對于超高濃度的有機工業廢水,廢水中B/C的比值達不到直接生物處理的要求,必須采取一定的預處理方法,將超高濃度的有機廢水中高分子的有機物轉變成宜于生化處理的物質,然后配合生化方法聯合處理超高濃度的有機廢水。此聯合處理中預處理方法的確定很關鍵,關于它的研究工作已經取得了一些成果。
微電解法是一種去除效果與經濟兼顧的預處理方法,它是將鐵屑與炭共存的形式來處理廢水,通過鐵屑與炭發生電化學氧化還原反應形成原電池,鐵作為陽極被腐蝕,炭作為陰極,產生很高活性的Fe2+,與廢水中的許多有機物發生氧化還原作用,在達到去除有機物目的的同時,能大幅度的提高廢水中B/C的比例,因此結合工程實際水質情況,對利用微電解法與生物法聯合工藝來展開探討對超高濃度工業有機廢水的應用效果研究,為此類廢水的解決提供技術支持。
一、工程應用
1.1 工程概況
無錫某物資有限公司是一家專業從事熱固性粉末涂料用的聚酯樹脂和助劑生產、研究開發、銷售的私營企業。生產過程中會產生的一定的廢水,廢水量約為4.5m3/d,由于特殊的生產工藝設計,全部廢水被用于冷卻系統,而且需要補充一定量的自來水來滿足生產用水,因此一直以來,環保局因其無排放廢水,未實施相應的強制處理措施。
隨著人們環保意識的加強,18年該廠就一直受到附近居民的投訴,因其廢水揮發的氣味難聞,環境監察部門對該廠遂提出整改意見。
廢水的有機物含量很高,可生化性較差,較難處理。該廢水中COD的濃度最高接近17萬mg/L,其它水質指標見表1所示。廢水的氣味呈現惡臭的狀況,天氣狀況不佳時,嚴重影響了當地周邊的生產和生活。根據企業、附近居民代表、監察部門三方協調結果,將廢水進行處理,處理后廢水水質需達到:pH為6-9,SS≤100,COD≤200,并保證廢水無異味產生。

針對該企業的水質特點和處理目標,最終采用了微電解預處理/UASB/MBR處理工藝,該工程總投資56.8萬元,于2019年1月建成,經過6個月的調試,出水達到了預先的設計水質目標。
1.2 工藝流程
工藝流程圖見圖1。工藝產生的廢水經過預處理、生化作用、活性炭吸附作用后,出水進入冷卻塔冷卻系統。原先生產工藝中需要補充的那部分自來水,在預處理之后的集水槽中添加。處理后的水無需排放用于生產中。

