脫穩效果,不穩定性指數明顯上升,絮體密實分離均勻,濁度也更低。(來源:石油石化污染物控制與處理國家重點實驗室,中國石油集團安全環保技術 研究院有限公司,中國石油大學( 北京))


