有機硅作為一種高性能新材料,在建筑、交通運輸、石油化工、醫療、航空等工業領域和高新技術產業都有所運用。由于下游產業的需求量十分龐大,有機硅需求量的增長速度一直要高于同期的GDP增長速度,中國也已成為有機硅生產和消費大國。有機硅生產過程中產生的廢水COD濃度高,酸度偏高,可生化性能較差,并且有機污染物的種類繁多,重金屬離子成分復雜。本實驗采用臭氧氧化技術與PACT法聯用,進行有機硅廢水處理出水的深度處理,提高廢水可生化性,降低COD。
工業廢水經過一級二級處理后難以達到合成樹脂工業污染物排放標準,可生化性降低。臭氧氧化法作為一種高級氧化法,提高水中羥基自由基(-OH)的濃度。而羥基自由基擁有高達2.8V的氧化還原電位,可以將生物法難以處理的大分子有機物轉化成小分子。生物活性炭法(PowderActivatedCarbonTreatment,PACT)在好氧污泥中投加粉末活性炭,利用好氧污泥的生化作用和活性炭的吸附作用處理生化性能已提高的廢水。本實驗主要研究pH值、催化劑種類對臭氧氧化結果的影響,以及臭氧氧化與PACT技術聯用對廢水的處理效果。
1、實驗
1.1 實驗用水
實驗用水為常州某有機硅生產公司經一級二級處理出水,該水呈弱酸性,水質呈淺黃色,雖然廢水已經經過物理和生化處理,但是水中仍有少許懸浮物,且伴隨輕微的刺激性氣味,水中COD濃度已降為256mg/L,多為生物難以利用的大分子有機物。
1.2 實驗污泥
污泥取自揚州湯汪污水處理廠曝氣池,經過馴化而成的活性污泥。
1.3 實驗儀器

1.4 實驗過程
原水pH值為5.45,取廢水原水7份,每份3L加入到5L的燒杯中,用5mol/L的NaOH調節pH值分別到6.00、7.00、8.00、9.00、10.00,用體積分數為50%的硫酸調節pH值分別到4.00、5.00,在臭氧氧化時間為10、20、30、40、50、60、70、80、90、100min時分別取樣,并且測定其COD值。系統設定曝氣強度為5L/min,臭氧的發生量為5g/h。
在臭氧催化氧化的過程中使用不同種類的催化劑,挑選出出水COD值最低的催化劑。調節不同的pH值,使得同種催化劑下的臭氧氧化效率達到最高。將臭氧催化氧化出水分別通入好氧污泥反應器和PACT反應器,控制污泥濃度在3500mg/L,曝氣量為0.5L/min,停留時間為24h,PACT反應器中投加不同濃度的粉末活性炭,比較最終出水COD去除率。
2、結果與討論
2.1 臭氧氧化
2.1.1 直接臭氧氧化
圖1為在不投加催化劑的前提下單獨臭氧氧化的COD去除效果。從中可以看出有機硅廢水中COD的濃度隨著時間的增長不斷減少,去除率不斷上升。反應時間為60min時,COD濃度變化趨于平緩,去除率基本保持不變,廢水中易于被臭氧氧化的有機物基本被消耗殆盡。從經濟角度來說,單獨臭氧氧化60min為最佳反應時間。COD的處理率隨著pH的升高而升高,當pH值=9時,COD的去除率最高為18.4%,明顯高于酸性條件下的去除率,且隨著pH的升高去除率無明顯變化,因此單獨臭氧氧化的最佳pH值為9。

2.1.2 粉末活性炭催化臭氧氧化
采用上述實驗相同的工況條件,向反應器中加入25mg/L的粉末活性炭,測定不同pH值情況下隨著時間變化COD的剩余濃度。
如圖2所示,粉末活性炭催化臭氧氧化COD的去除率在30min至40min之間趨于平緩。當pH值為9且氧化時間為30min時,去除率達到最高值為21.35%。則30min為反應最佳時間。隨著pH的升高,COD的去除率也有著顯著提升,但pH值=10時去除率為20.25%,小于pH值為9的去除率,原因為羥基自由基之間發生淬滅反應。與單獨臭氧氧化相比,粉末活性炭催化臭氧氧化具有更好的COD去除效果,并且到達反應最佳時間的用時也比單獨臭氧氧化要少的多。主要原因是活性炭表面為多孔結構,在臭氧氧化的同時,一部分有機物率先被活性炭吸附,造成有機物的濃度迅速減少。而隨著時間的推移,吸附作用趨于穩定,臭氧氧化占主導,COD平穩減少,且去除率不再波動。臭氧的氧化首先降低了水中大分子有機物的比例,優化粉末活性炭的吸附作用。并且粉末活性炭使得其表面和內部的臭氧氧化更加充分,提高了臭氧的氧化效率。隨著吸附在活性炭表面的有機物被分解,活性炭的吸附再生速率也被加快,活性炭的單次使用時間也被延長,降低了成本,提高了氧化效率。

