一、前言
乙酸乙酯是一種快干性綠色有機溶劑,其在各種脂肪酸酯中應用最為廣泛,乙酸乙酯生產過程中會排放一定量的高濃度有機廢水,其中大多數是混合性廢水,主要成分為乙酸乙酯和乙醇,這些廢水不僅排放量大,而且無法直接循環利用,必須經過有效處理才可以安全排放。國內外學者對于酯化廢水的處理研究較多。其中,通過將有機廢水汽化成有機廢氣后進行催化氧化處理的方法受到了一定關注。目前,關于VOCs催化氧化動力學的模型較多,大致可以分為經驗冪級數模型和基于表面反應控制機理的動力學模型等。其中經驗冪級數模型可以體現溫度、濃度對反應的影響,雖不能描述VOCs催化氧化反應的反應機理,但由于其具有結構簡單,參數少,可以精確預測和計算反應進程等優點被廣泛采用。
工業生產過程中實際排放的有機廢棄物成分均較復雜,當多組分有機廢棄物經歷催化氧化反應時,不同組分都有各自的氧化反應速率,必須要分別研究各個組分的氧化反應動力學,需要準確測定氧化反應前后各組分的濃度變化,最終得到的動力學方程則較為復雜,利用這種動力學方程進行運算時則較為困難。而對于污染物的催化氧化治理,其關鍵的著眼點在于治理前后廢氣(水)中總耗氧量的大小,因此,能否用反應前后總耗氧量的變化代替各組分的濃度變化,這是本文提出的創新思維,即以有機物耗氧速率作為動力學方程的變量,建立一種具有普適性的催化氧化反應動力學方程,在使用動力學方程時不需要精確測定原廢氣(水)中各組分的濃度,而僅需要測定原廢氣(水)中有機雜質總的耗氧速率,達到簡化方程及簡化計算的目的。
本文在自制的鈰銅復合氧化物催化劑上,通過將有機廢水汽化成有機廢氣后,進入固定床反應器中進行催化氧化反應,將廢水中的有機物凈化處理,考察了不同工藝條件下廢水的凈化效果以得到乙酸乙酯廢水催化氧化最佳工藝條件。并在消除催化劑外擴散影響前提下,建立了以耗氧速率為變量的乙酸乙酯和乙醇混合體系催化氧化宏觀反應動力學模型并擬合出模型參數。
二、實驗部分
2.1 主要試劑
乙酸乙酯,分析純,阿拉丁化學試劑有限公司;乙醇,分析純,阿拉丁化學試劑有限公司;氧氣,純度99.9%,南京特種氣體有限公司;氮氣,純度99.9%,南京特種氣體有限公司;復合金屬氧化物化劑(活性成分為鈰銅復合氧化物),課題組自制。
2.2 實驗裝置和流程
本實驗主要使用固定床反應綜合實驗裝置,該裝置由質量流量控制器、電加熱爐、制冷系統、氣液分離器構成,用于乙酸乙酯廢水催化氧化反應工藝及動力學實驗數據的測定,裝置流程如圖1所示。

反應在常壓下進行,N2和O2經過質量流量計與高壓恒流泵泵出的乙酸乙酯廢水通過三通混合進入固定床反應器,廢水中的有機物與氧氣充分混合,經過預熱器將廢水氣化后,在催化劑作用下進行反應,固定床催化氧化反應器出口處的氣體經過冷凝系統冷卻對液體收集處理,不凝氣體排空,并在氣體和液體取樣口處收集樣品進行分析。
2.3 分析方法
揮發性有機物(VOCs)采用SP-6890型氣相色譜(山東魯能瑞虹化工儀器有限公司)分析,選用氫火焰離子檢測器;色譜柱為石英毛細管,規格0.25mm×30m×0.33μm,固定相為XE-60。色譜條件:柱溫60℃,檢測室溫度130℃,汽化室溫度130℃,載氣壓力0.1MPa,空氣壓力0.09MPa,H2壓力0.105MPa,色譜數據處理系統為浙江大學開發的N2000色譜工作站。

