隨著經濟的迅猛發展,促使城市人口數量日益增加,其中城市道路、建筑等各種不透水的面積也持續增加,城市中不透水面積的增加,會導致降雨后地表的截流、入滲等,對城市的水文環境造成十分嚴重的影響,同時大部分的雨水還會以徑流的形式流入到地下河中,使城市中的自然水體受到嚴重的污染。其中城市雨水排放系統中包含多種不同的污染源,它們的來源范圍十分廣,同時包含多種不同的類型。
詳細分析城市降雨過程匯總地表徑流變化趨勢,確定降雨期城市徑流中產流污染特征并充分合理開發以及利用城市水資源,對城市的發展,改善城市生態環境,實現城市經濟的可持續發展具有十分重要的意義。針對傳統的水質徑流污染控制模型存在的缺陷,提出并組建雨水排放系統水質徑流污染控制模型,通過具體的仿真實驗數據,充分驗證了所提模型的綜合有效性。
一、 方法
1.1 雨水排放系統水質徑流污染的模擬以及預測
在城市降雨的過程中,需要實時進行雨水采集,同時計算雨水的徑流速度,并且將其進行保存。
將城市中各個采樣點的不同降雨地表特征進行詳細統計以及分析。在雨水排水系統中,由于各個采樣點降雨強度不同以及地表污染源不同,導致徑流水質的污染濃度會隨著時間的變化而變化,其中污染指標的相對穩定值具有十分重要的價值。
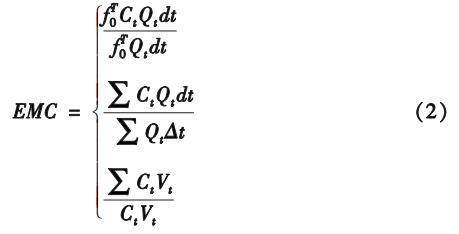
在降雨的過程中,會引發徑流,在徑流中會形成大量的污染物,以下具體給出雨水徑流排放量和污染物總量之間的關系,如公式(1)所示:

上式中,M代表降雨徑流所產生的某種污染物的總數,v代表降雨所引發的徑流總體積,Ct代表t時間段內的污染物總濃度,Qt代表t時間段內的徑流水量,T代表降雨總時長。
通過相關的積分定義,對公式(1)進行求解。由于所監測到的相關數據是間斷的,所以將理論方程進行近似轉換,同時將徑流過程按照時間劃分為n個不同的小段,在各個段內分別選取一個徑流水樣,則能夠獲取以下的方程(2):

上式中,Δt代表采樣時間間隔,Vt代表設定時間段內的徑流雨水量。
在徑流形成的初始階段,由于徑流中污染物濃度和雨水初期徑流量兩者之間不成比例,所以將上述整個過程稱為初期沖刷效應。由于不同的采樣點具有不同的初期沖刷效應,所以需要選取不同的控制方式對其進行合理有效的控制。
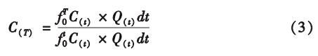
其中徑流前期百分之五左右的徑流總量所形成的污染物所占含量為初期沖刷,在上述基礎上組建累積曲線,通過累積曲線判斷其是否發生初期沖刷效應,以下給出具體的計算式(3):

上式中,C(T)代表t時間段內的污染負荷總量,T代表全部徑流的總時長,C(t)代表在t時間段內雨水污染物濃度,Q(t)代表t時間段內徑流雨水流量。
在坐標系上詳細繪制累積負荷量和累積徑流量的變化趨勢,同時獲取兩者之間的關系曲線。如果初期累積曲線的斜率高于基準線時,則說明該時間段內發生了沖刷效應,反之能夠通過相應的曲線計算污染物濃度。
在上述基礎上,選用雨水管理模型對所研究區域內的徑流產流以及徑流污染進行動態模擬,具體如公式(4)所示:

