礦產資源是人類社會發展進步必不可少的自然資源。人類對金屬礦山的大面積開采會破壞周圍區域的生態環境,而AMD是全球礦山面臨的最嚴重的環境問題。AMD是硫化礦物在空氣、水和微生物的共同作用下發生溶蝕、氧化、水解等一系列物化反應而形成的低pH、高重金屬離子濃度的一類難處理廢水。而我國金屬礦山大部分是原生硫化物礦床,極易形成AMD,例如江西德興銅礦、武山銅礦、江蘇梅山鐵礦、浙江遂昌金礦、安徽南山礦、向山鐵礦、湖南七寶山銅鋅礦等。因此,如何高效、經濟地治理AMD顯得尤為重要。
1、AMD來源
AMD指在礦山開采活動中經過復雜的物理化學反應作用產生的呈酸性且SO42-和重金屬含量超標的有害水體。礦山酸性廢水有以下特點:
①呈酸性、金屬離子濃度高,例如含Fe3+的礦山廢水因水解生成的氫氧化鐵呈紅褐色,被稱為“紅龍之災”;
②廢水產生量大且水流持續時間長,常常礦山開采結束后,廢水仍繼續流出;
③水質、水量不穩定,波動較大。
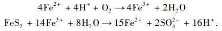
AMD進入自然水體后使水體酸化,導致水生生物死亡;進入土壤后使土壤板結,毒化土壤,造成功能退化。在1947年,Colmer等首次提出細菌是AMD形成的重要原因。在后續的研究和實際治理過程也進一步的證實了這種論斷。如黃鐵礦,在有菌存在和無菌存在時,氧化速度相差較大。
黃鐵礦氧化產酸過程如下:


Fe3+被黃鐵礦還原生成Fe2+,而Fe2+很快又被微生物或O2氧化成Fe3+再與黃鐵礦反應,如此循環反應,形成了大量的AMD。
2、AMD的治理
AMD現已嚴重危害到生態環境乃至人類的生存安全,其治理技術也日新月異。目前,效果顯著的治理技術主要有中和法、沉淀法、人工濕地、吸附法及生物法等。
2.1 中和法
面對大量的酸性廢水,中和法成為了人類在治理AMD時的首要選擇。中和法又稱為氫氧化物沉淀法,中和法就是在廢水中投加大量的堿性物質,如石灰乳、氫氧化鈉、石灰石等,來提高廢水酸堿度,從而沉淀廢水中的金屬離子。該方法因原理簡單,成本低、效果明顯,在實際礦山酸性廢水的治理中得到了廣泛的應用。如錢士湖等報道的HDS(高濃度泥漿)在安徽某公司酸性廢水的實踐運用。對實際運行效果進行了分析總結,表明HDS工藝在調節廢水pH值和去除Al3+、SO42-離子效果顯著。與傳統的石灰中和法(LDS)相比,HDS延緩了設備和管道的結垢現象,克服了LDS法的很多缺點,高濃度泥漿法與低濃度泥漿法相比有以下優點:一是降低了石灰用量,減少了處理成本;二是出水水質穩定,符合排放標準。高濃度泥漿法相對于低濃度泥漿法突破性進展是底泥按比例回流,可用于廢水處理。但始終無法根除設備和管道結垢、中和渣易造成二次污染的弊端。