圖2a為乙酸乙酯廢水催化氧化后尾氣的色譜分析圖,圖中出現4個峰,采用疊加峰法定性分析固定床反應器出口尾氣中的成分。具體操作為在洗氣瓶中裝有甲醇、乙醇和乙酸乙酯3種液態純物質,然后分別將反應尾氣通入洗氣瓶,并夾帶瓶中液相純物質上方的飽和蒸汽進入氣相色譜分析,依次可得到3個氣相色譜分析圖,如圖2c、d和e所示,甲烷氣體與尾氣混合后進入氣相色譜的分析結果如圖2b所示。由圖2可以看出,通過疊加峰法,尾氣夾帶純物質進入色譜后,有一個峰信號明顯增強,可判定該峰所對應的成分即為該物質,同時發現尾氣出峰數量仍為4個,因此,可以判定尾氣中的有機物成分依次為甲烷、甲醇、乙醇和乙酸乙酯。
實驗采用外標法進行分析,選取尾氣中的4種成分甲烷、甲醇、乙醇和乙酸乙酯作為外標物質。得到不同氣相進樣濃度與所得峰面積之間的關系,線性擬合出標準曲線,按此標準可以換算得到測量氣體的濃度。
冷凝液化學需氧量(COD)分析采用6B-200型COD速測儀(江蘇盛奧華環保科技有限公司),采用重鉻酸鉀氧化消解光度法作為分析手段。具體的方法為在樣品中添加已知量的重鉻酸鉀溶液,然后加入一定量的濃硫酸溶液,經165℃溫度下消解后,重鉻酸鉀被還原為Cr3+,在特定波長下可得出Cr3+所含含量,以此求出樣品的COD值。
其中,乙酸乙酯廢水的COD值為CODEA(mgO2×m-3),反應后冷凝液的COD值為CODout(mgO2×m-3),乙酸乙酯廢水氣化后的氣相中有機物的耗氧量為CEA(mgO2×m-3),反應后的冷凝液對應的氣相中有機物的耗氧量為COUT(mgO2×m-3),反應后尾氣中有機物的耗氧量為CVOC(mgO2×m-3),乙酸乙酯廢水的進料體積流率為VEA(m3×h-1),進入反應器總的氣相體積流率為V總(m3×h-1),CEA用(1),COUT用(2)進行計算,乙酸乙酯廢水中有機雜質轉化率X計算式為式(3)。

三、結果與討論
3.1 乙酸乙酯廢水催化氧化反應工藝考察
影響乙酸乙酯催化氧化反應工藝的因素主要有氣體空速、反應溫度和氧氣濃度,本文考察了上述3個因素對乙酸乙酯廢水催化氧化效果的影響,結果如圖3及4所示。選取原料為w=1%乙酸乙酯和w=0.5%乙醇的混合溶液為處理對象,混合液汽化后與空氣混合,混合氣中氧氣濃度為j=6%,在常壓條件下進行反應,考察了不同反應溫度下,催化劑空速(GHSV)和溫度對乙酸乙酯廢水催化氧化效果的影響,總氣體體積空速在5000~17000h-1,結果如圖3所示,其中圖3的縱坐標為乙酸乙酯廢水中有機雜質的轉化率。

從圖3中可以看出,隨著體積空速的增加,相同溫度下的乙酸乙酯廢水中有機雜質轉化率不斷地降低,乙酸乙酯廢水凈化效果越來越差,這是由于隨著空速增加,廢水汽化后的廢氣中污染物在催化劑床層中的停留時間變短,導致廢水凈化效果變差。而在較低空速下,由于污染物在催化劑床層中停留時間較長,廢水凈化效果較好,但較低空速會導致催化劑用量增加,以及單位時間內廢水處理量降低,最終會使企業設備成本上升。
為了考察氧氣濃度對乙酸乙酯廢水凈化效果的影響,選取原料為w=1%乙酸乙酯和w=0.5%乙醇的混合溶液,汽化后在空速為8802h-1,常壓下,不同溫度下進行反應,結果如圖4所示,其中縱坐標為乙酸乙酯廢水中有機雜質的轉化率。從圖4中可以看出,隨著溫度從350提高到450℃,在氧氣濃度由j=2%提高到j=6%時,乙酸乙酯廢水中有機雜質的轉化率增加顯著;而當氧氣濃度大于j=6%時,氧氣濃度對乙酸乙酯廢水中有機雜質的轉化率影響已不明顯。從圖4中可以看出,在體積空速為8802h-1時,隨著溫度提高,乙酸乙酯廢水凈化效果越來越好,但過高反應溫度對催化劑長周期穩定運行是不利的。因此在實際操作中以出口氣體中VOCs濃度達到國家排放標準的最高空速和最合適溫度作為最優選擇。當反應溫度為450℃,氧氣濃度為j=6%時,固定床反應器出口冷凝液中COD為48mgO2×L-1,已達到雨排水標準(《地表水環境質量標準GB3838-2002》),出口氣相各組分VOCs也符合(《大氣污染物綜合排放標準GB16297-1996》),因此選擇體積空速為8802h-1,溫度450℃,氧氣濃度為j=6%作為最優的工藝參數。