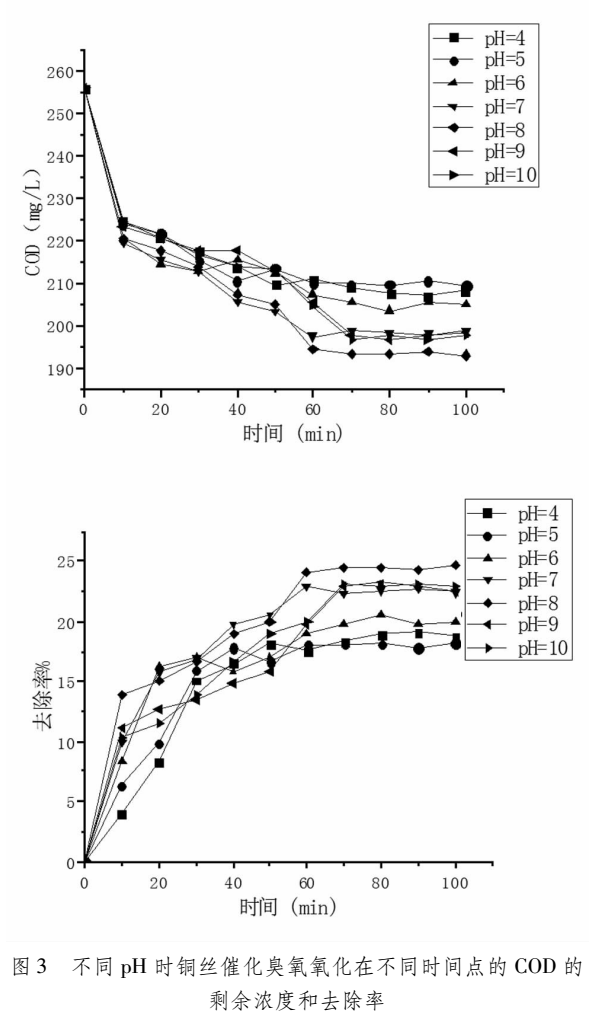
2.1.3 銅絲催化臭氧氧化
在相同的工況條件下,加入銅絲作為臭氧氧化的催化劑。為了使得銅絲與廢水的接觸面積盡可能大,截取直徑為0.5mm的銅絲190m,分段團成銅絲球放入有機玻璃反應器中進行催化臭氧氧化。銅作為還原性物質,在臭氧的作用下失電子轉化為銅離子,大大促進水中羥基自由基的生成。廢水的顏色也隨著臭氧的氧化從淺黃色變為無色,再變成淺藍色。對于無法用單獨臭氧氧化的小分子有機酸類、醛類、酯類,銅絲催化臭氧氧化可以促進它們的氧化,使之完全礦化。
由圖3可知,有機硅廢水COD濃度的減少從70min時開始趨于平緩,70min為反應最佳時間。pH值為8時去除率最終為24.4%,略高于酸性條件下的去除率。與單獨臭氧氧化的最佳效率相比高出6%。銅在反應中氧化成銅離子,與廢水中的有機物發生絡合反應促進COD的降低,隨著廢水中可降解的有機物的去除,COD的去除率趨于平緩。pH值的升高使得水中羥基自由基過量產生,羥基自由基互相發生淬滅反應,導致其不能被完全利用,反而使得COD的去除率降低。

2.2 好氧污泥法與PACT法處理臭氧氧化出水
如圖4所示,兩種方法的去除率都在15%以上,說明前一步臭氧氧化將大部分生物不能利用的大分子有機物轉化成了生物可利用的小分子有機物,使得好氧污泥法和PACT法能夠進一步降低COD。加入粉末活性炭的PACT法的去除率最高可達33.12%,明顯高出好氧污泥法,原因是活性炭的吸附作用。PACT法中活性炭的投加量逐漸降低,但是廢水中的COD沒有立刻降低,說明之前投加的活性炭對于有機物的吸附仍未飽和。隨著反應時間的加長,COD的去除率開始逐漸降低。與此同時反應器中的活性炭含量也在不斷增加,但是去除率也沒有回升,說明污泥中的微生物對于活性炭沒有起到明顯的再生作用。

3、結論
pH值、催化劑的種類和反應時間影響臭氧催化氧化處理有機硅廢水的效果。用臭氧催化氧化法處理廢水的最佳條件為:pH值為8,使用接觸面積為0.1m2/L的銅絲作為催化劑,反應時間70min。將臭氧氧化的出水使用PACT法處理,投加粉末活性炭60mg/L,可將廢水COD降至132.63mg/L,最終去除率達到48.19%。臭氧氧化大大提高了有機硅廢水的可生化性,與具有活性炭吸附作用的PACT法聯用,減少了原本生物難以利用的大分子有機物,使得最終出水的COD去除率得到顯著提升。(來源:揚州大學 環境科學與工程學院,江蘇天瑞儀器股份有限公司)


