農村環境依山傍水,人們習慣于就近直接排放未經過處理的污水進入土壤或河流。而農村污水未經過處理就直接排放,這不僅是對土壤和水源的嚴重污染,更是導致直接使用天然飲用水的農村居民各種慢性疾病的產生,并增加了傳染性疾病的傳播速度及爆發概率。考慮到農村污水的現狀,本實驗將跌水接觸氧化-人工濕地相結合的方式處理農村污水。
1 跌水復氧實驗裝置的復氧效果優化
1.1 實驗裝置
跌水復氧實驗裝置包括蓄水池、跌水接觸氧化裝置、沉淀池。在跌水接觸氧化裝置部分分別設計三種不同跌水方式 Run A、Run B、Run C。Run A的跌水板左右交錯放置,Run B 跌水板由兩邊跌落板與中間跌落板交錯,Run C 呈傳統階梯式排列,跌水裝置如圖 1 所示。跌水板外檐呈鋸齒狀,在一定進水流量范圍內,水流呈水幕式跌落。
![[TVJF{5T155}QK6SPU4]$II.png [TVJF{5T155}QK6SPU4]$II.png](/ueditor/asp/upload/image/20200925/16010280559355345.png)
圖 1 跌水復氧裝置簡圖
1.2 跌水復氧效果比較
本實驗選擇通過對水中溶解氧含量的測定來衡量跌水裝置的跌水效果。
實驗開始前,在水中投入一定量的亞硫酸鈉,并以氯化鈷作為催化劑,目的是消去水中的溶解氧。根據實驗裝置分別選擇跌水流量為 2、4、8、12、 16 mL/s,在改變進水跌水流量的同時,不斷改變相應裝置的跌水高度。根據跌水裝置實際情況,對跌水高度分別為 20、40、60、80、100、120 cm 時的溶解氧進行測量并分析相應的充氧效果。

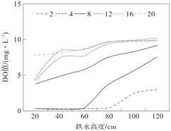
圖 2 Run A 不同跌水流量的充氧效果
由圖可知,在整個過程中,三種跌水方式的溶解氧都隨著跌水流量的增加而增大。相比較 Run A、 Run B 裝置的中空設計,作為傳統跌坎式跌落方式的 Run C 裝置跌水復氧效果較差。
對于 Run A 與 Run B,二者構造形式相似,但 Run B 的跌落方式是每隔一層跌落,兩側的入水流匯集至與 Run A 跌水板等大的跌落板上。從圖 3、圖 4 中可以看出,當跌水流量足夠大時,兩種跌水方式均能得到較好的跌水效果。但跌水流量較小時 Run B 的跌水效果并不理想,考慮到農村污水的排放有晝夜變化大的特點,Run B 不適宜應用。相反,對于 Run A,這種適應能力較好、且溶解氧在一定范圍內表現的較為平穩、可接受跌水流量范圍較廣的,更適宜應用到農村污水的實際工程中去。