1.2 雨水排放系統水質徑流污染控制模型的組建
水質現狀評價的主要目的是為了詳細了解各個區域內的水質情況以及污染濃度。在進行水質模擬和水環境容量分析的過程中,針對不同污染物的特點,組建雨水排放系統水質徑流污染控制模型,具體需要考慮以下幾方面:
(1)適應性,(2)易用性,(3)經濟性。
模型的組建為區域污染總量控制提供一定的理論依據,提高其科學管理性。
以下給出詳細的流程圖見圖1。

其中模型的組建需要幾個具有特性的輸入數據,具體見表1。

將表1中的數據和化學動力學方程相結合,獲取唯一一組水質方程。
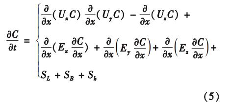
以下給出具體的質量守恒方程(5):

上式中,C代表雨水排放系統水質組分的濃度,Ux、Uy、Uz代表不同方向上的對流速度,Ex、Ey、Ez代表不同方向的擴散系數,SL代表點源以及面源,SB代表邊界負荷,Sk代表動力轉換項。
以下給出溶解氧的動力學方程(6):

上式中,k2代表復氧系數。
以下具體給出氨氮的動力學方程(7):

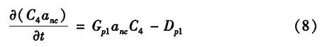
浮游植物的氮動力學方程如公式(8)所示:

有機氧的動力學方程為(9):

見表2給出部分有毒物質的概況

在上述分析的基礎上,需要對不同的雨水排放系統水質徑流進行詳細分析,同時通過GIS以及水質模型組建雨水排放系統水質徑流污染控制模型(10):

通過雨水排放系統水質徑流污染控制模型去區域環境容量進行計算,同時引入相關的參數進行分配,給出相應的水質徑流污染控制措施,具體如下所示(11):

綜上,實現雨水排放系統水質徑流污染控制。
二、 仿真實驗
為了驗證雨水排放系統水質徑流污染控制模型的綜合有效性,需要進行仿真實驗,實驗環境為:2GB內存,2.93GHZ雙核CPU,WIN7旗艦版操作系統,Ja-val.6開發語言,Eclipse3.6、MySQL5.5。
2.1 不同控制模型的響應時間對比結果
以下選用文獻[4]模型以及文獻[5]模型作為對比模型,分別對比各個模型在不同實驗次數下的響應時間,具體對比結果見表3。

分析表3可知,不同模型的響應時間隨著實驗次數的變化而變化,其中所提控制模型的響應時間明顯低于其它兩種控制模型,充分驗證了所提模型的優越性。
2.2 控制成本
以下詳細給出3種不同控制模型的控制成本,具體見圖2。

分析圖2可知,所設計控制模型的控制成本為最低,文獻[4]模型的控制成本為次之,文獻[5]模型的控制成本最高。對比相關實驗數據,充分驗證了所設計模型的綜合有效性。
2.3 運行效率(%)
其中運行效率是衡量雨水排放系統水質徑流污染控制模型效果好壞的重要指標,以下分別給出3種控制模型的運行效率,見表4。

分析表4可知,不同控制模型的運行效率隨著樣本數量的變化而變化。相比其它兩種控制模型,所設計控制模型的運行效率有較為明顯的優勢。
分析上述實驗結果,能夠獲取以下的實驗結論:
(1)相比傳統控制模型,所設計控制模型的響應時間有了明顯下降。
(2)所設計控制模型的控制成本相比傳統控制模型有了較為明顯的下降。
(3)所設計控制模型的運行效率相比傳統的控制模型有了明顯的提升。
三、 結語
針對傳統的水質徑流污染控制模型存在的響應時間較長、控制成本較高、運行效率較低等問題,設計并提出雨水排放系統水質徑流污染控制模型。仿真實驗結果表明,相比傳統的控制模型,所設計模型能夠有效提高運行效率,降低響應時間,減少控制成本,獲取較為理想的控制效果。
未來階段將重點針對以下幾個方面展開研究:
(1)未來階段將進一步組建區域水質模型,假設具備足夠的水動力學數據,需要選取相關數據進行模擬分析,能夠獲取更加真實的模擬效果。
(2)現階段的研究范圍十分有限,未來階段將會進一步擴大研究范圍,促使計算結果更加真實準確。(來源:武漢市政工程設計研究院有限責任公司)