1.3 設計
1.3.1 預處理設備
高壓脈沖+微電解+中和沉淀池是主體生化工藝的預處理過程。微電解罐的直徑為27cm,高度為270cm,共6個。中和沉淀池位于微電解池后部,用氫氧化鈣調節溶液至8.0,配合微電解反應以提高預處理效果。中和沉淀池的尺寸為7.0×1.0×1.2m,材質為PVC。
1.3.2 集水槽
避免過高濃度的COD直接進入厭氧反應池中,它的作用是調節COD的作用,高5m,體積為40m3,材質為PE。
1.3.3 UASB反應器
UASB(Up-flowAnaerobicSludgeBed),中文名為升流式厭氧污泥床,具有高的液體表面上升流速和容積有機負荷率,是一種高效厭氧反應器。UASB反應器的高為8m,體積60m3,為防腐鋼制材質。
1.3.4 MBR槽
MBR(MembraneBioreactor),指膜生物好氧反應器,它是膜分離技術與活性污泥法有機高效結合的水處理技術。用膜分離技術取代活性污泥法中的二沉池,進行固液分離,實現出水良好的水質目的。MBR體積為7.5m3,為PVC材質。
1.3.5 活性炭過濾器
活性炭過濾器用來去除對水中異味、膠體及色素、有機物等污染性物質,去除作用較明顯。活性炭的直徑為50cm,高度為290cm,共5個,活性炭堆積密度為50%,整個過濾器為防腐鋼制材質。
1.3.6 污泥處理系統
中和沉淀池、MBR槽產生的污泥進入污泥濃縮槽。由于本工程所產生的污泥量很少,為了經濟方便,故選用污泥濃縮脫水一體機,產生的泥餅外運委托相關資質單位處理。
二、運行效果與討論
2.1 對COD的處理效果
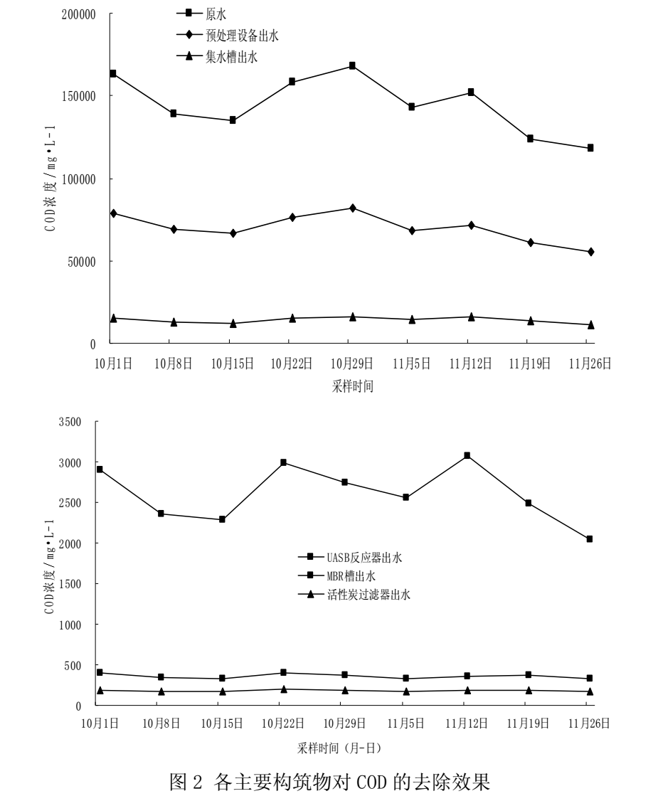
微電解罐-中和沉淀池、集水槽、UASB反應器、MBR槽、活性炭過濾器對COD的處理效果如圖2。

從圖2中可以看出,原水COD濃度為118000-167900mg/L,微電解預處理/UASB/MBR工藝運行趨于穩定,出水COD濃度均小于200mg/L,達到設計時COD的要求。
2020年1月,公司委托具有監測資質的某監測公司,隨機抽查了該公司污水處理設施的運行效果,進水pH為3.52,SS為180mg/L,出水pH為7.2,SS為15mg/L,COD的監測結果見表2。

2.2 工程投資和運行費用
工程總投資56.8萬元,主要包括設計費2.1萬元,土建及設備費46.72萬,動力、自控設備費1.58萬元,橋架、配線費0.85萬元,管道、閥及主材1.26萬元,工程安裝費及輔助材料2.84萬元,管理和其他雜費2.78萬元。
工程運行費:該廢水處理設施運行電費0.72元/t水,該工藝運行無需專職人員看護,該公司可以委派一名工人監督運行情況,廢水處理費用即為0.72元/t水。
三、結語
(1)采用微電解法與生物法(UASB+MBR)聯合處理超高濃度的工業有機廢水,結果表明,該聯合工藝運行安全、穩定、高效、可靠。對COD的去除效果顯著,原水COD的濃度為159000mg/L,經過處理后,COD為182mg/L,達到了設計初期的要求。同時,在充分保障去除率的前提下,該工藝的聯合處理成本僅為0.92元/t廢水。
(2)UASB+MBR作為該工程實例中主體的工藝,對有機物的去除效果也是明顯的,UASB反應器對COD的去除率達到了83%,MBR槽對COD的去除率達到86%。它的成功運行是一套現代高效的厭氧和好氧生化工藝的經典結合,為該技術的進一步應用推廣更具有現實意義。(來源:無錫市政設計研究院有限公司)