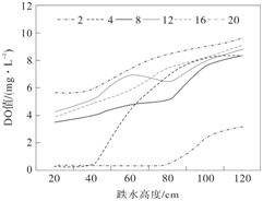
圖 3 Run B 不同跌水流量的充氧效果

圖 4 Run C 不同跌水流量的充氧效果
2.1 實驗裝置
該組合裝置的創新之處在于將生物處理與生態處理相組合的設計理念,并且采取一種新型跌水接觸氧化的方式對水體進行充氧,為后續生化反應提供氧氣。污水經過接觸氧池與人工濕地的一系列降解,實現了對 COD、氨氮的去除。
本實驗選擇Run A 與人工濕地裝置組合處理模擬農村污水。Run A 為有機玻璃制做,具體尺寸為L×B×H=1500mm×400mm×400mm,裝置總容積 240L。
人工濕地裝置單元選擇二個濕地池串聯。兩個濕地處理池選用相同結構與布置, 平面尺寸為L×B×H=2m×0.5m×0.75m,池底坡度為 0.5%。組合裝置示意簡圖如圖 5 所示。
![]7SE]67`U%TXKX2R`0HDKHU.png ]7SE]67`U%TXKX2R`0HDKHU.png](/ueditor/asp/upload/image/20200925/16010283921645139.png)
2.2 實驗用水
裝置運行期間均采用實驗室配置的模擬農村生活污水。試驗采用葡萄糖作為原水中的有機物,通過控制葡萄糖的用量保證進水 COD 維持在固定的范圍內。模擬村鎮生活污水配制方法為:葡萄糖(0.12~0.14 mg·L-1),蛋白胨(0.14~0.16 mg·L-1), NH4Cl(0.06~0.09 mg·L-1),NaCl(0.09~0.1 mg·L-1), NaHCO3(0.13~0.16 mg·L-1),KH2PO4(0.01~0.012mg·L-1)。此外,原水中會加入少量微量元素(Zn、Ca、Mg)溶液(1 mL·L-1)。
2.3 不同水力停留時間下對有機物的降解
對于跌水接觸氧化-人工濕地組合裝置來說,水力停留時間并不是越長越好,而是存在一個處理效果較好的范圍[2]。通過改變進水流量,分析在不同水力停留時間,跌水接觸氧化-人工濕地組合裝置對于有機物及氨氮的去除效果。控制模擬污水進水階段溶解氧為 0.19~0.22 mg·L-1,通過調節進水流量來控制組合裝置的水力停留時間。即在進水流量為 400 L/d 的基礎上,分別減少至 Q=300 L/d、Q=200L/d、Q=100 L/d 和 Q=80 L/d,相應的水力停留時間由 3 h 的基礎上,分別增加至 4 h、6 h、10 h、14 h。裝置穩定運行的條件下,根據不同的水力停留時間,每種工況穩定運行 10 d,每天定時取樣并測定進、出水的 COD、氨氮,考察裝置對上述污染物的去除效果。具體運行參數如表 1 所示。

試驗結果表明,水力停留時間為 6 h、10 h 和14 h 時,組合裝置對有機物的去除效果均較好,平均去除率在 80%左右,且出水 COD 值低于 60 mg·L-1,出水達到一級 B 標準依據《城鎮污水處理廠污染物排放標準》(GB18918-2002)。具體聯系污水寶或參見http://m.dongaorq.cn更多相關技術文檔。
2.4 COD 處理效果分析
![`BOSN3WYN2IM`Q9D7BTS0]V.png `BOSN3WYN2IM`Q9D7BTS0]V.png](/ueditor/asp/upload/image/20200925/16010285294966444.png)
圖 6 不同水力停留時間條件下對COD 的去除率
其中,當水力停留時間為 10 h 時,組合裝置對COD 的處理效果較好,但當水力停留時間由 10 h繼續增至 14 h 時,COD 的去除率只有小幅增加。從經濟效益考慮在 10 h 左右,具有較好的經濟和處理效果的綜合價值。
2.5 氨氮處理效果分析
根據圖 7 可以看出,當水力停留時間由 3 h 增至 10 h 時,氨氮的平均去除率明顯增加,氨氮的平均去除率由 60.3%提高至 84.42%,增幅較大。當繼續延長水力停留時間至 14 h 時,組合裝置對氨氮的去除率變化不大,氨氮去除率僅為 86.4%,從經濟效益考慮在 10 h 左右,具有較好的經濟和處理效果的綜合價值。

圖 7 不同水力停留時間條件下對氨氮的去除率
3 結 論
(1)跌水板左右交錯放置的 Run A 跌水裝置更適合治理農村污水晝夜排放變化大的特點。
(2)跌水接觸氧化與人工濕地相結合的工藝是將生物處理與生態處理相組合的設計理念,對治理農村污水有很好的促進作用。
(3)Run A 與人工濕地相結合處理模擬農村污水時,在 10 h 時,COD 和氨氮的去除率都達到很好的效果,出水達到一級 B 標準。(來源:沈陽建筑大學 市政與環境工程學院)