中和法對金屬礦區已形成的廢水處理有顯著的效果,但未抑制產酸細菌的生長,礦山生態環境未得到根本性修復。
2.2 硫化物沉淀法
硫化物沉淀法是通過向廢水中投加過量硫化劑,形成了難溶于水的重金屬硫化物,再加入表面活性劑,疏水性沉淀物與起泡劑發生黏附上浮,從而達到凈化AMD的效果。常用的硫化劑有Na2S、H2S、CaS等,硫化物在重金屬去除率上大于中和法,該法得到的泥渣金屬品位較高,有利于貴金屬的回收利用,可用于廢水處理組合方法中的前處理。
但硫化物沉淀法存在著很大的缺點:即為了使金屬離子充分沉淀,會向廢水中投入過量的硫化物,這會使水體中硫酸根離子過剩,極易產生H2S氣體,對水體將會產生二次污染。且因硫化劑來源有限,價格比較昂貴,故硫化物沉淀法因處理成本高、會產生二次污染的原因而未能得到廣泛應用。
2.3 人工濕地法
人工濕地是由基質、植物和微生物按一定比例組成,AMD得以凈化是人工濕地物理、化學及微生物共同作用的結果。在處理過程中,酸性水緩慢流經人工濕地中的植物群落,利用抗酸性耐重金屬強的植物進行活體過濾達到降低金屬離子濃度目的。人工濕地中的物理作用主要是過濾、阻隔和沉積作用。由于植物—土壤—無機膠體復合體、土壤微生物區系及酶的多樣性,可通過化學沉淀、吸附、離子交換、氧化還原等一系列化學反應去除廢水中金屬離子。
2.3.1 植物作用
植物是人工濕地中重要的組成部分,起著關鍵性的作用。不僅可以去除廢水中的污染物,還具有生態美觀。水生植物對廢水中的重金屬有著很強的吸附能力。如濕地中的挺水植物、浮水植物、沉水植物對重金屬的富集濃度可高出周圍水體10萬倍以上。不同植物對污染物的去除率受生物量、根系發達程度、根系氧輸送能力等因素的影響。
2.3.2 酸的消耗
酸的消耗是AMD治理的主要環節,在人工濕地底泥中存在著大量的硫酸還原菌,這些細菌是廢水中酸消耗的主體。
2.3.3 重金屬的清除
重金屬超標是AMD的主要特征,因此有必要對AMD中的重金屬進行去除,人工濕地中抗酸性耐重金屬強的植物吸收積累作用可達到去除的目的,人工濕地中的硫酸還原菌在消耗廢水中酸的過程產生的硫化氫可與廢水中的重金屬反應形成沉淀。
我國在人工濕地對AMD處理的研究上進行大量投資,取得了一定的理論和實踐成果。如唐述姬等利用人工濕地處理鐵礦酸性廢水,實驗表明:pH值由2.6升高到6.1;金屬銅離子由25.79×10-6降到0.099×10-6,金屬鐵離子由36.50×10-6降到0.031×10-6,金屬錳離子由393.6×10-6降到107.20×10-6,銅、鐵離子的去除率達到了99%以上。
由于人工濕地占地面積大,所以比較適用于大面積礦山廢水的末端治理,也比較適合礦山的水土修復和養護,屬于礦山生態修復的一大研究方向。
2.4 吸附法
隨著對吸附材料的大量研究,吸附法在AMD處理中得到了廣泛的應用。吸附法是利用多孔吸附材料,使水中的一種或多種物質吸附到吸附材料表面從而達到去除污染物目的的方法。不同種吸附材料吸附機理不同,有的以物理吸附為主導作用,有些以化學吸附為主導作用,而有的吸附材料兩種吸附機理都有。現常用的吸附材料有兩種,一種是硅藻土、膨潤土等黏土類物質,因其擁有層狀結構從而具有良好的吸附性,在廢水處理中得到廣泛的應用。另一種是藻類、細菌、真菌、秸稈、蔗渣等生物吸附劑。Rios等利用天然爐渣、人造沸石和粉煤灰對AMD中金屬離子去除的實驗研究。Cui等研究了斜發沸石對AMD中鋅等金屬的吸附效果。
近些年來對新型吸附材料吸附效果的研究很多。但是大多是在實驗室對模擬廢水進行的,用于實際水體的較少。由于現實中金屬礦山酸性廢水成分復雜,影響因素多,所以實驗室研究的新型吸附材料的實際實用價值并不明確。同時吸附材料吸附金屬離子后若沒有妥善處理容易造成二次污染,因此吸附材料的再生問題也變得十分的重要。進一步開發天然吸附材料將是未來AMD吸附法的重要研究方向。
2.5 生物法
相較于國外,國內對于微生物的應用起步較晚,仍處于研究階段。在自然環境中,一些微生物能進行硫酸鹽的還原代謝反應。可根據微生物所具有的該生理特征來治理AMD。孫嘉龍等利用微生物菌株作為絮凝劑應用于廢水的絮凝試驗,試驗表明,發酵液對礦山廢水中的重金屬去除率可達到70.49%。
2.5.1 抑制產酸細菌生長
研制抑制或消滅產酸細菌生長繁殖的化學物質,對防止AMD的產生是很有價值的。已有研究成果,國外研制了一種陰離子洗滌劑可對鐵氧化菌和硫氧化菌有抑制作用,這為我們研制出抑制產酸細菌的化學物質提供一定的理論基礎。在研制可抑制產酸細菌生長繁殖的化學物質時,為了在自然環境中應用,化學抑制劑應該具備以下條件:
①專一性,除了對特定菌科有抑制作用外,對其他生物無影響;
②具有高效性,低劑量就可達到抑制產酸細菌生長的目的;
③無毒害和污染,不可對所使用的環境產生二次污染;
④價格便宜,能批量生產和應用。
因此現在細菌抑制劑到現場應用還有一些距離,但此法未來將是AMD治理的主流方向。
2.5.2 硫酸鹽還原菌(Sulfatereducingbacteria,SRB)法治理AMD
SRB是進行硫酸鹽還原代謝反應的相關細菌的統稱,廣泛分布在海水、淡水和適宜生存的陸地環境中。SBR法是指利用SRB將SO42-氧化為S2-,所產生的堿度可以中和AMD中的酸性。H2S又會沉淀廢水中的重金屬。
與傳統的酸性廢水處理方法相比,該治理方法具有費用低、適用性強、無二次污染的優點。其基本條件為:
①所處理的酸性水的pH值不得低于4.2;
②反應需隔絕空氣。
SRB處理AMD的工藝流程見圖2。

董慧等利用SRB法去除礦山廢水中污染物試驗研究,利用SRB與SO2-4的生物還原反應,重金屬的去除率達到了90%。
3、結語
綜上所述,AMD成分復雜、排放量大且危害極大。因此我們必須根據不同的廢水性質、現場具體環境等,實施最有效的治理方案。中和法因成本低、工藝流程相對簡單的特點,備受歡迎,但在處理過程中產生的高濃度污泥,易造成二次污染。人工濕地法不僅可以處理廢水,還能達到改善生態環境的目的,但由于建成后短時間內無法大面積改變處理措施,因此循環使用的可能性較低。微生物處理AMD具有費用低、高效率、適用性強,無二次污染的特點,這將是未來AMD處理的發展。(來源:馬鞍山市環境科學研究所,中鋼集團馬鞍山礦山研究總院股份有限公司)