3.2 乙酸乙酯廢水催化氧化反應動力學研究
3.2.1 外擴散影響的消除
由于本實驗研究包括內擴散影響在內的宏觀反應動力學,因此只需消除催化劑外擴散影響即可。對于非均相反應,可以通過設定適當的質量空時條件來消除外擴散的影響。分別選取催化劑1.0g和0.8g,在反應溫度為410℃,進料中乙酸乙酯和乙醇含量為w=1.5%(其中w=1%乙酸乙酯和w=0.5%乙醇)的條件下進行反應。

圖5為催化劑質量空時(即催化劑質量W與乙酸乙酯廢水進料耗氧速率F之比)對乙酸乙酯廢水中有機雜質的轉化率的影響之間的關系,其中,W單位是g,F的單位是gO2×h-1,由圖可見W/F在小于9.1g/gO2×h-1時,0.8g催化劑與1g催化劑的轉化率隨質量空時的變化曲線幾乎重合,這表明當W/F在小于9.1g/gO2×h-1(即體積空速大于4220h-1)時,外擴散的影響已消除。
3.2.2 反應動力學模型建立
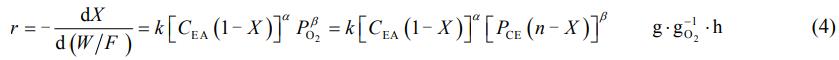
乙酸乙酯廢水催化氧化反應過程中,由于水蒸汽大大過量,故水蒸汽分壓的變化對反應的影響可以忽略不計。本文建立了以耗氧量為變量的宏觀反應動力學模型,如式(4)所示。式(4)中,F為乙酸乙酯廢水氣化后對應的氣相有機物的耗氧速率,gO2×h-1;W為催化劑質量,g;CEA為廢水氣化后的對應于氣相中有機物的耗氧量,mgO2×m-3;PCE是有機物耗氧量對應的氧氣分壓,MPa;X為乙酸乙酯廢水中有機雜質耗氧量的轉化率;n為有機物總理論需氧量對應的氧氣過量倍數。

3.2.3 動力學模型參數求解
在反應溫度為290~410℃,氧氣濃度為j=4%下,測定了乙酸乙酯廢水催化氧化宏觀反應動力學數據,根據上述的宏觀動力學模型,采用龍格-庫塔法解微分方程,并以最小二乘法為優化方法進行估值,通過實驗數據擬合得到反應動力學模型參數,其中,根據阿倫尼烏斯方程k=k0exp(-Ea/RT)求出該反應的活化能。表1為擬合后得到的動力學模型參數的擬合結果。圖6為乙酸乙酯廢水催化氧化的動力學模型的擬合效果圖。


3.2.4 動力學模型適定性檢驗
將動力學模型擬合計算的結果與實驗的測量值進行比較,從圖7中可以看出,動力學模型計算的結果與實驗測量值能較好地吻合,由圖8可以看出模型的計算值與實際測量值的偏差在±4%以內,從統計學的角度說明此模型能準確地描述乙酸乙酯廢水中有機雜質的催化氧化動力學行為。


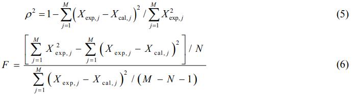
為了進一步說明該模型的準確性,利用復相關系數,F統計檢驗估值模型的顯著性和可信度,復相關系數的計算式如公式(5),F統計量計算式如式(6),其中,N為參數量,M為實驗數據量,計算結果見表2。由表2可以看出復相關系數R2=0.994>0.9,F統計量F(23,4)=16528.1>10F0.01(23,4),F統計量遠遠大于10F0.01(置信域=99.0%),因此該模型是顯著可信的。


四、結論
(1)考察了不同溫度,不同空速和不同氧氣濃度對乙酸乙酯廢水凈化效果的影響及規律,結果表明,最佳的工藝條件為:反應溫度450℃,氧氣含量j=6%,總體積空速8802h-1。
(2)在自制的鈰銅復合氧化物催化劑上,在消除催化劑外擴散的條件下,研究了乙酸乙酯廢水催化氧化宏觀反應動力學,建立以耗氧速率為變量的宏觀反應動力學模型,擬合得出該催化劑上乙酸乙酯廢水催化氧化反應的活化能為50.17kJ×mol-1。(來源:南京工業大學 化工學院;南京工業大學 材料化學工程國家重點實驗室)


